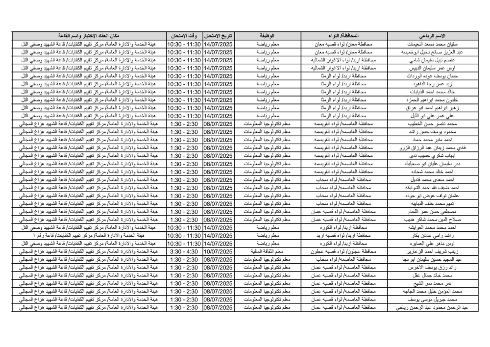
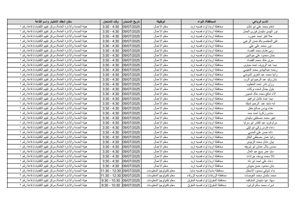
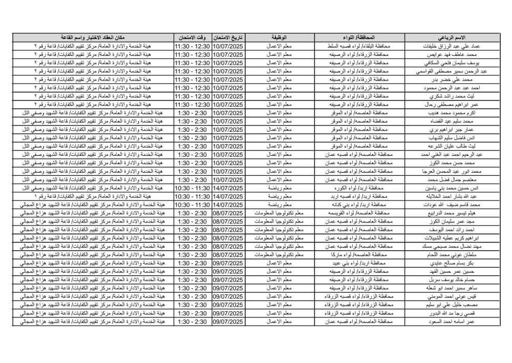
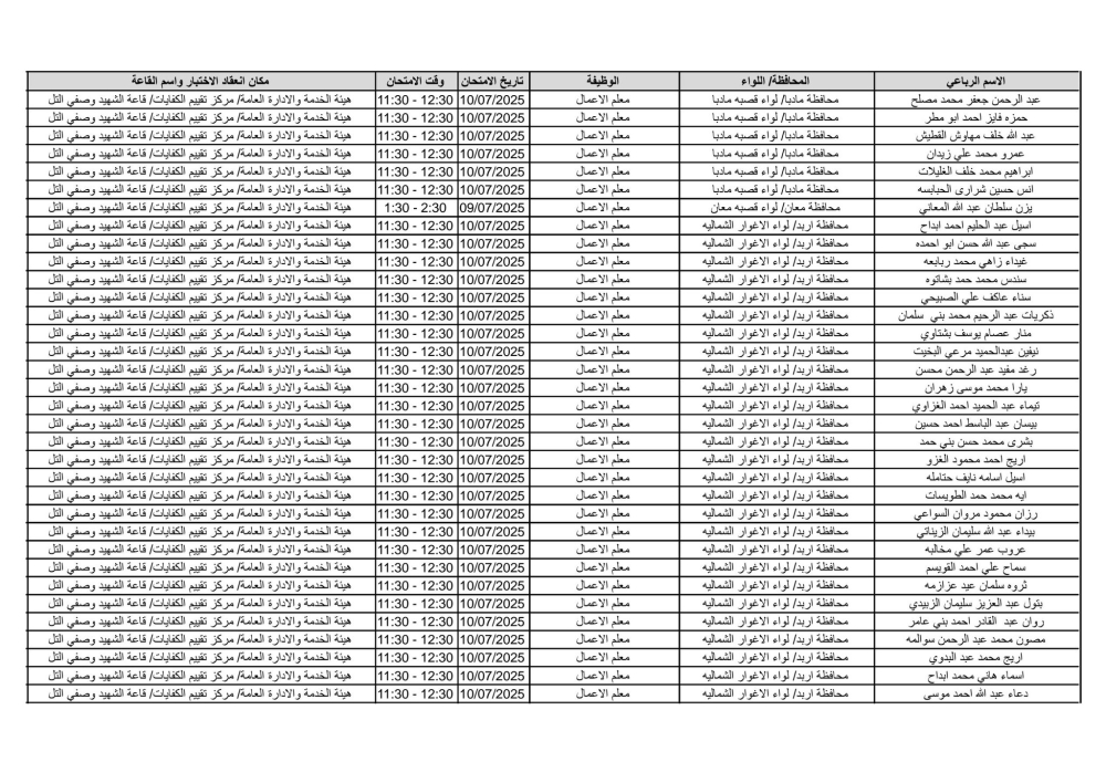
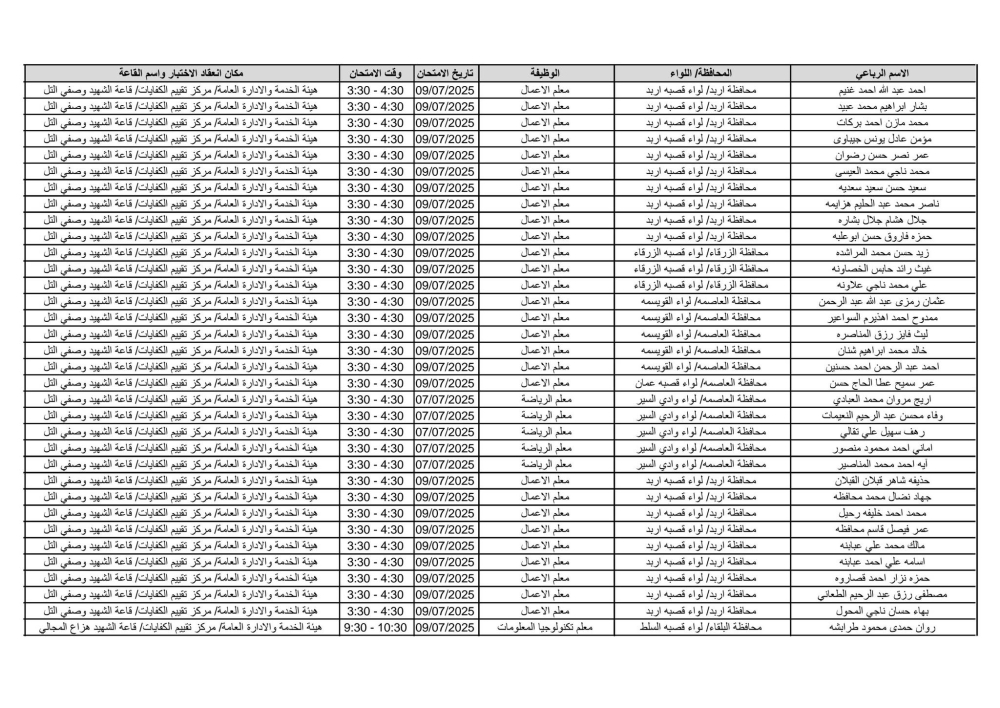
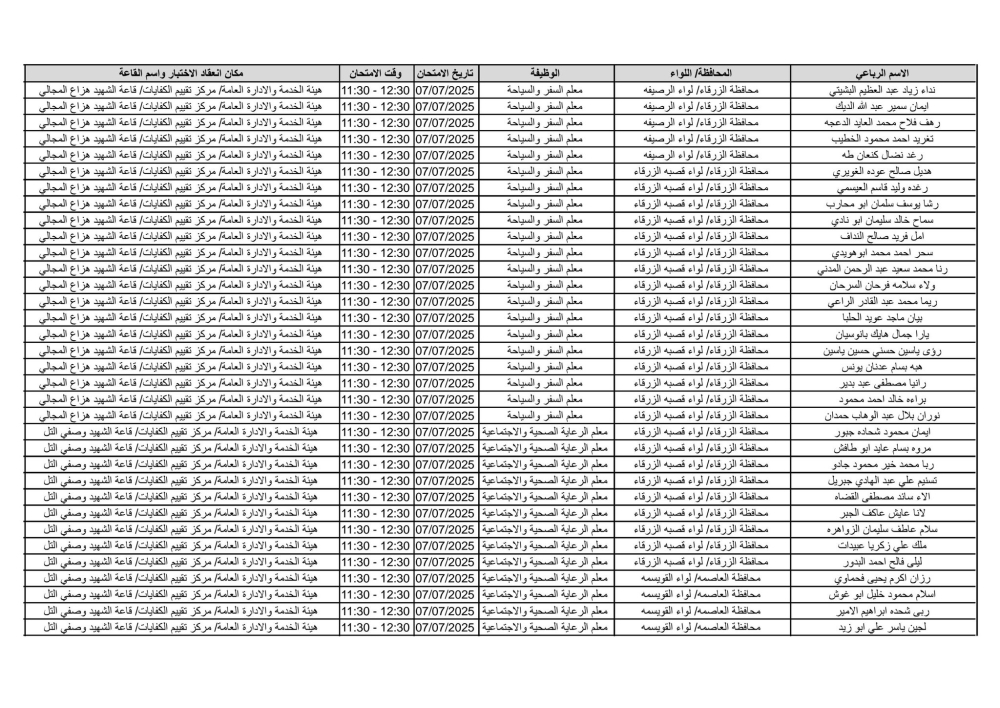
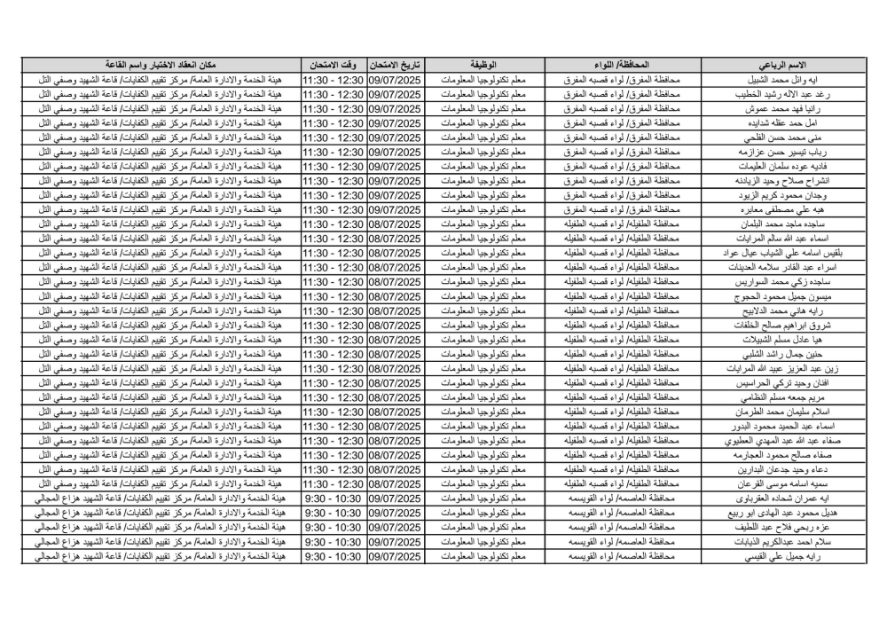
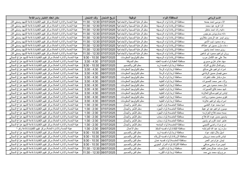
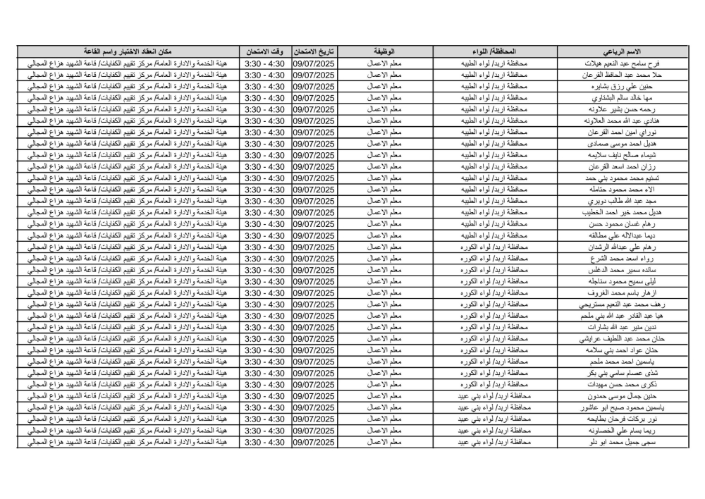
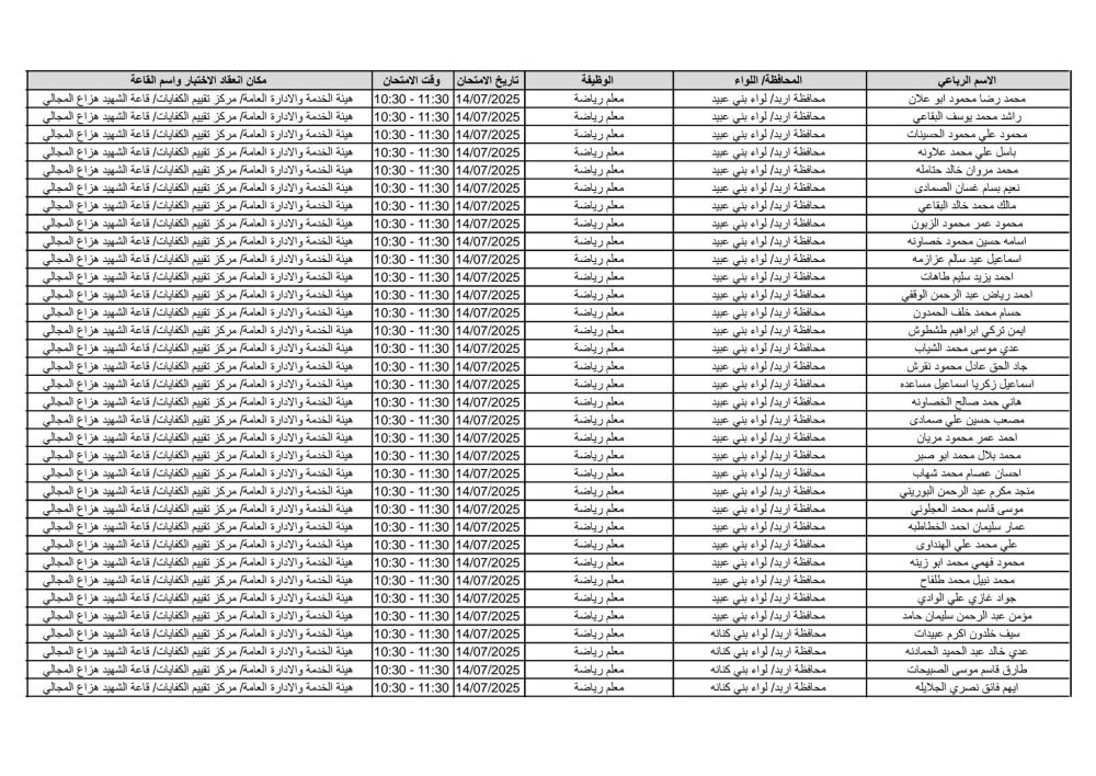
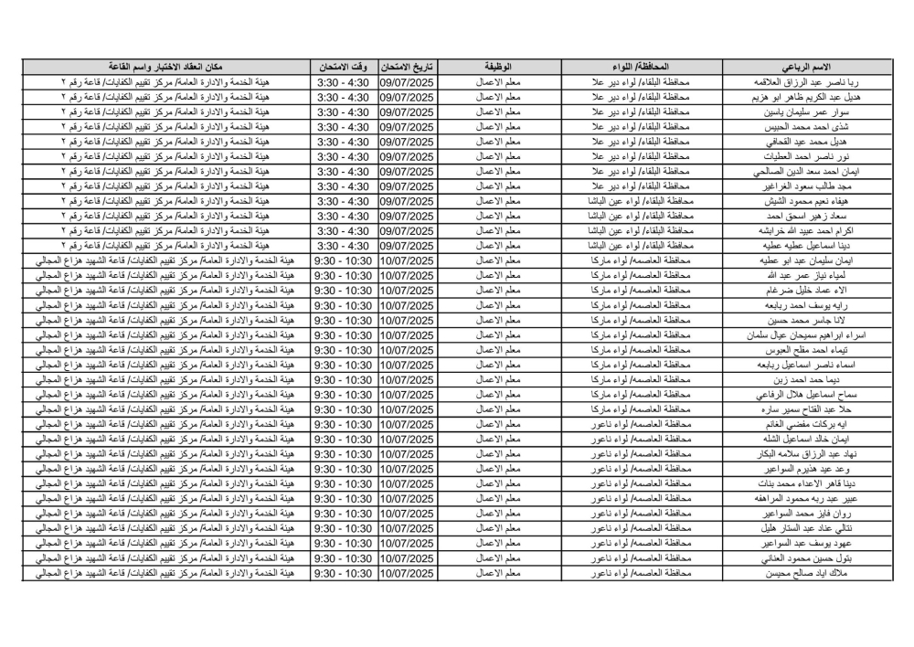
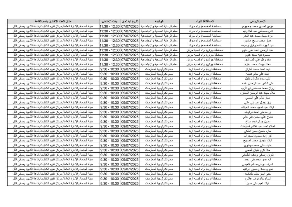
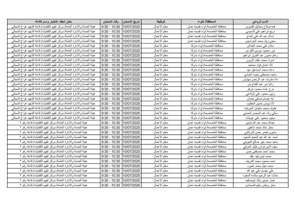
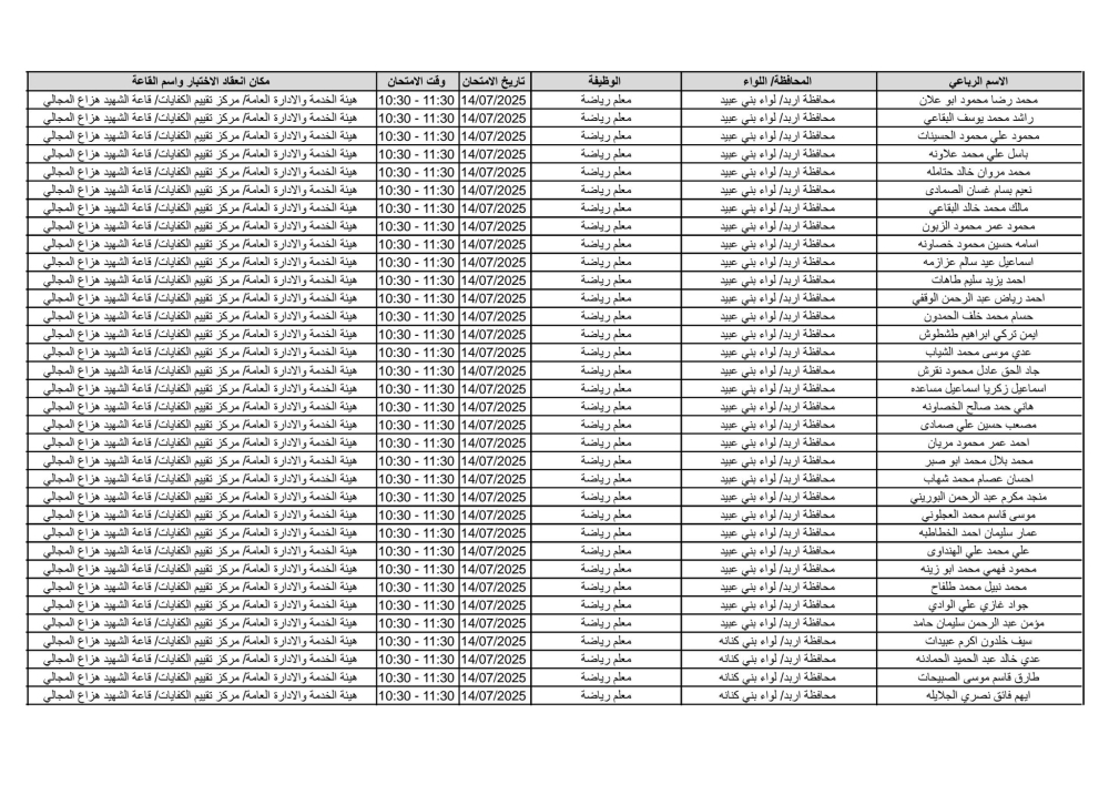
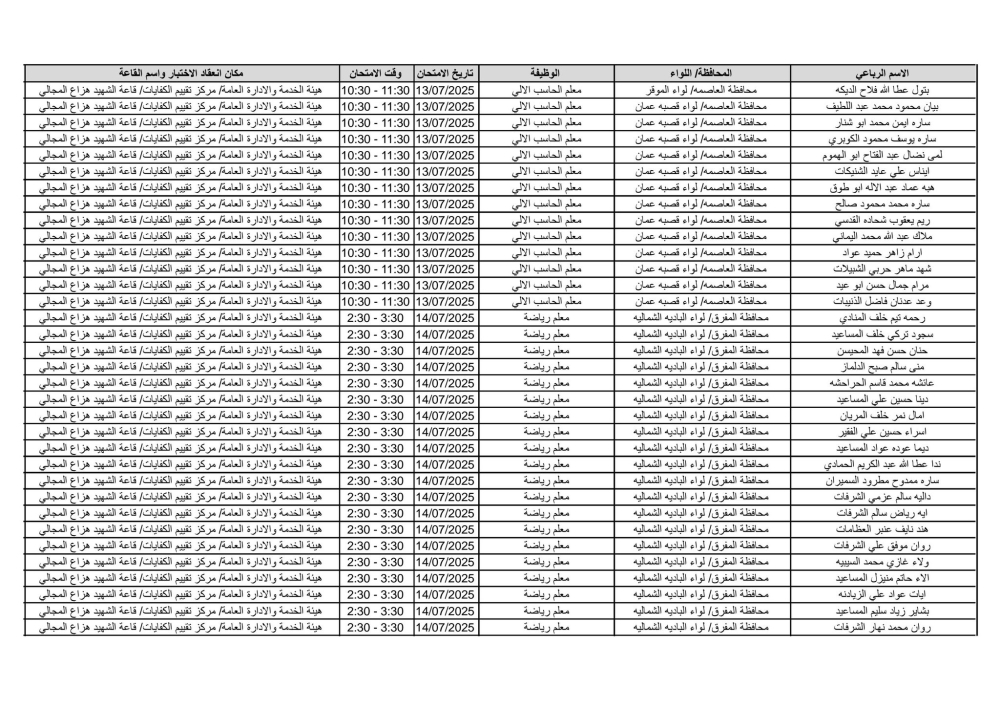
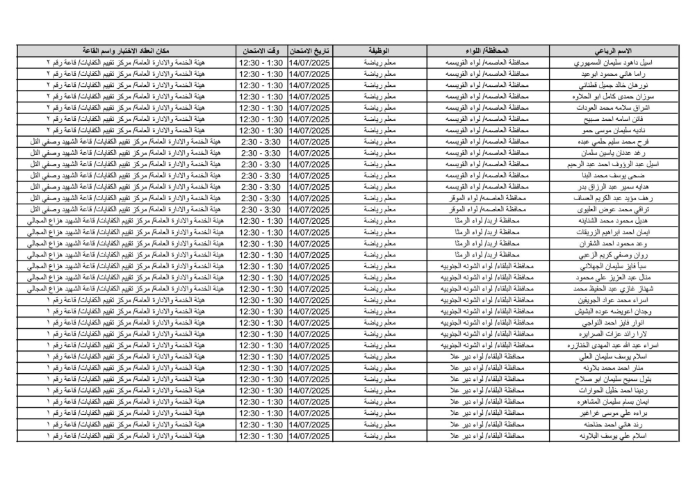
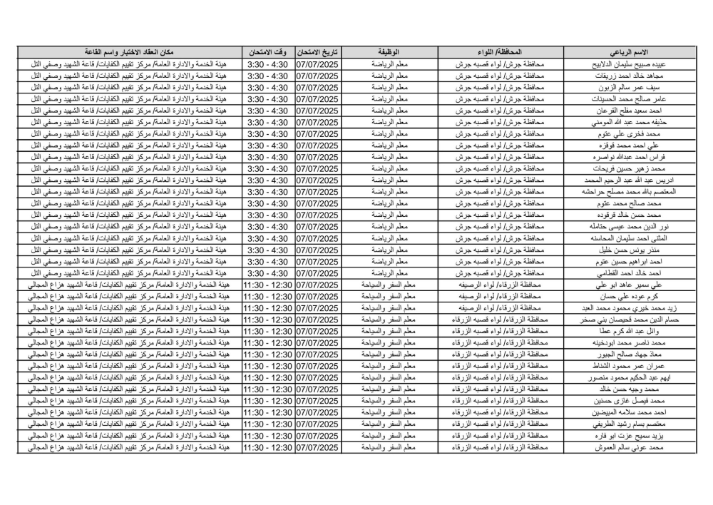
