مطالبات مالية تطال آلاف الأردنيين (أسماء)
أخبار الأردن -
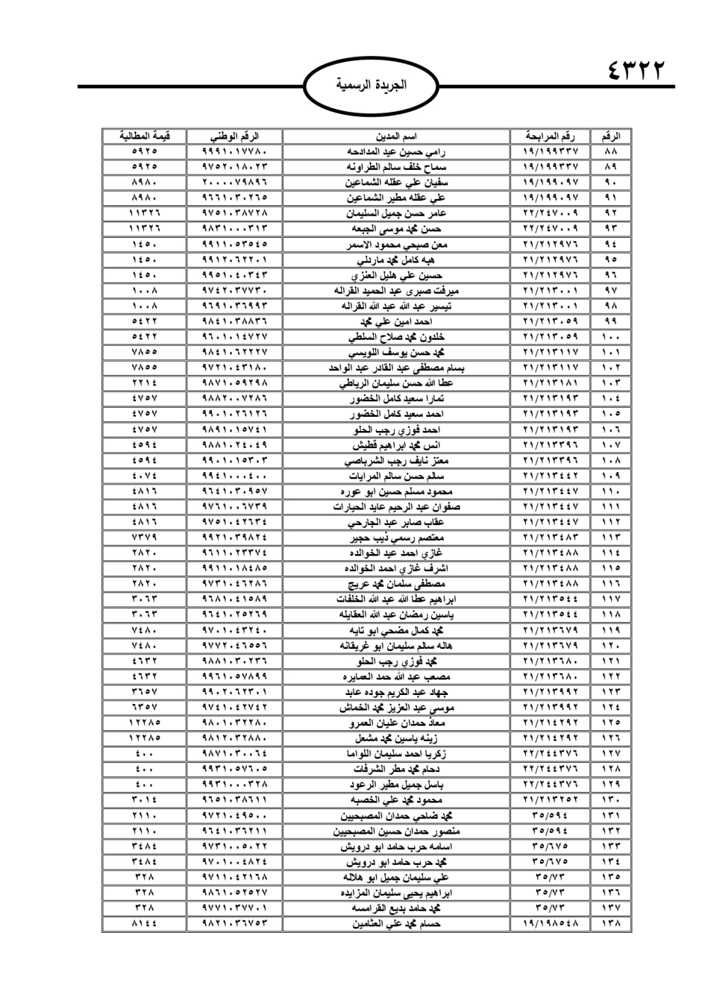
نشرت الجريدة الرسمية، استنادًا إلى أحكام قانون تحصيل الأموال العامة، إعلانات تتضمن مطالبات مالية بحق آلاف الأردنيين، صادرة عن جهات حكومية متعددة.
وبحسب ما ورد في النشر، فإن المطالبات صدرت عن أمين عام وزارة المالية، إضافة إلى وزارة الصحة، ودائرة الجمارك، وهيئة الأوراق المالية، وكذلك المؤسسة العامة للضمان الاجتماعي، وذلك بهدف تحصيل المستحقات المالية المترتبة على الأفراد وفقًا للقوانين النافذة.
وتضمنت الجريدة الرسمية أسماء الأشخاص المطلوب منهم السداد، تمهيدًا لاتخاذ الإجراءات القانونية بحق المتخلفين عن الدفع.
يُذكر أن قانون تحصيل الأموال العامة يتيح للجهات الحكومية ممارسة صلاحيات تحصيل الديون بطرق قانونية وإدارية مباشرة، بما في ذلك الحجز على الأموال المنقولة وغير المنقولة، لضمان استيفاء المستحقات.