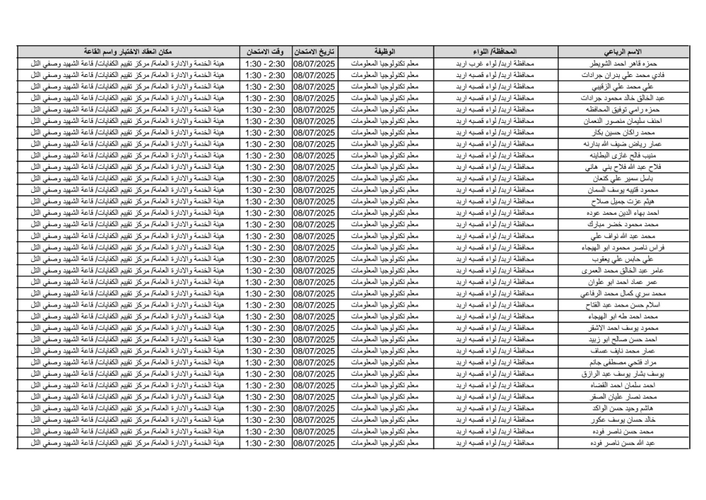
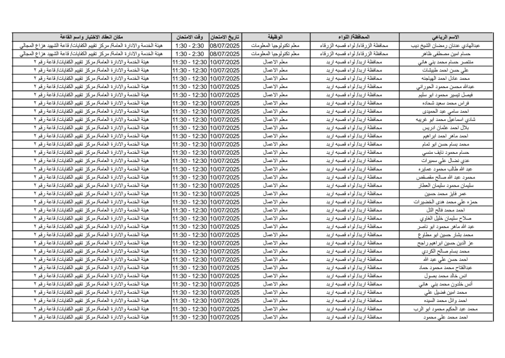
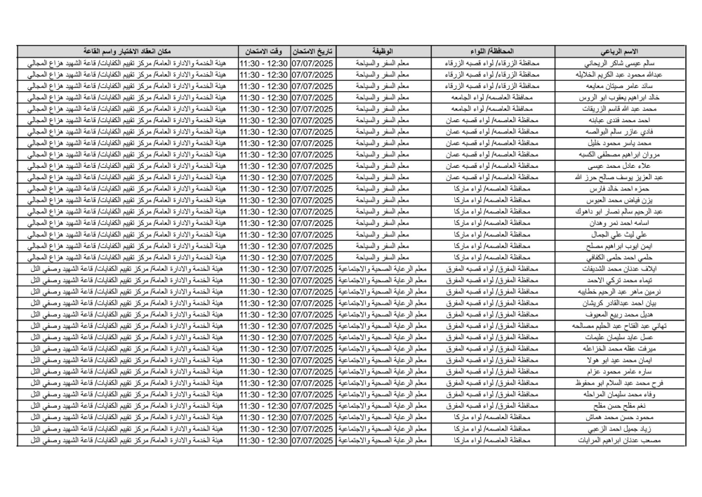
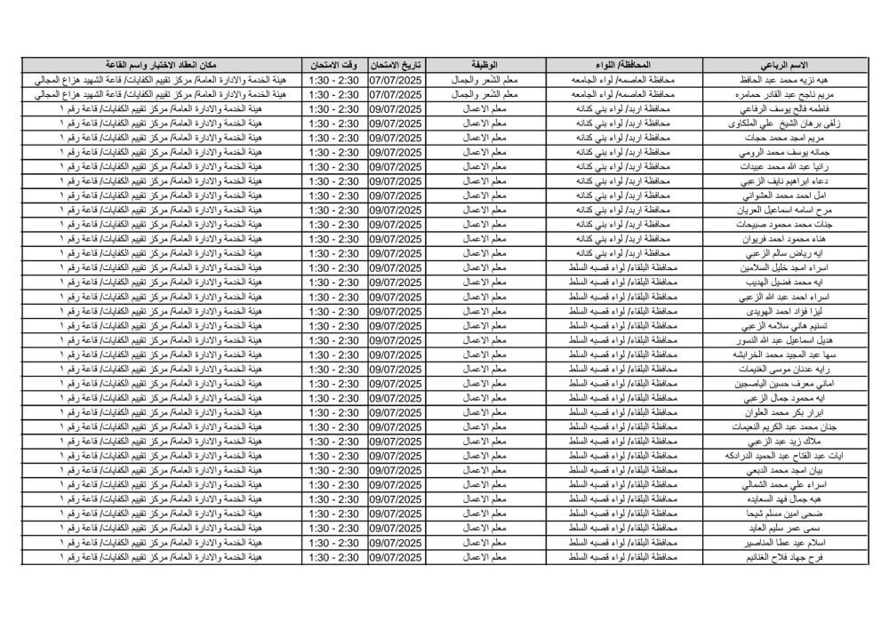
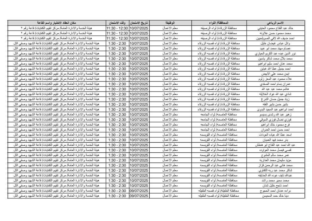
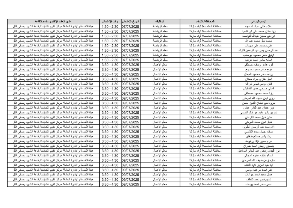
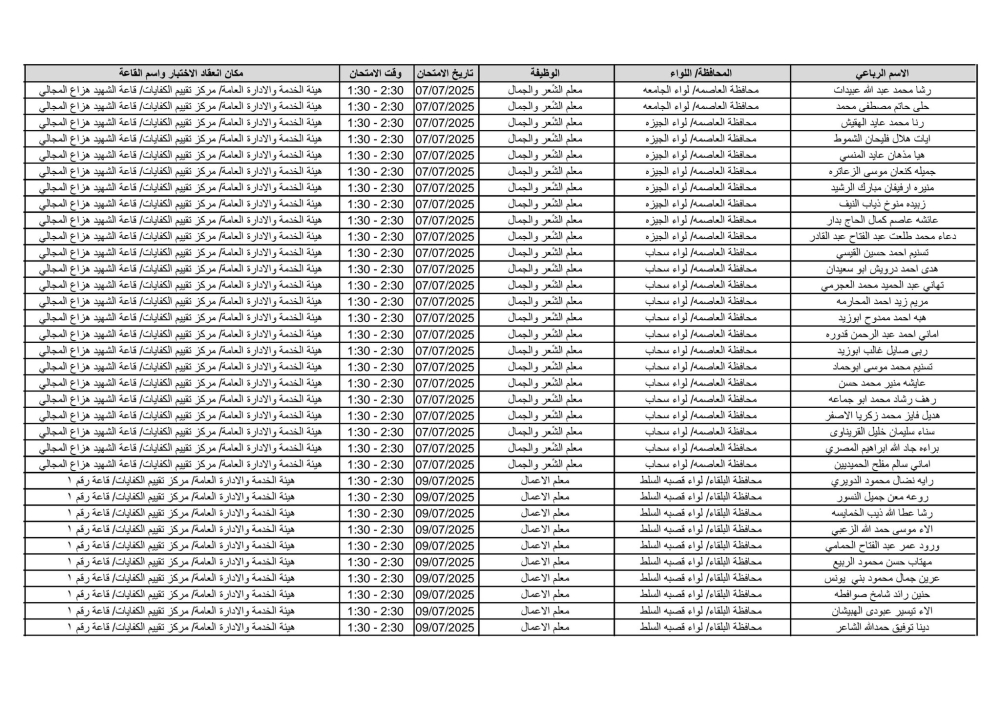
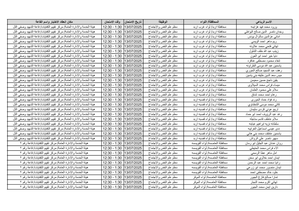
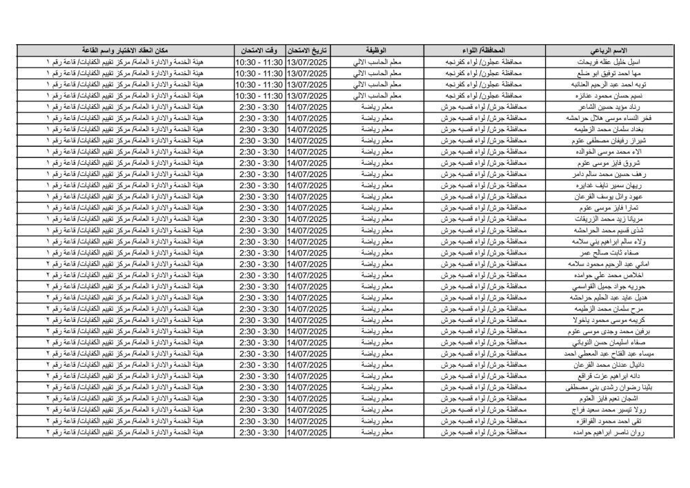
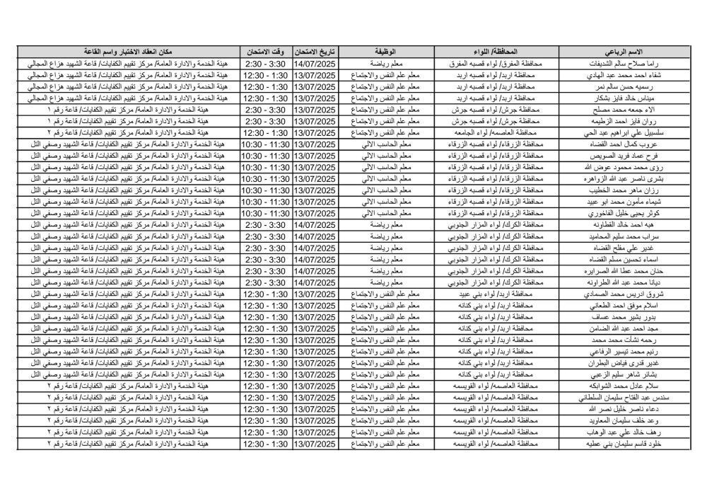
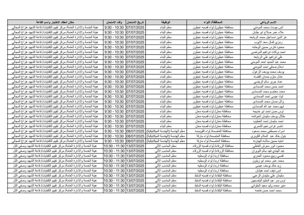
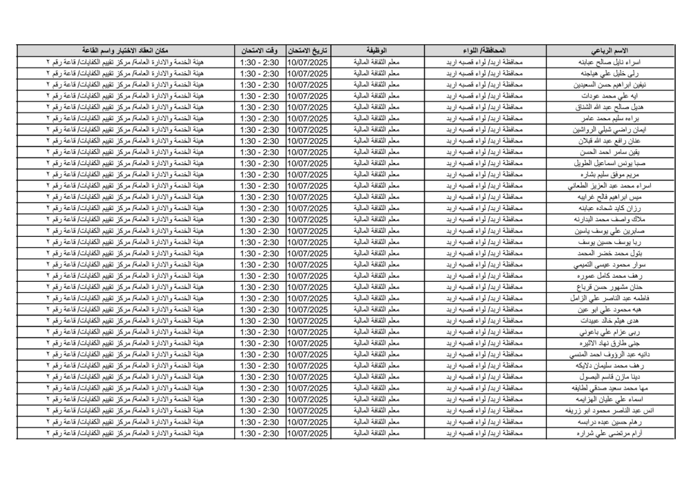
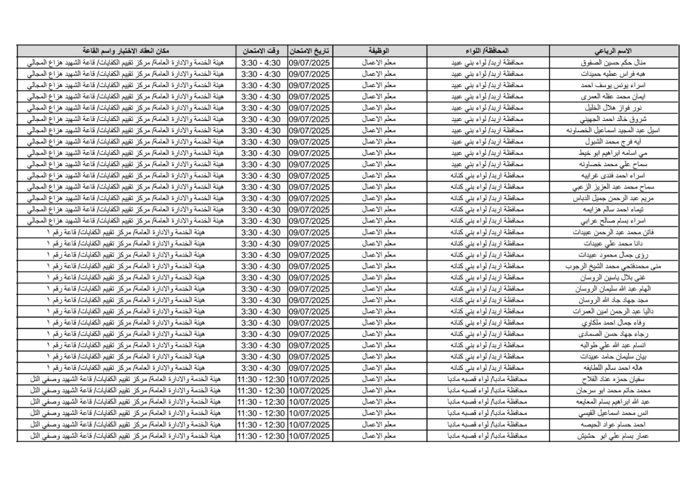
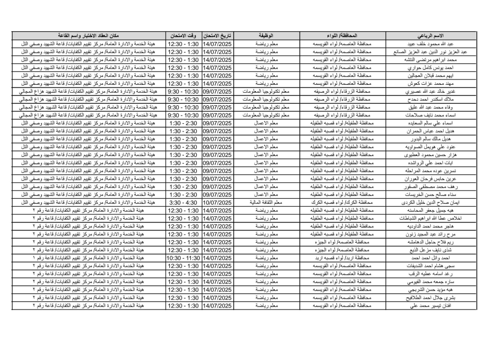
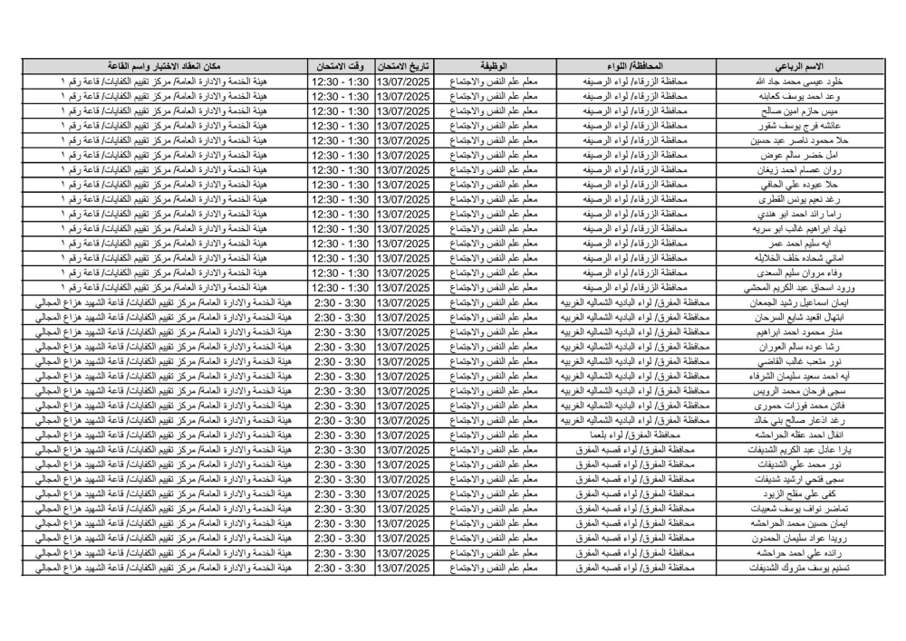
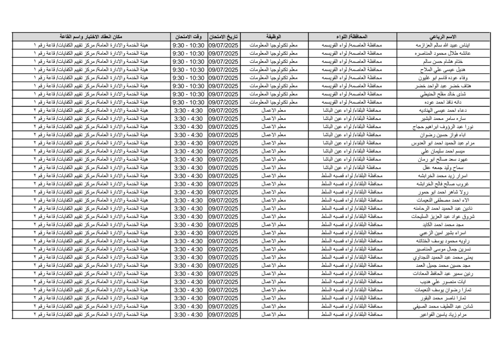
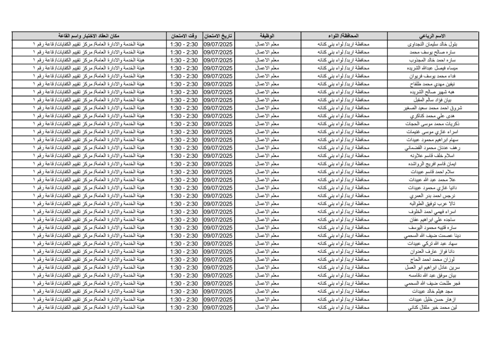
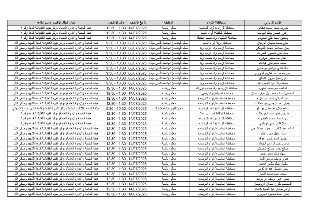
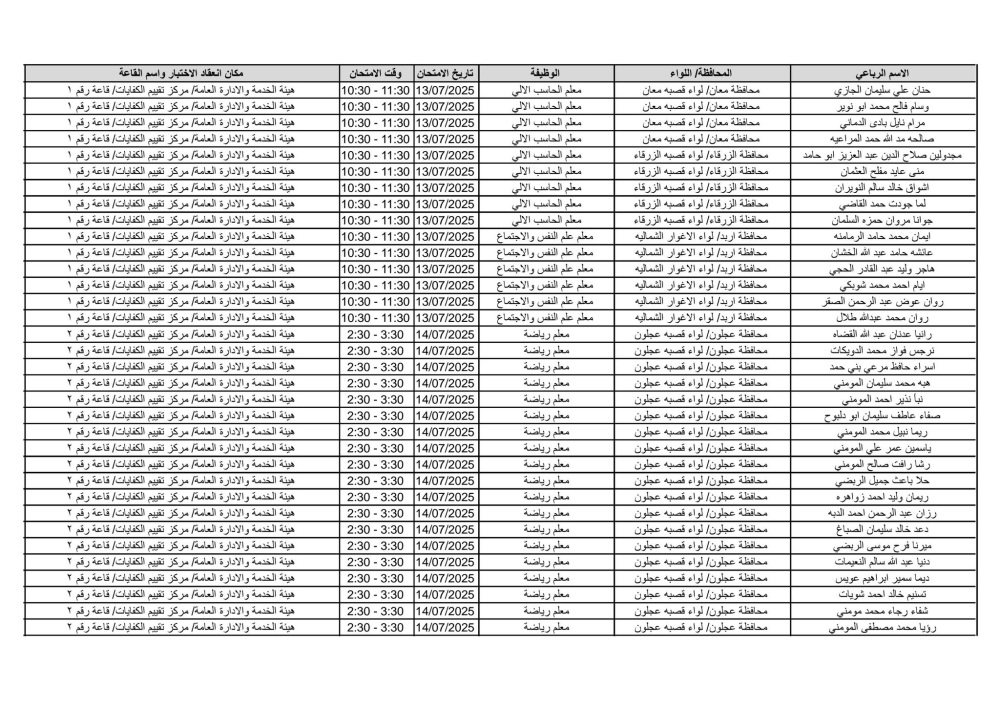
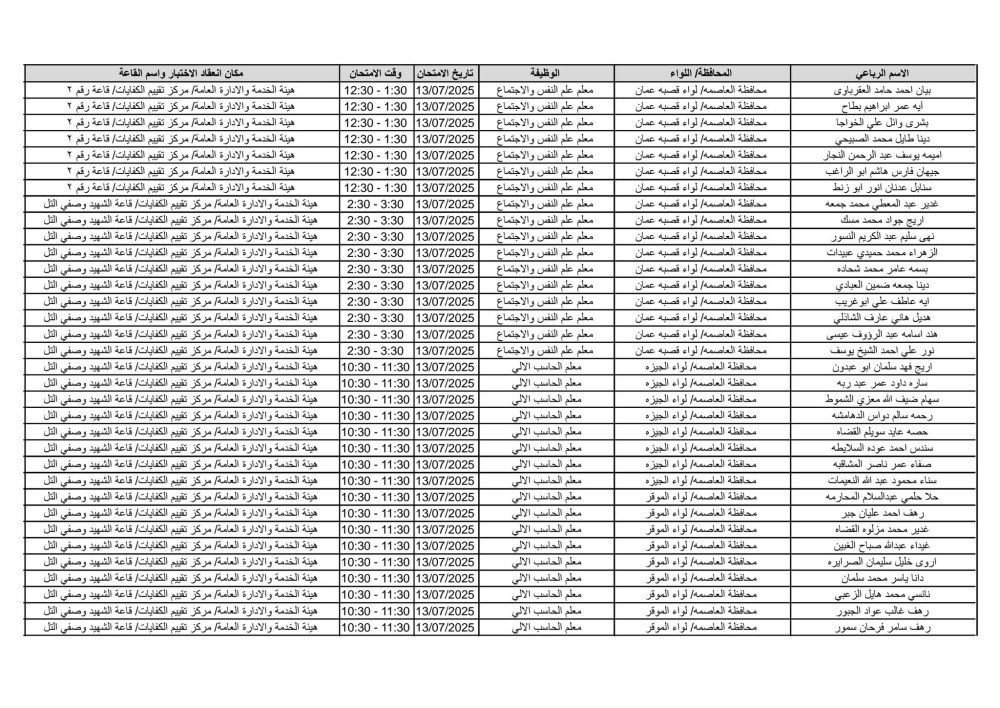
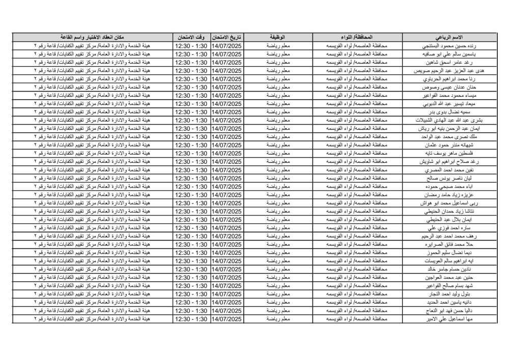
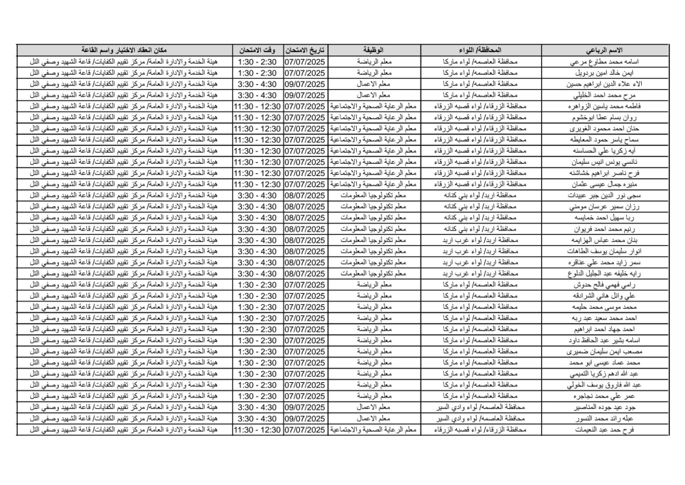
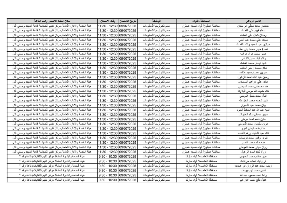
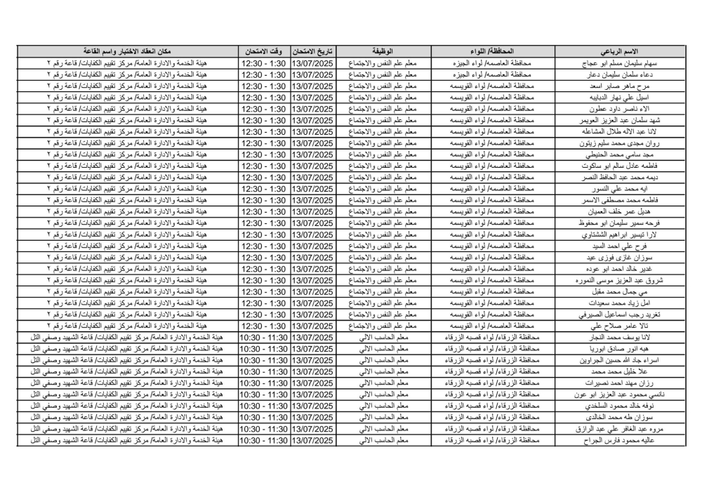
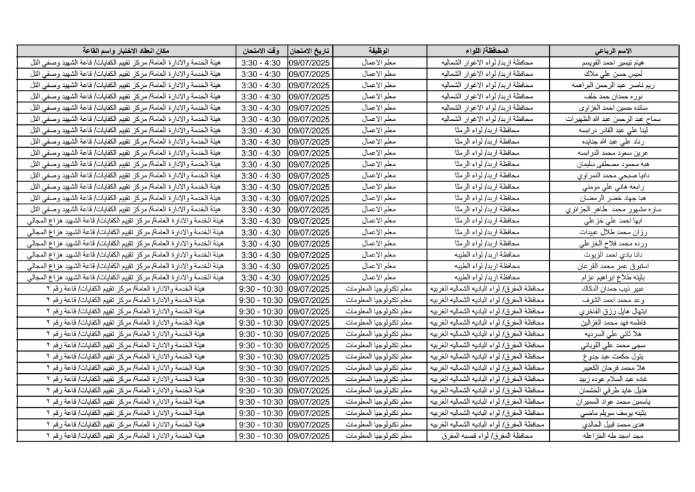
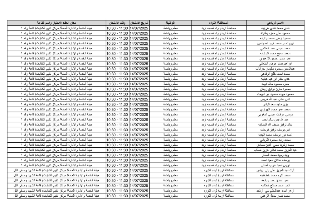
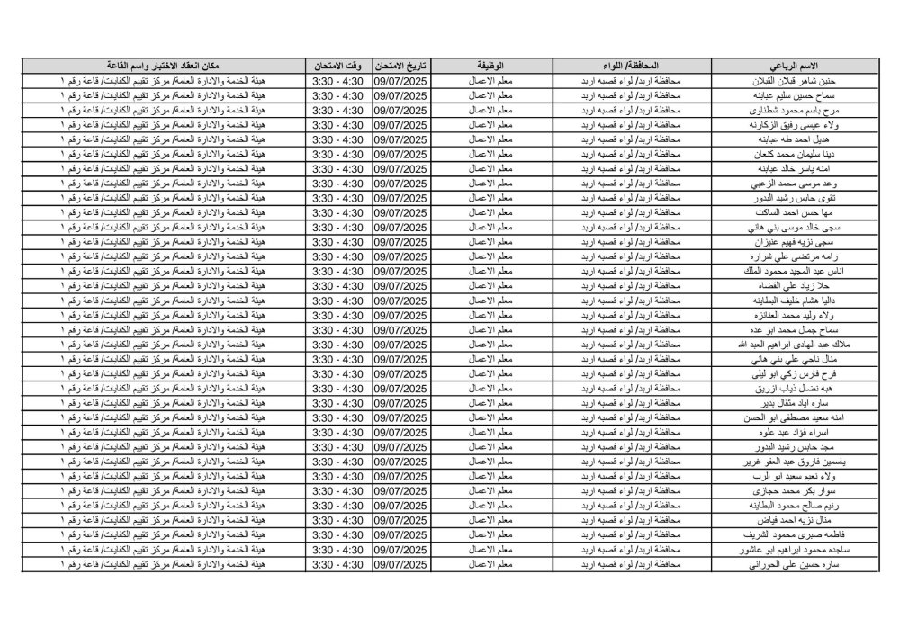
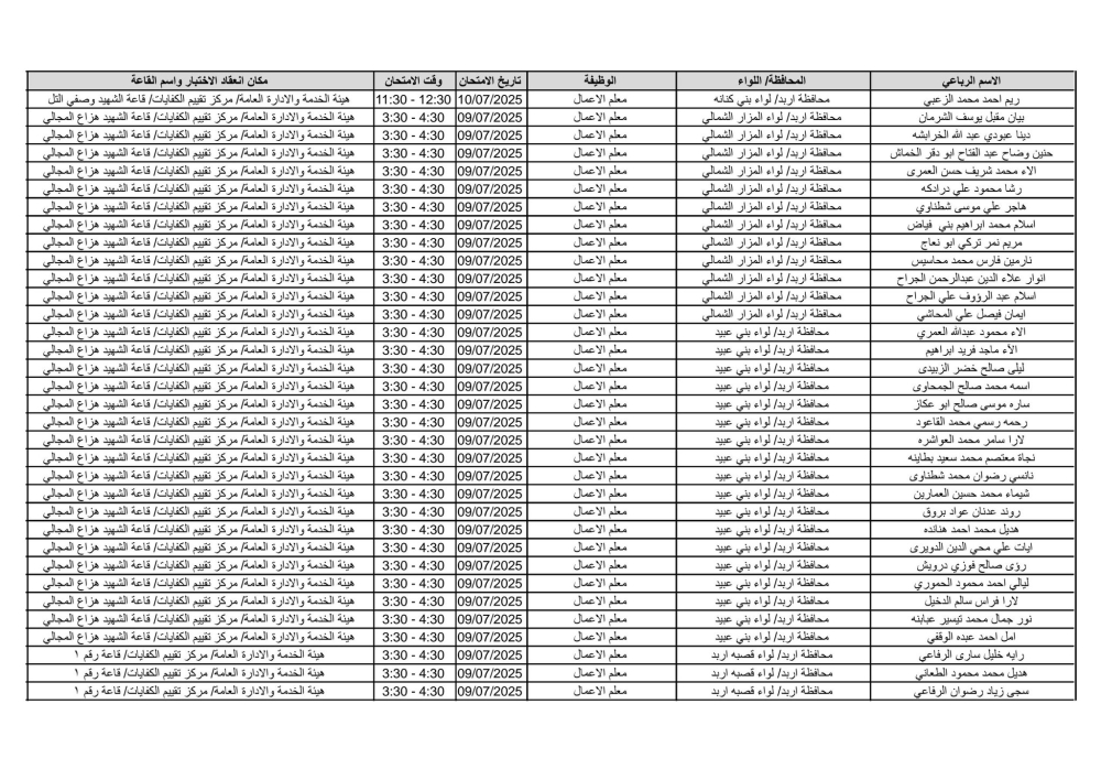
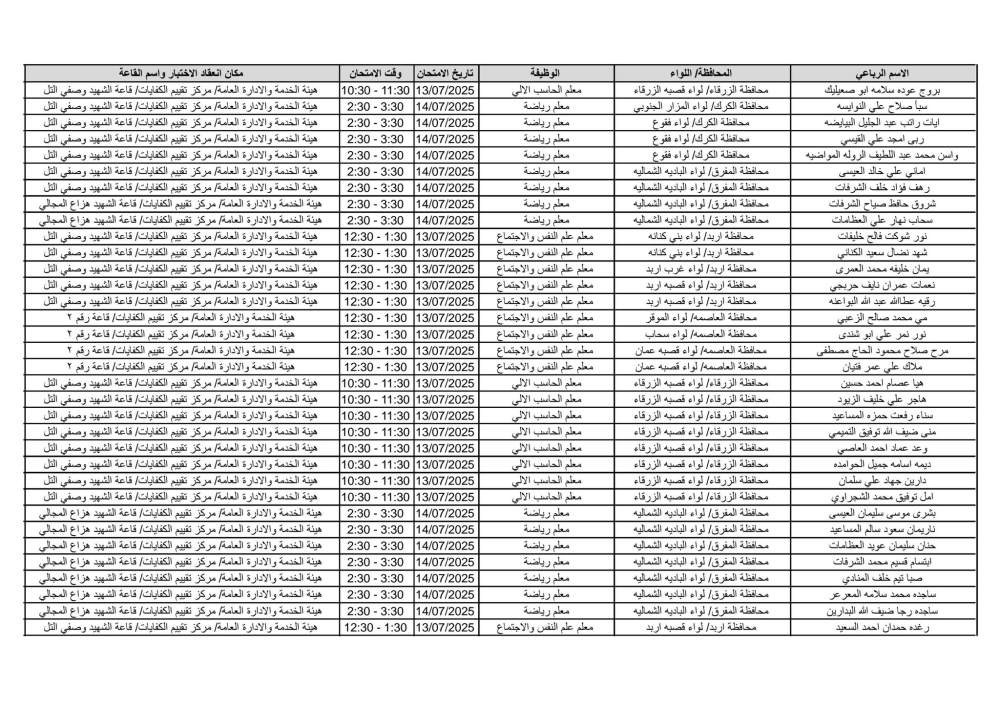
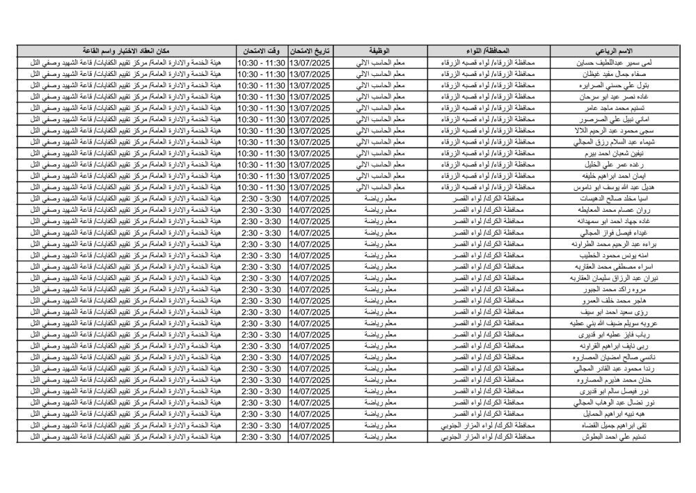
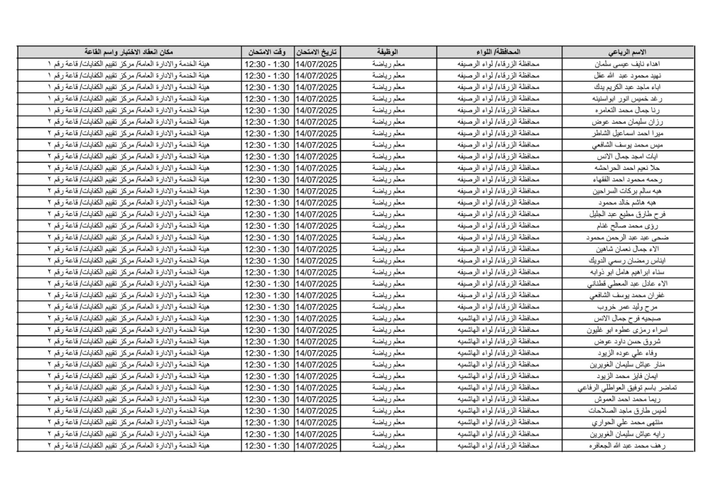
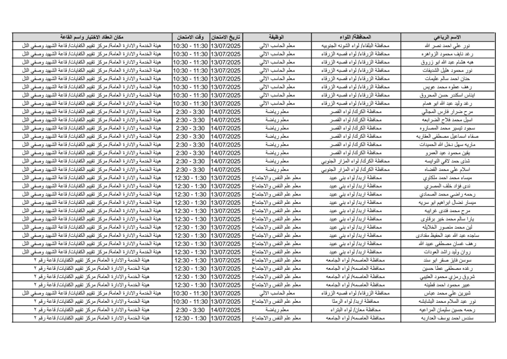
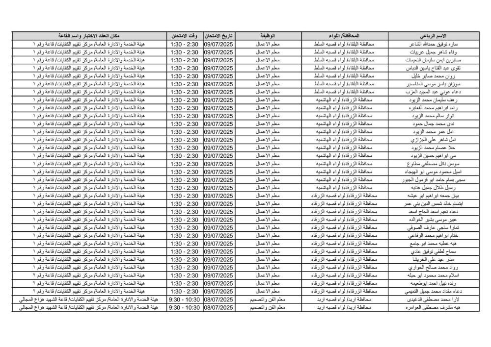
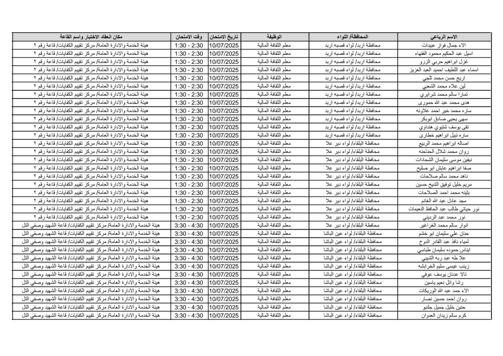
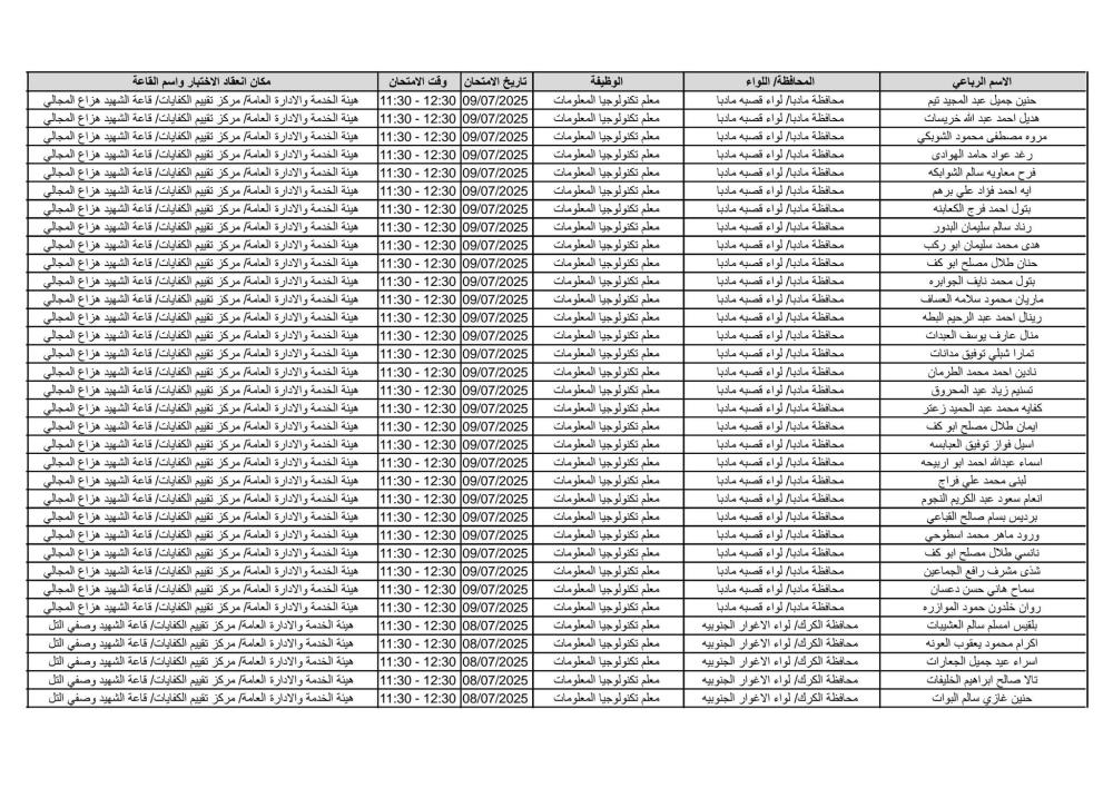
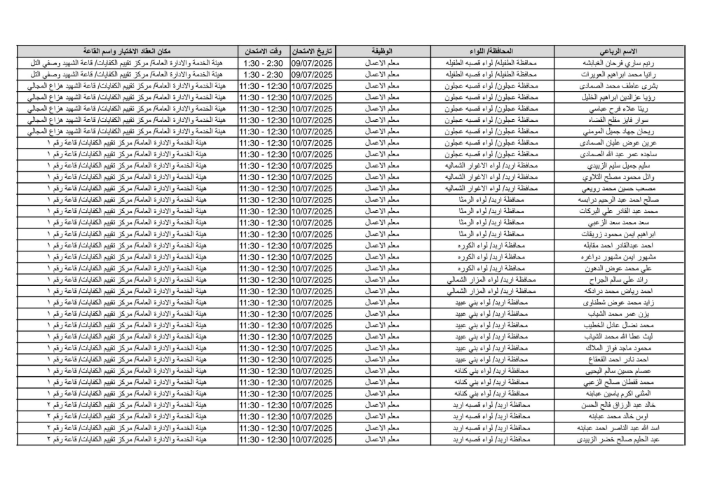
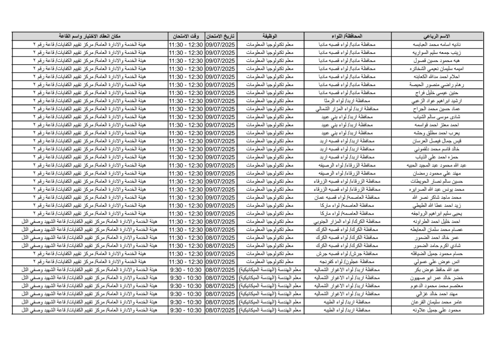
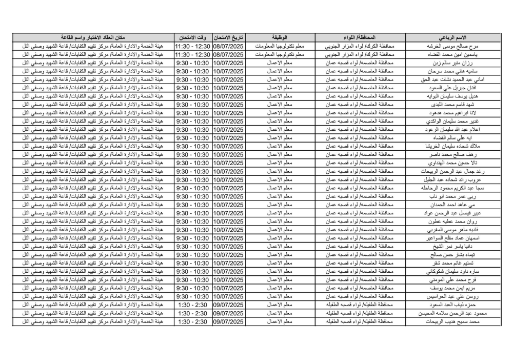
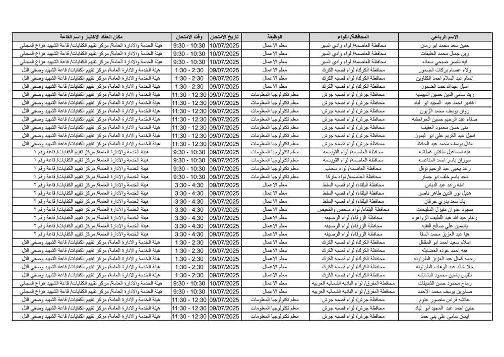
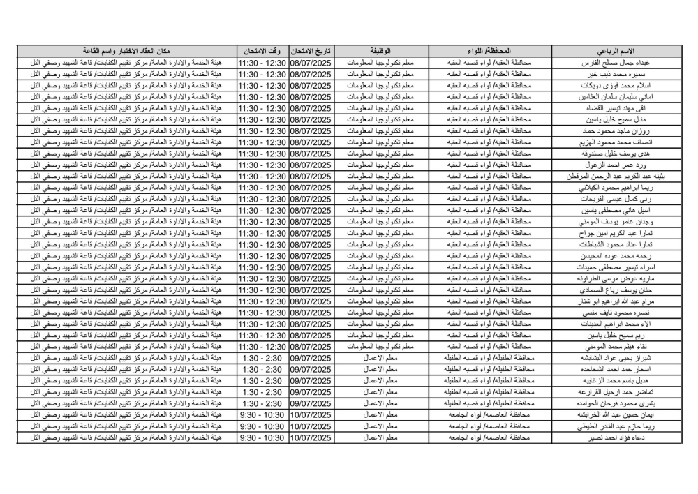
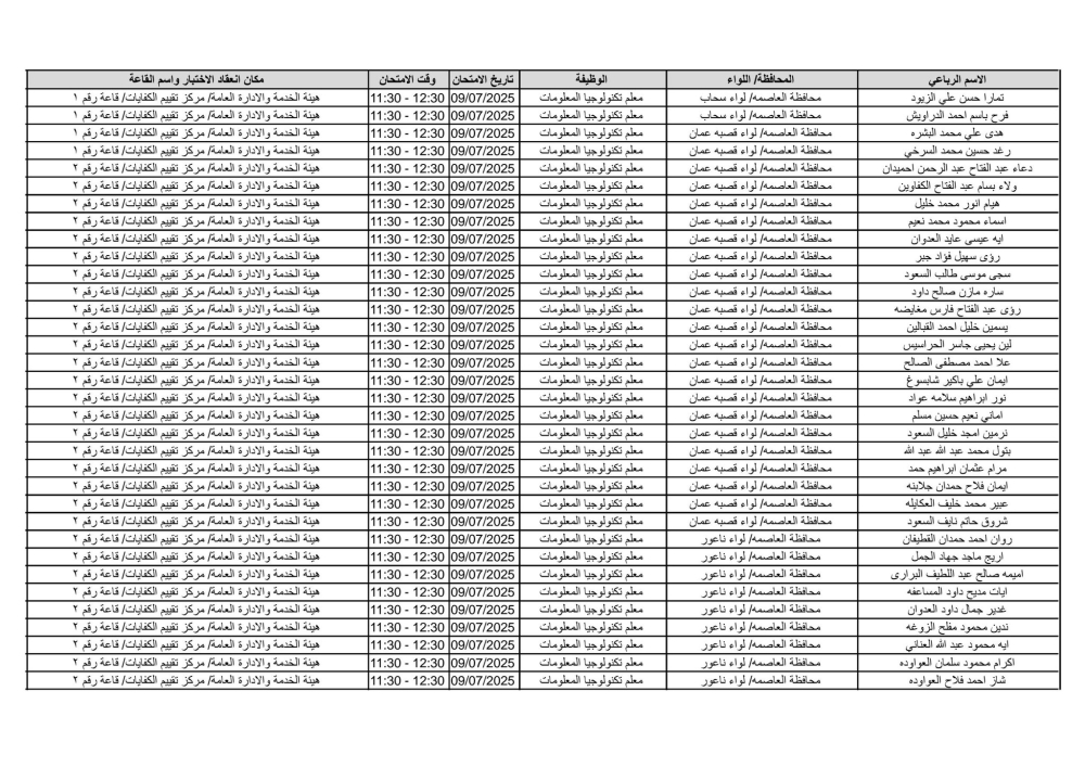
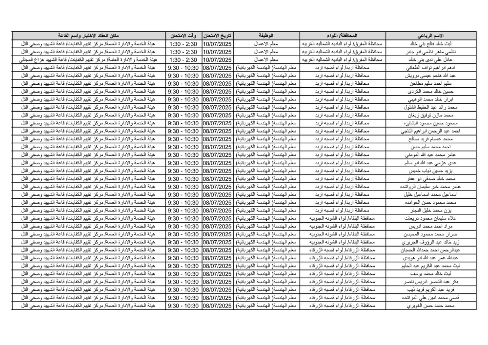
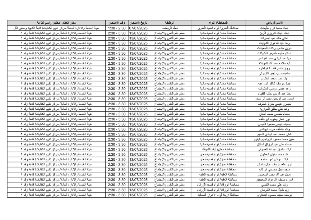
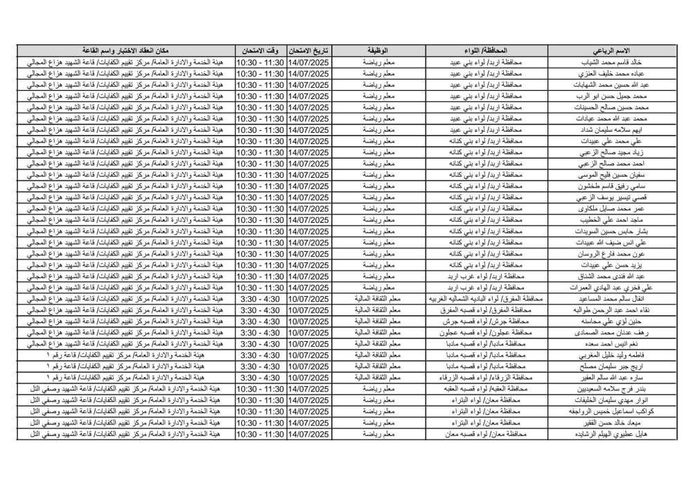
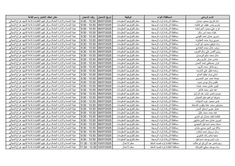
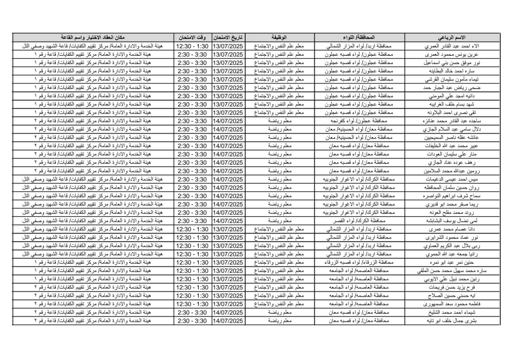
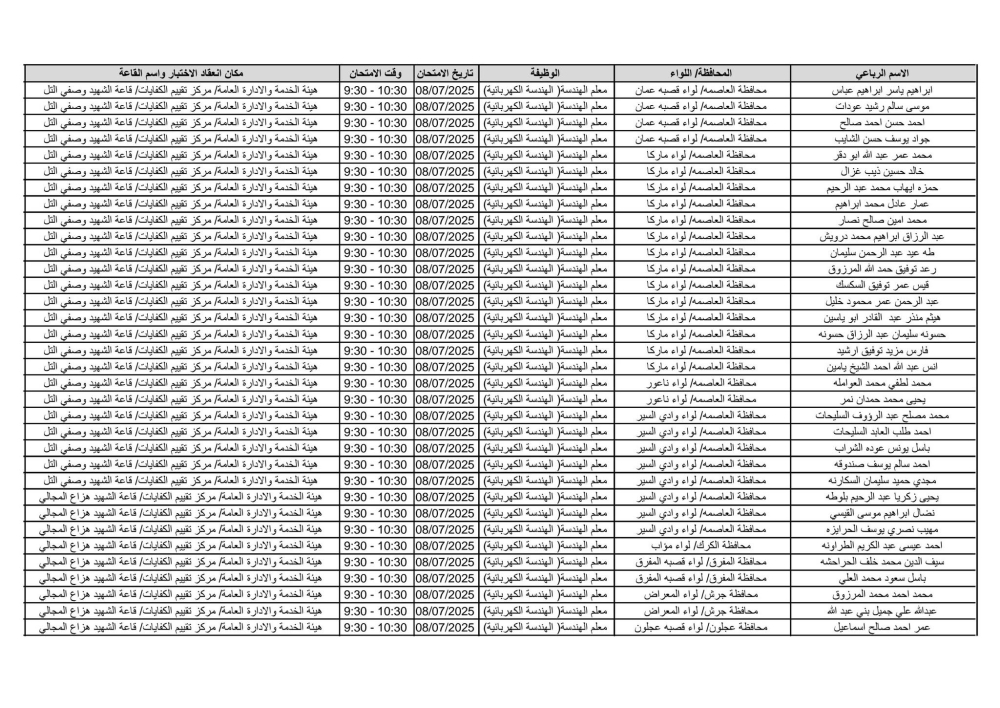
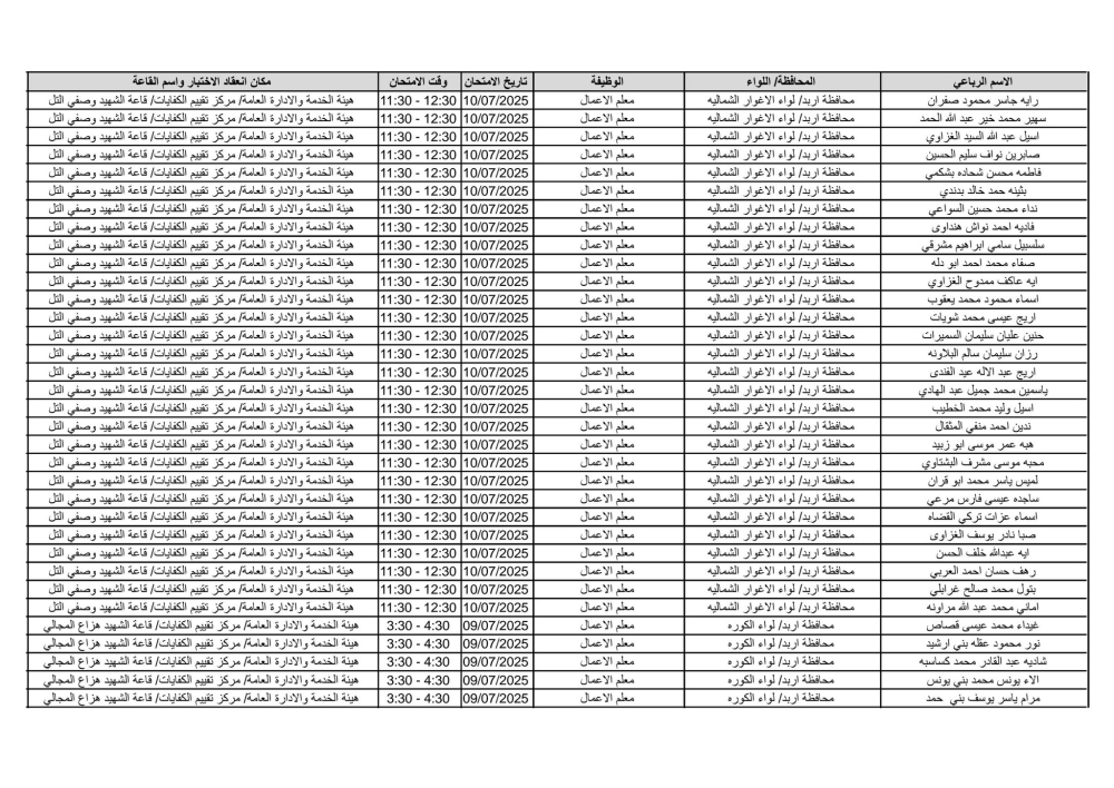
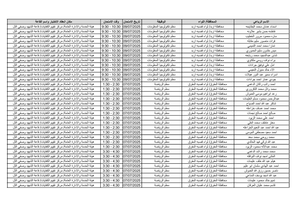
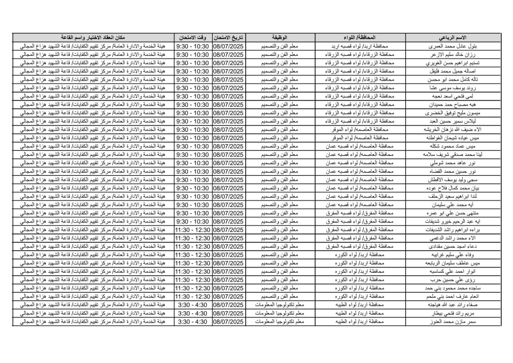
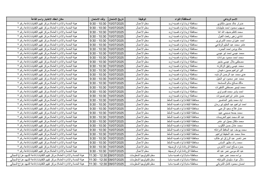
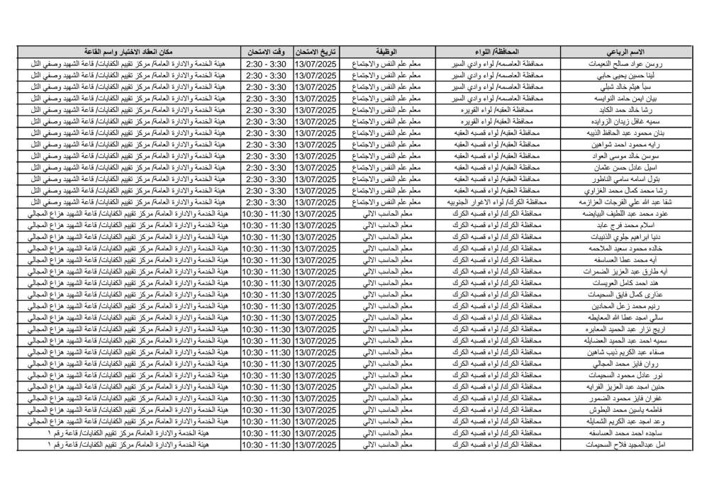
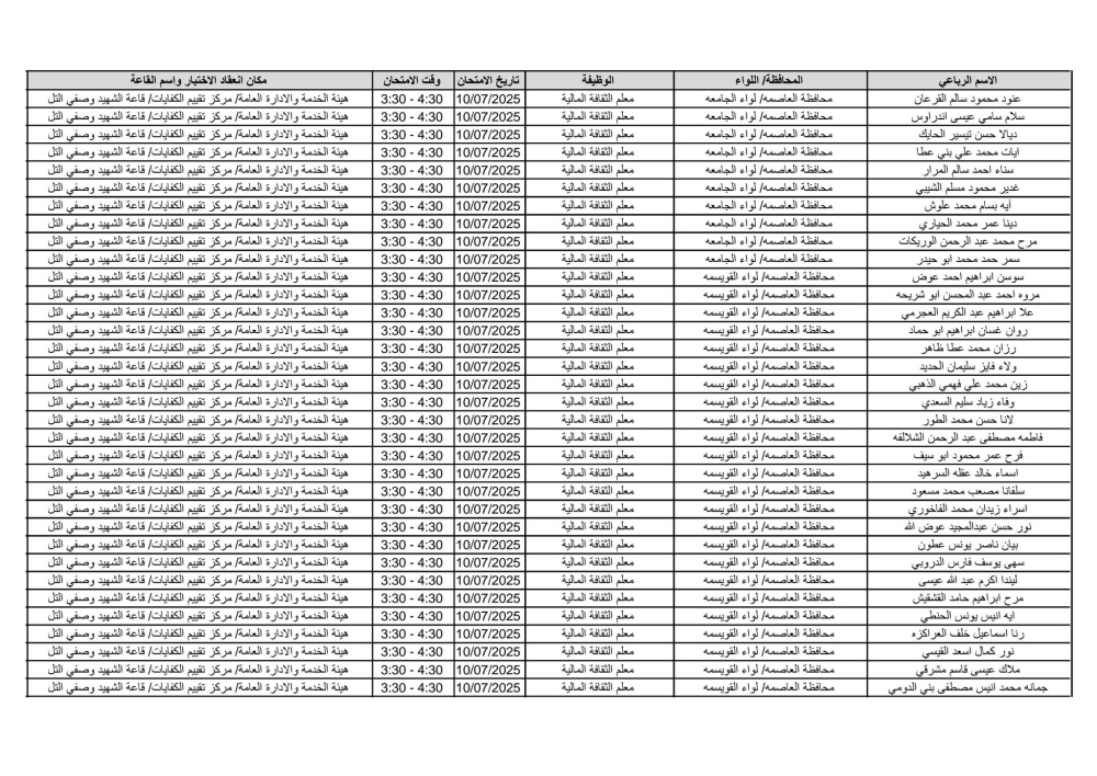
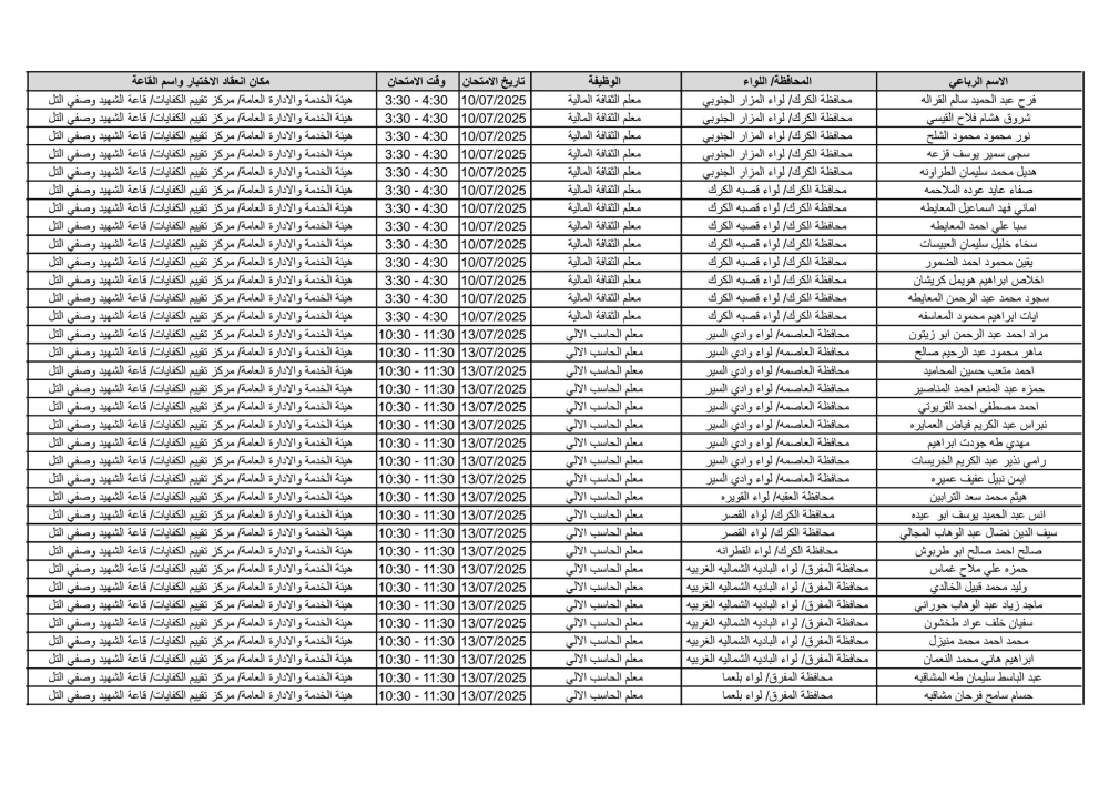
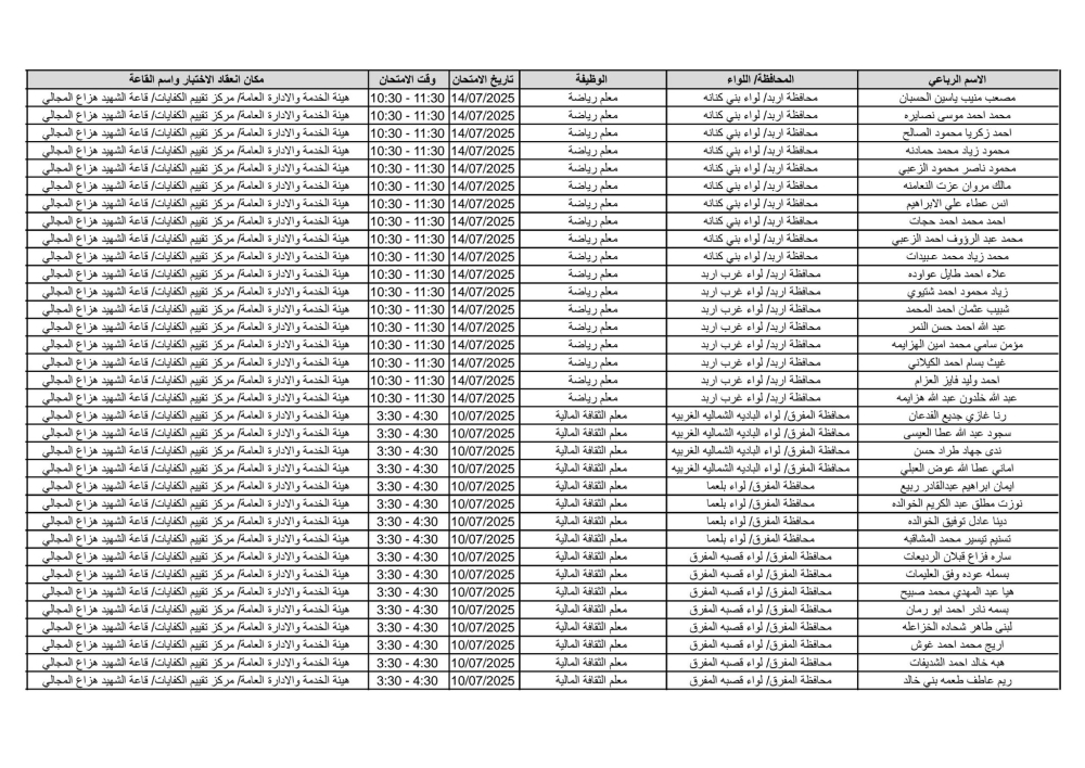
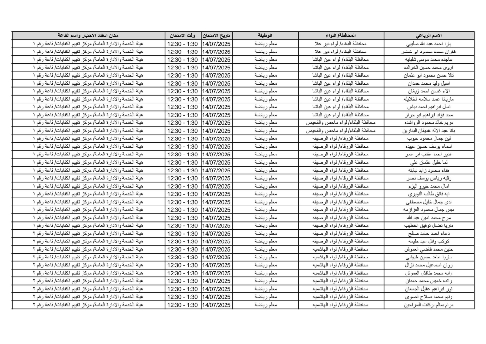
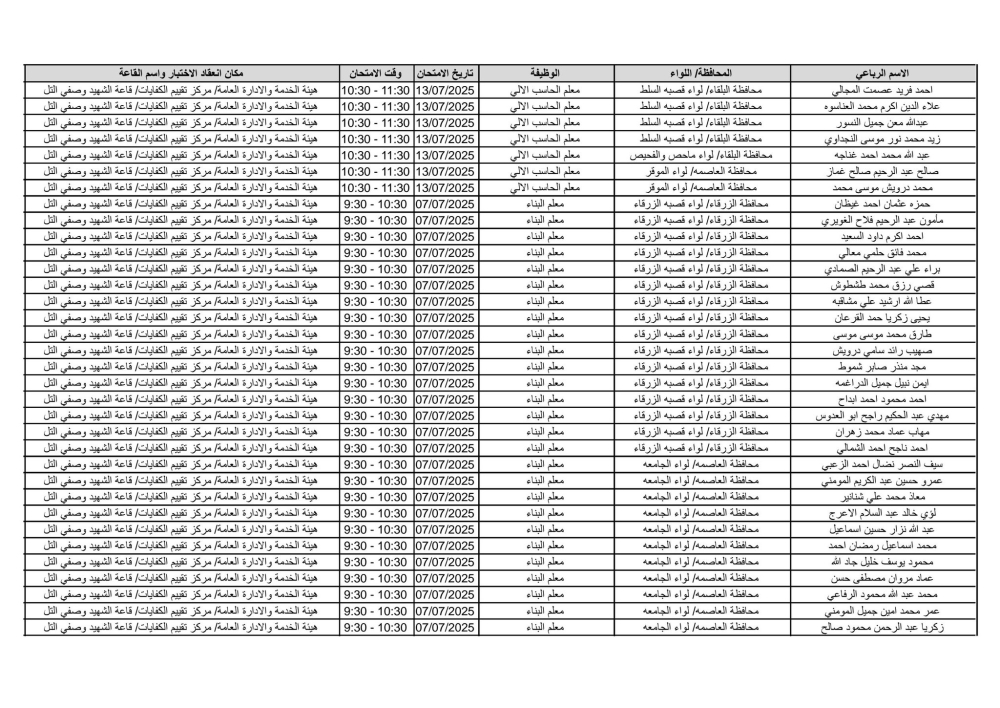
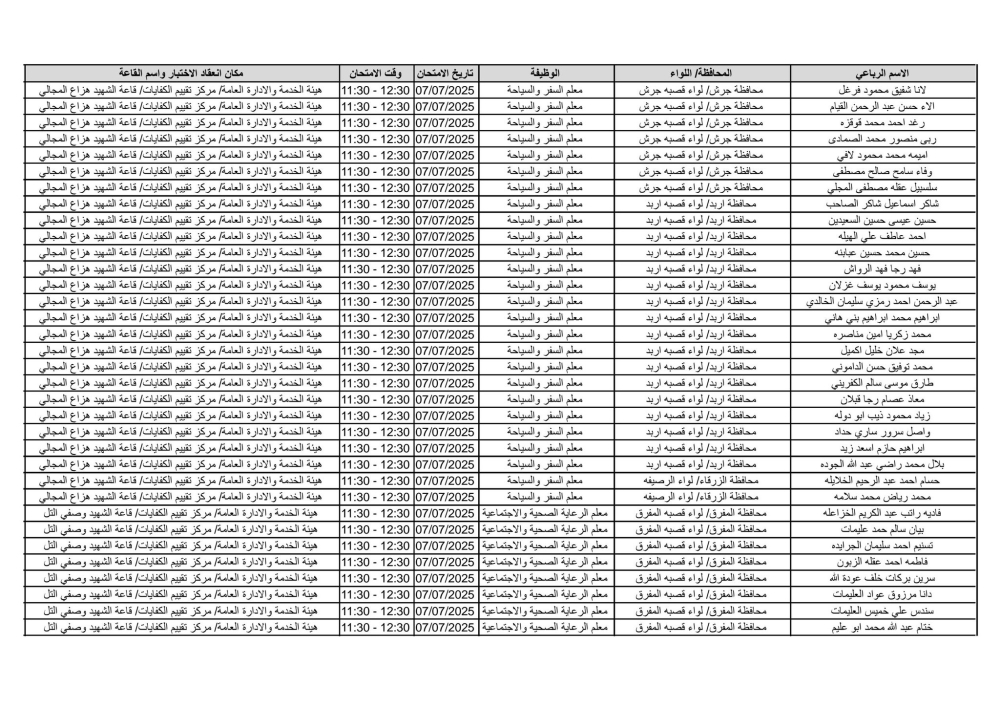
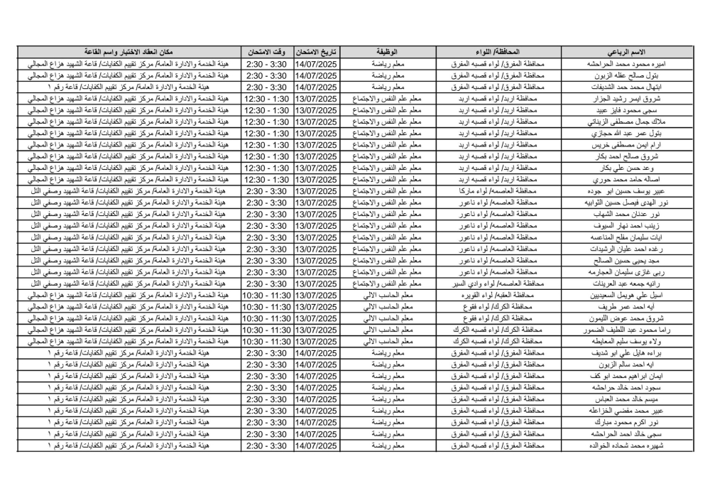
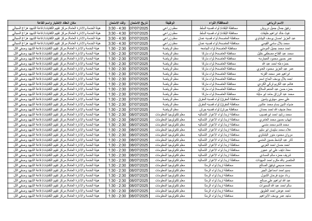
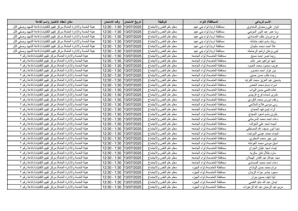
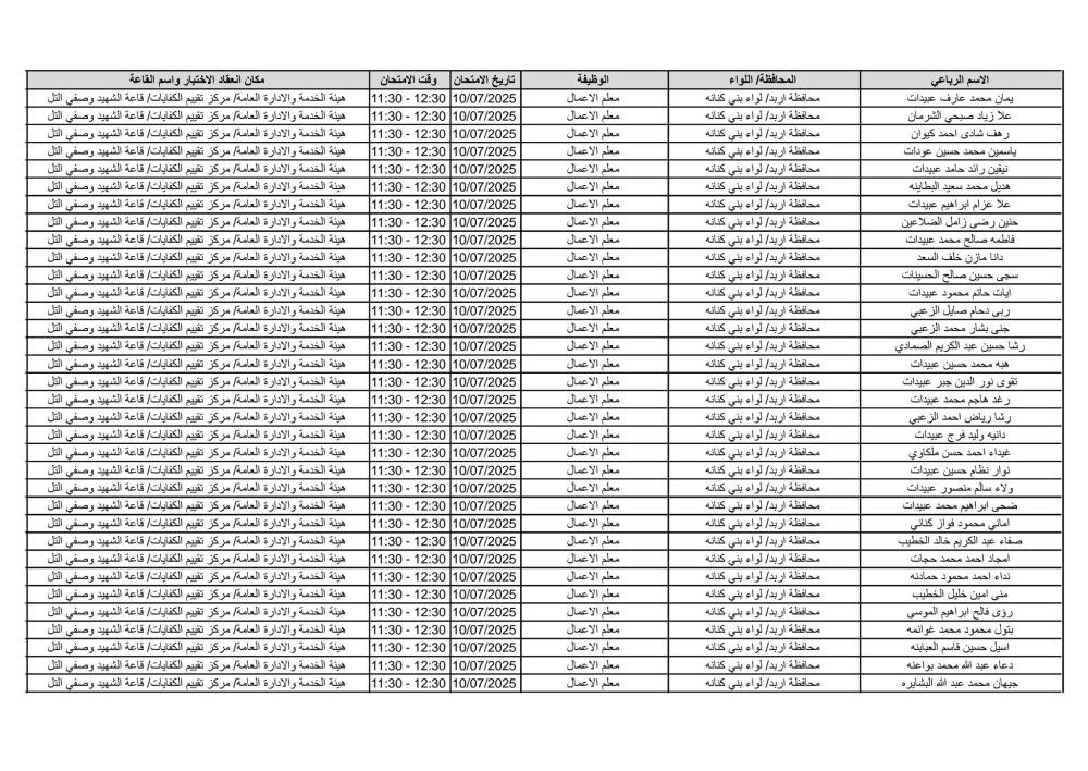
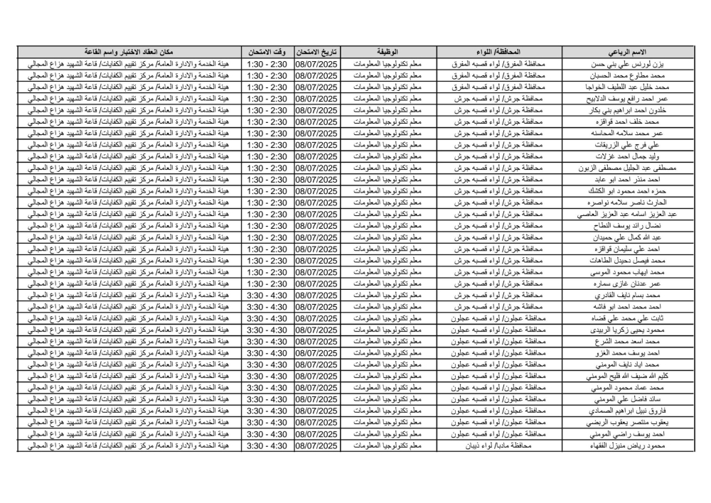
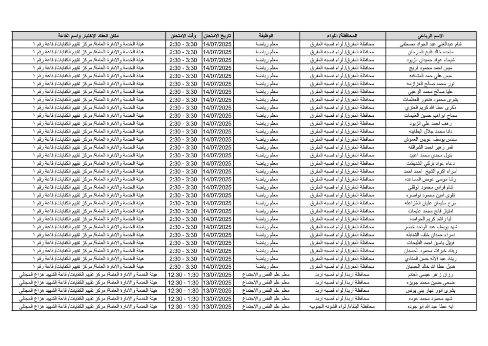
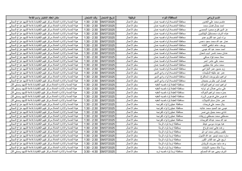
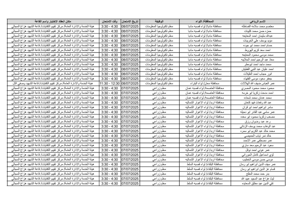
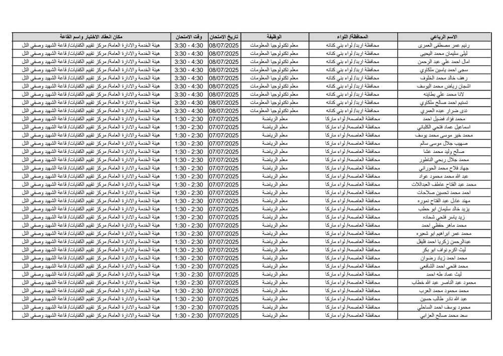
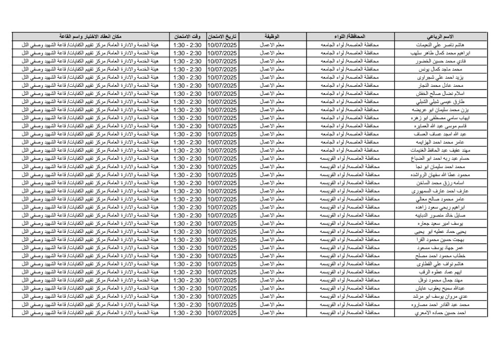
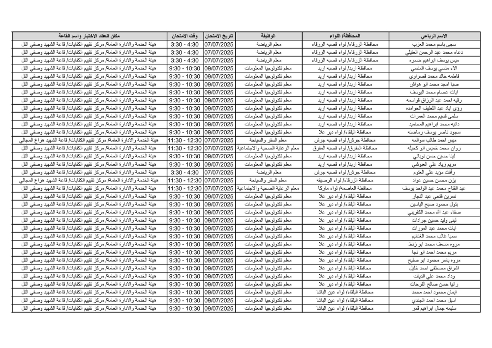
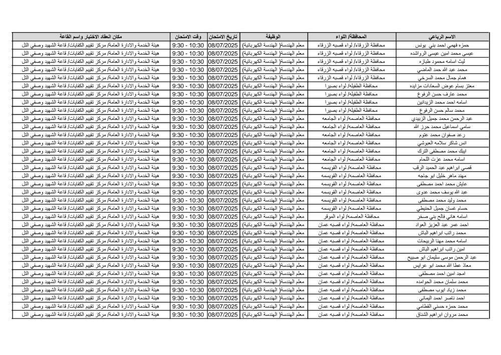
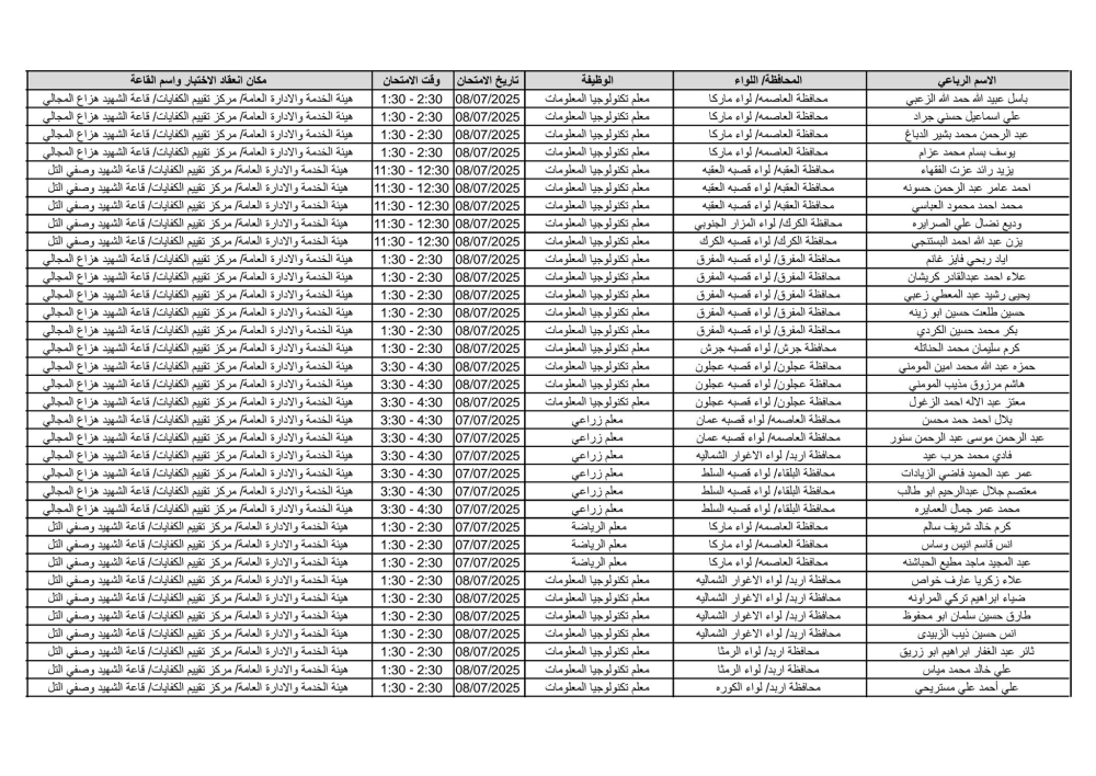
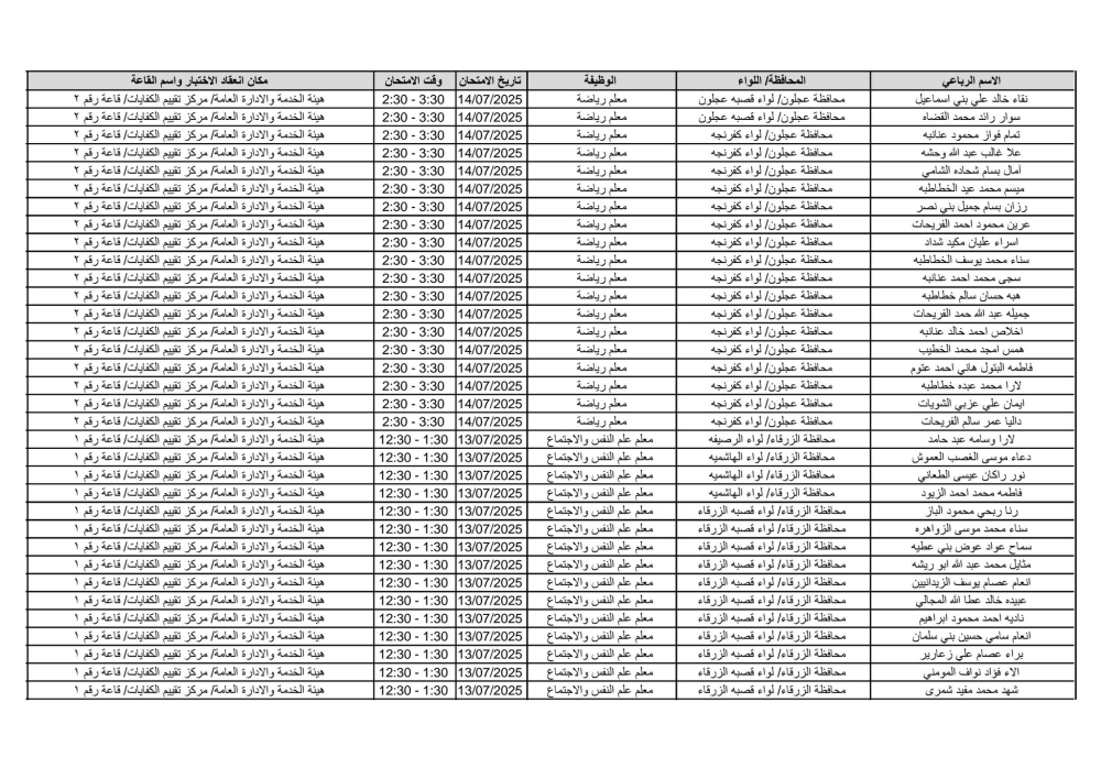
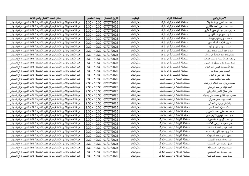
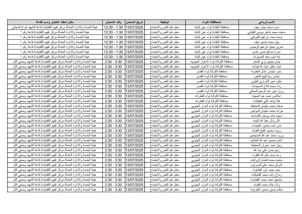
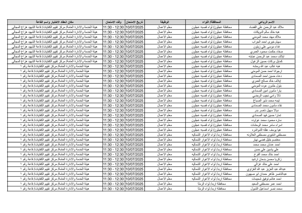
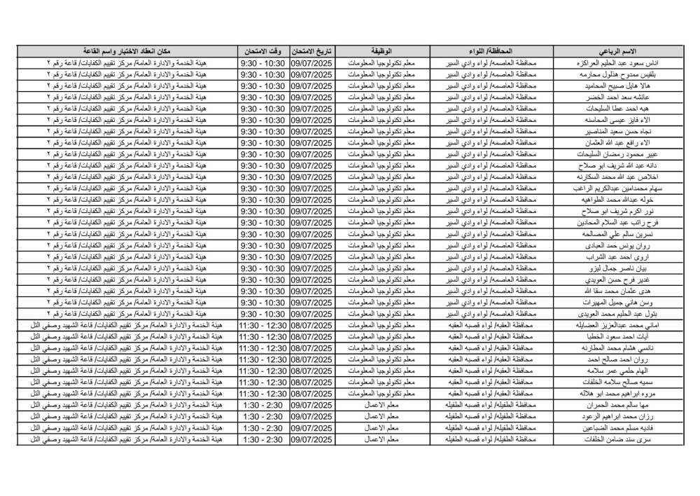
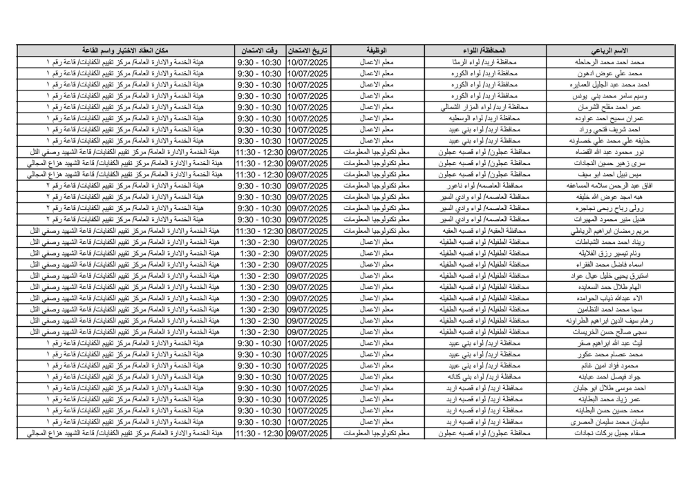
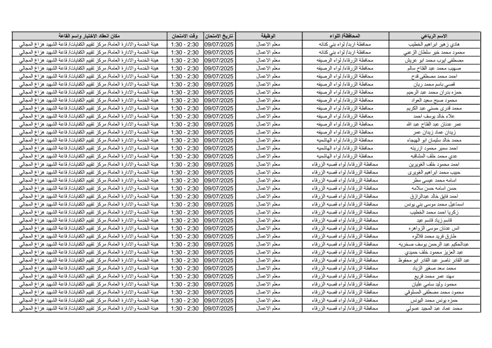
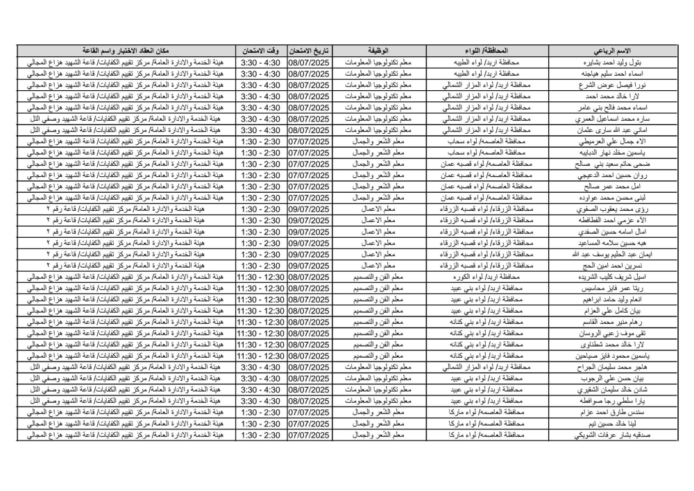
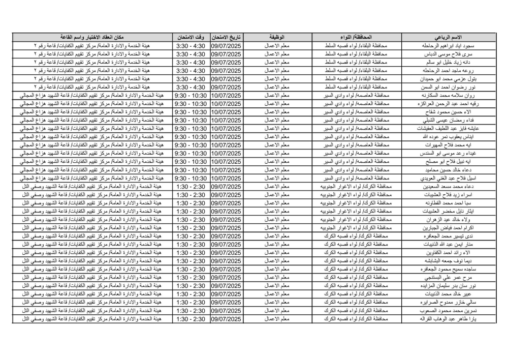
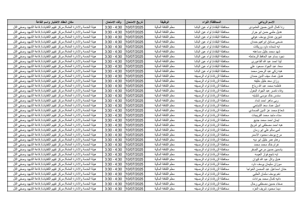
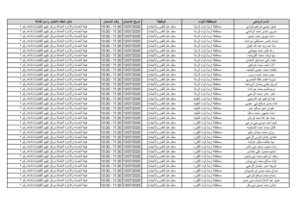
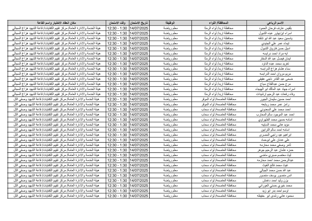
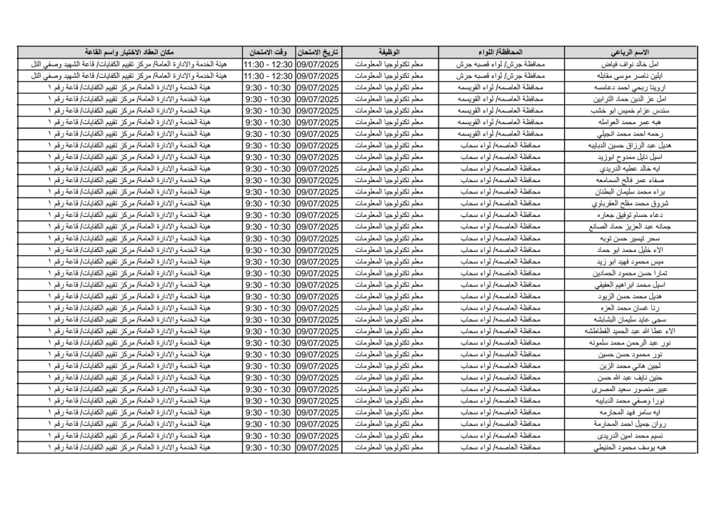
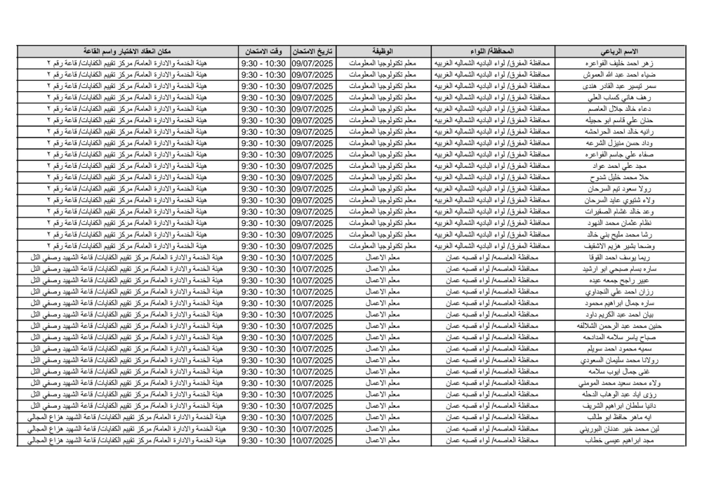
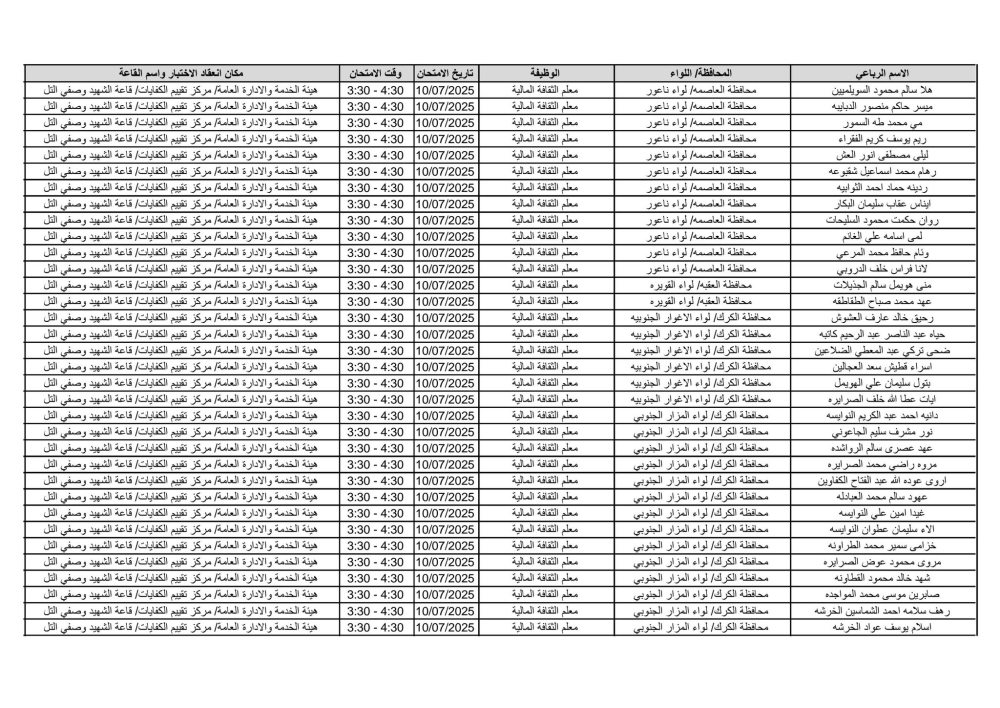
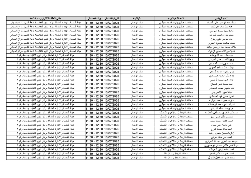
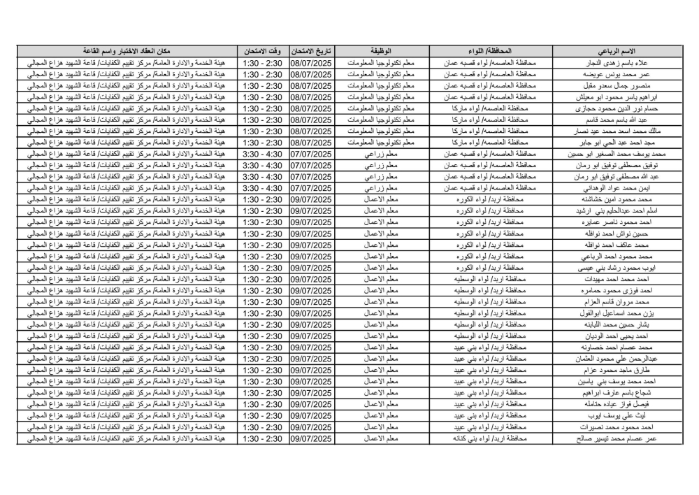
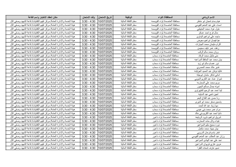
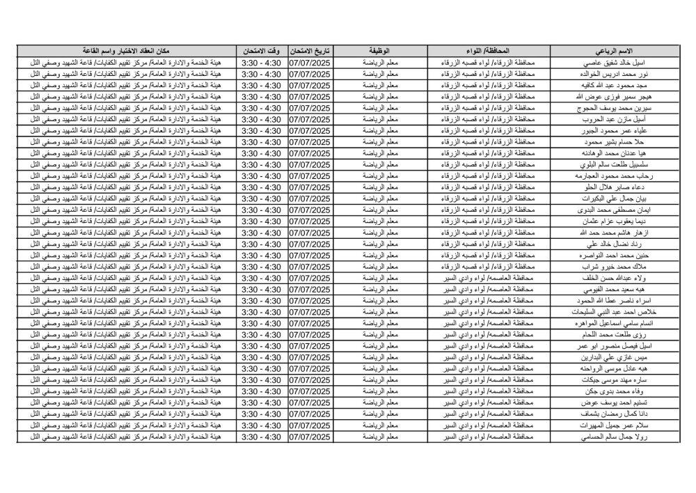
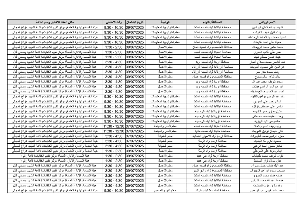
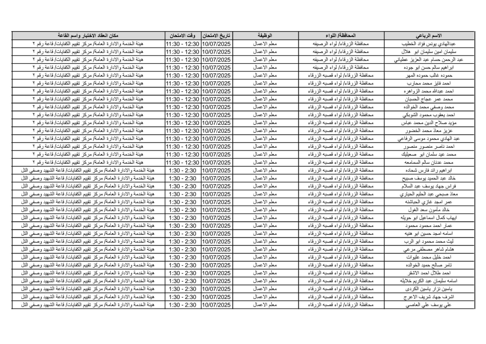
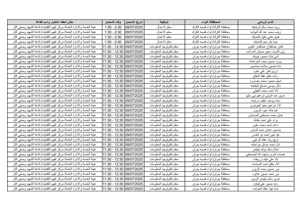
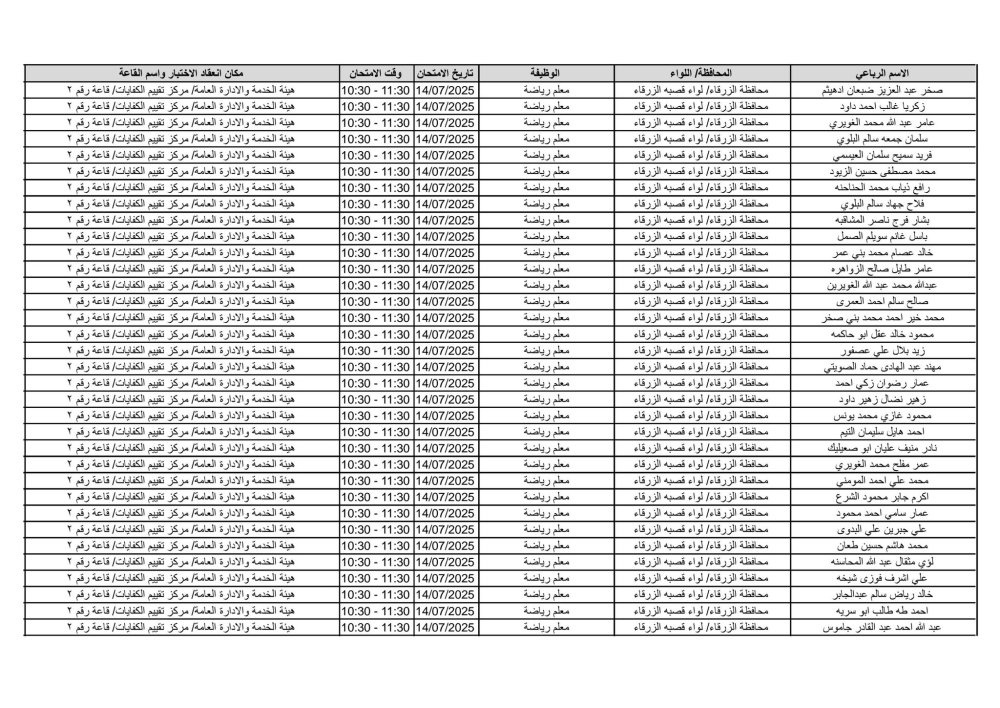
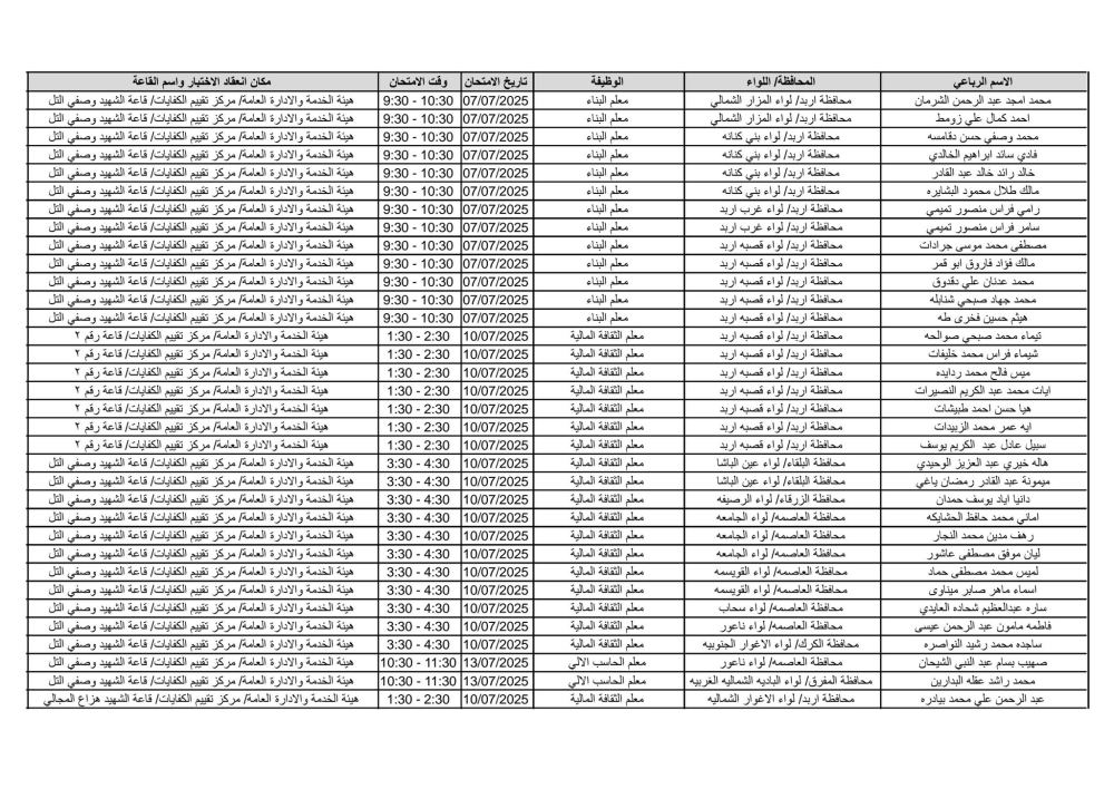
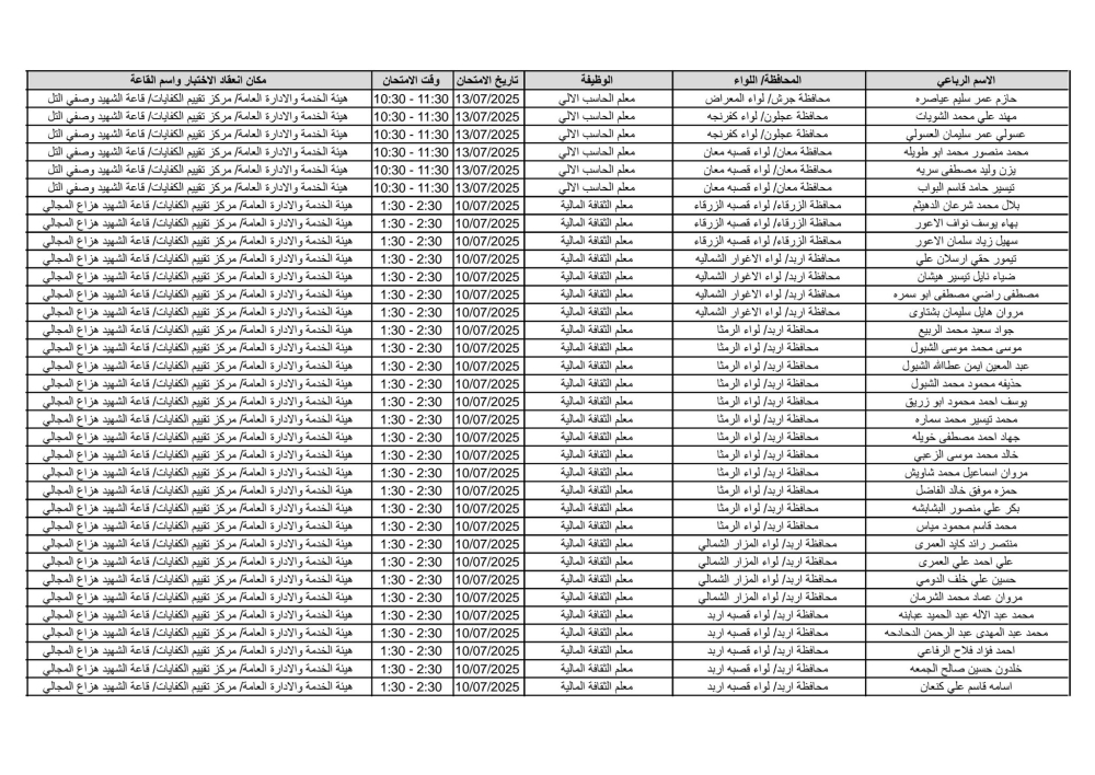
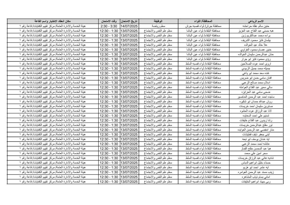
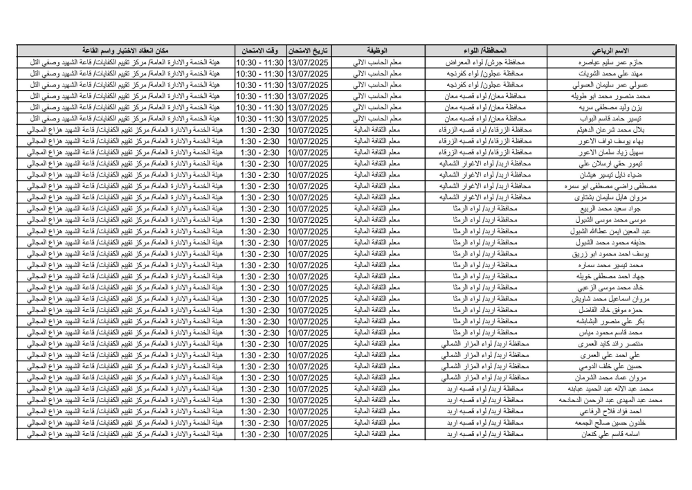
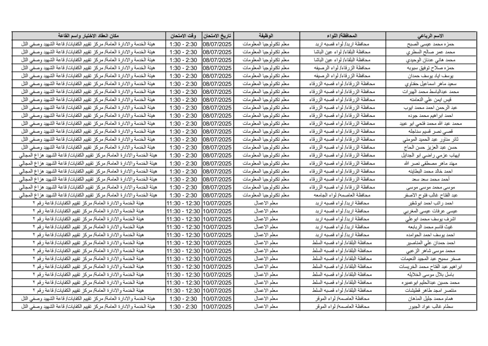
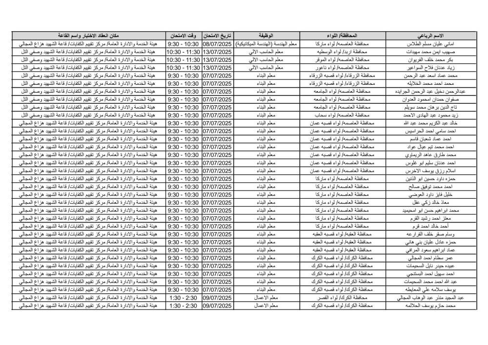
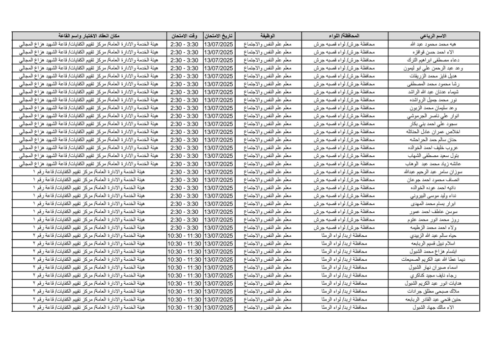
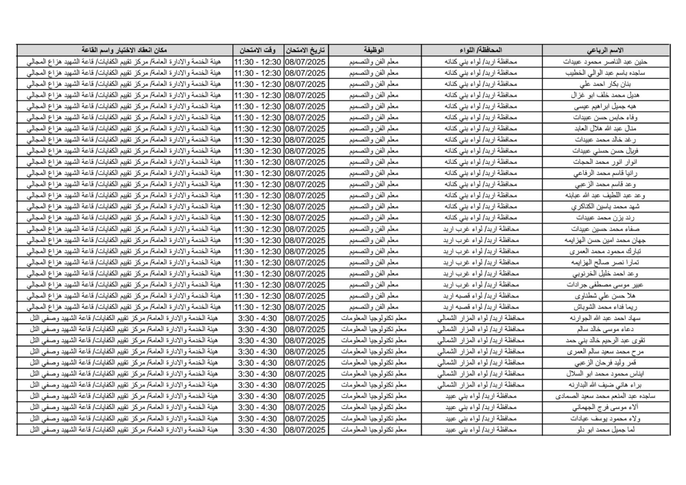
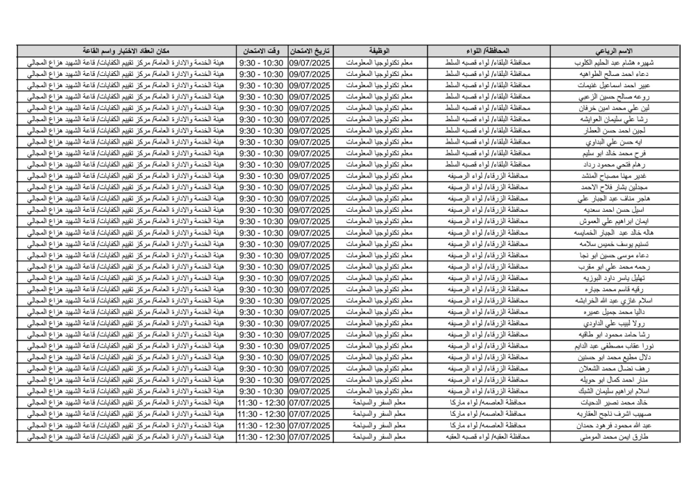
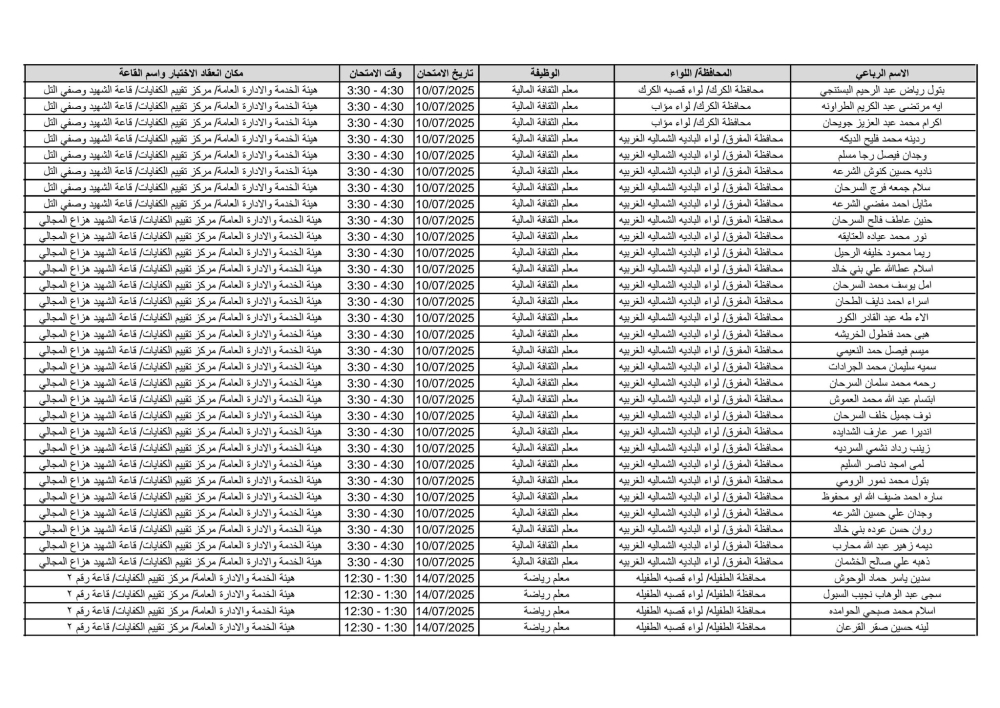
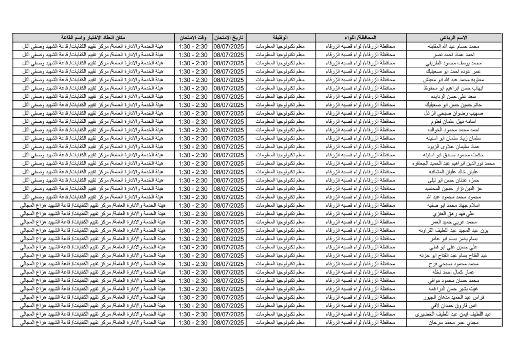
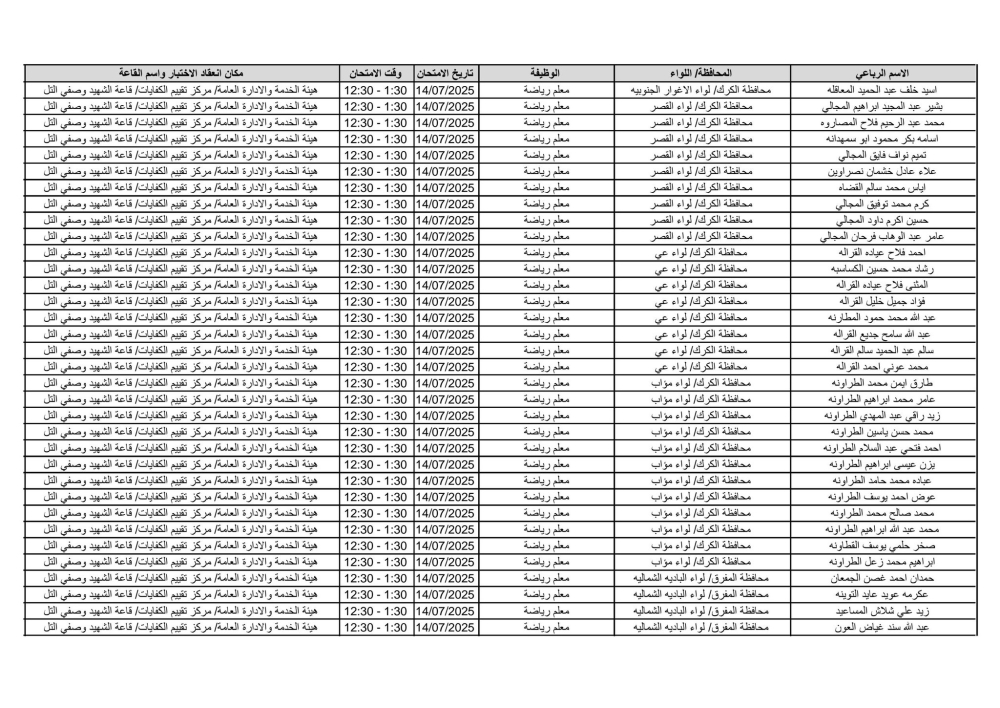
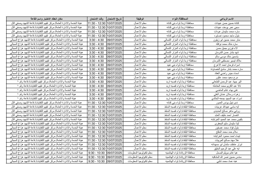
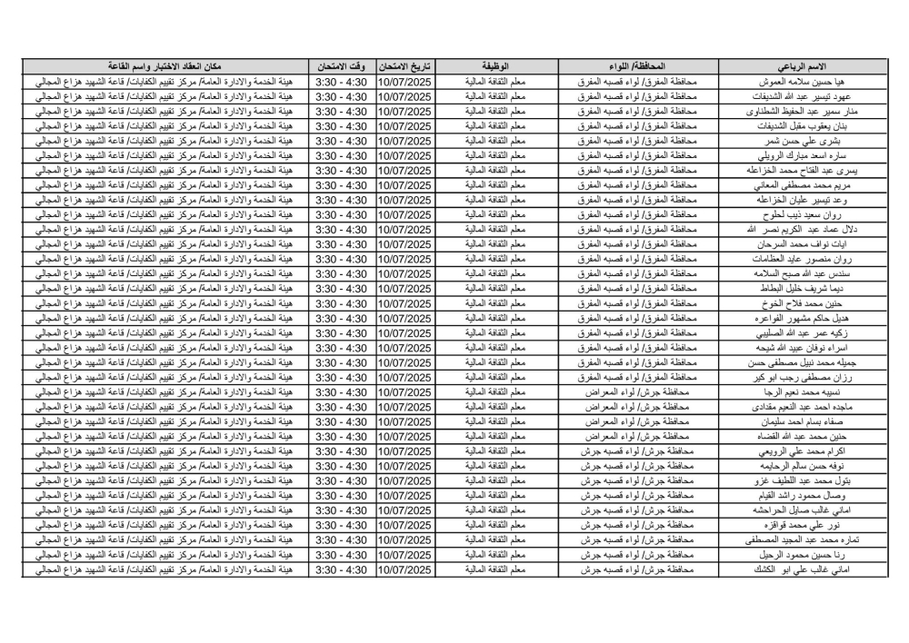
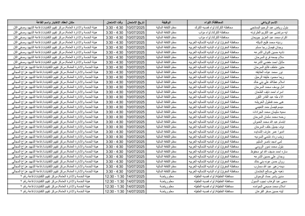
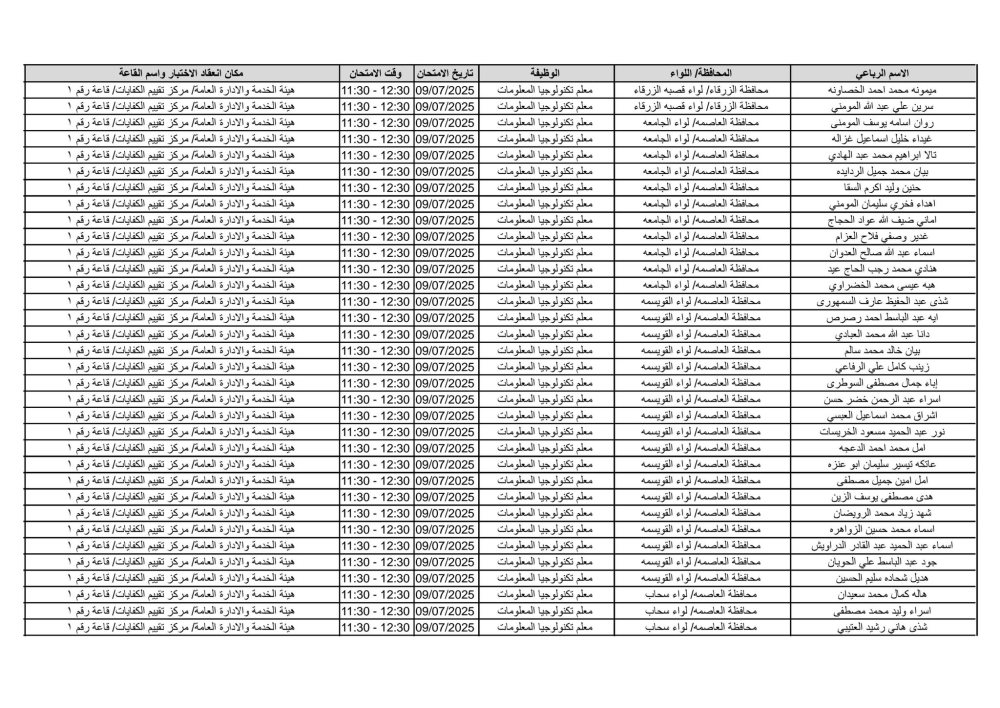
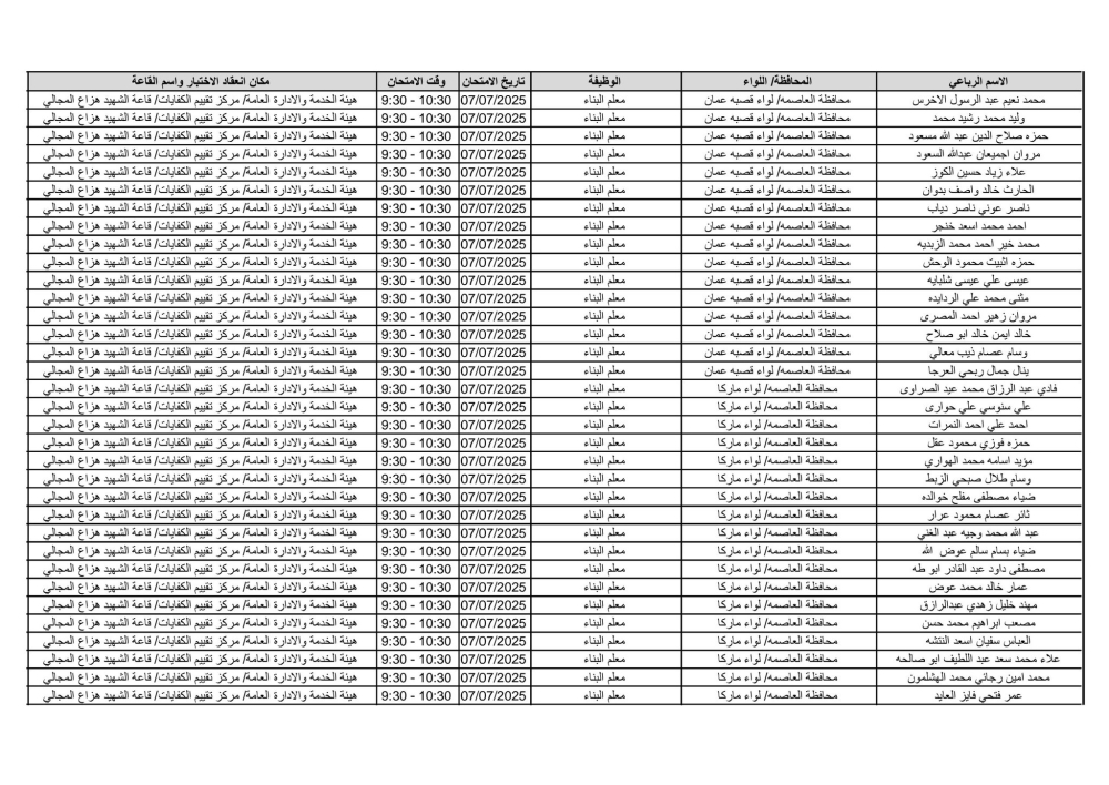
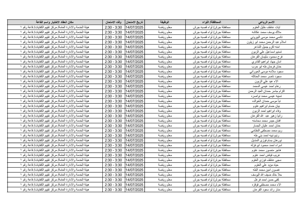
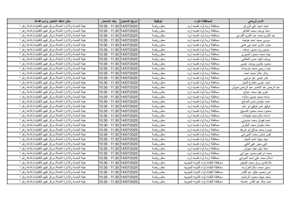
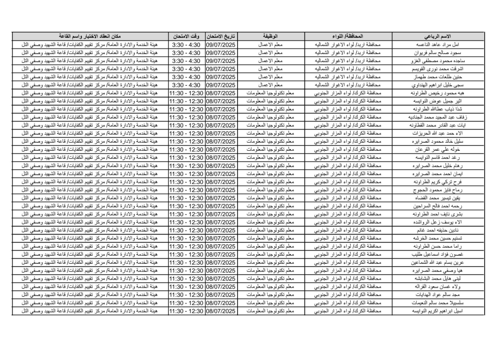
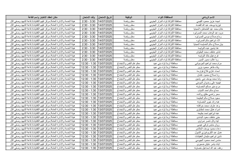
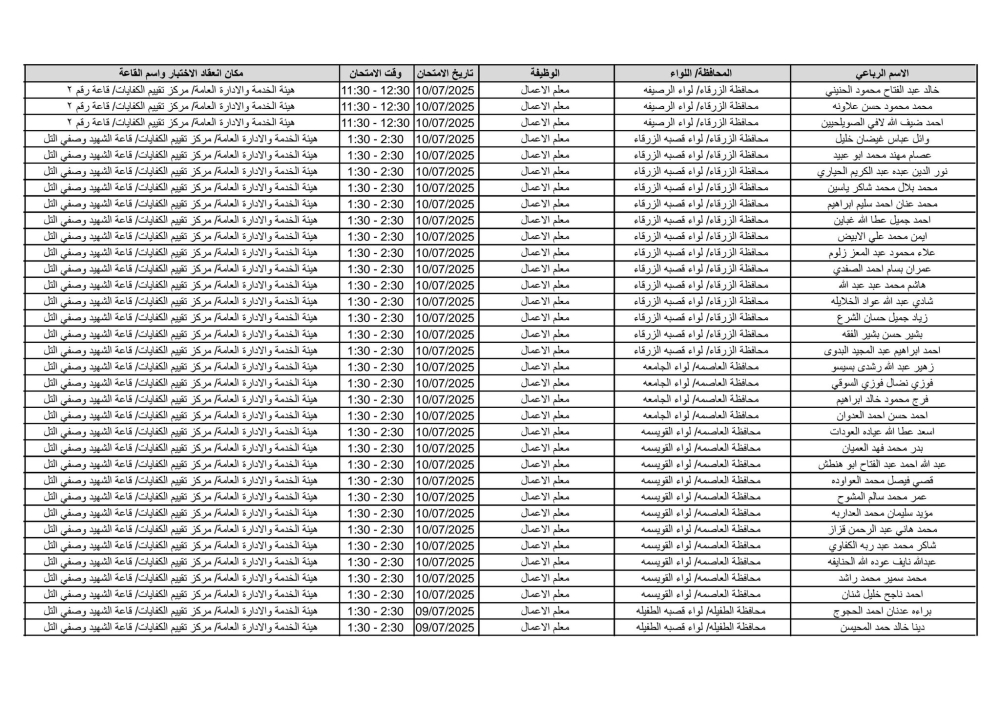
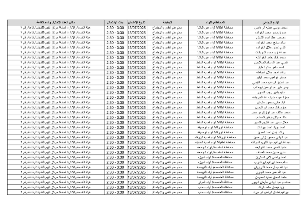
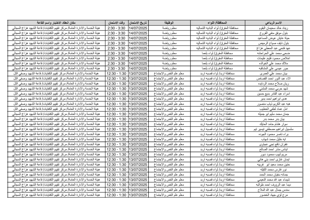
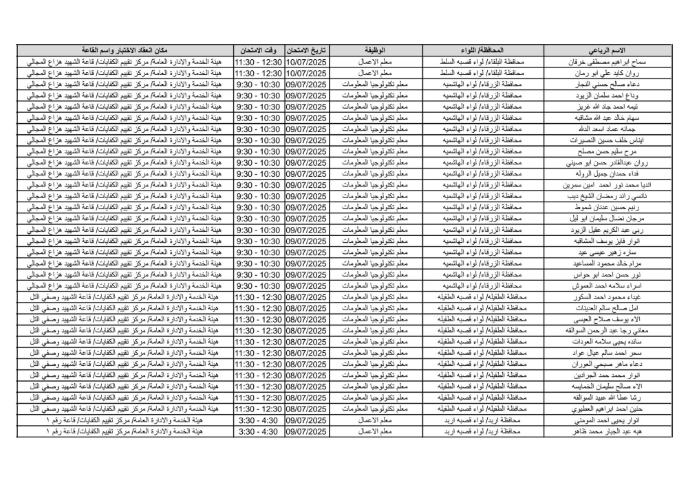
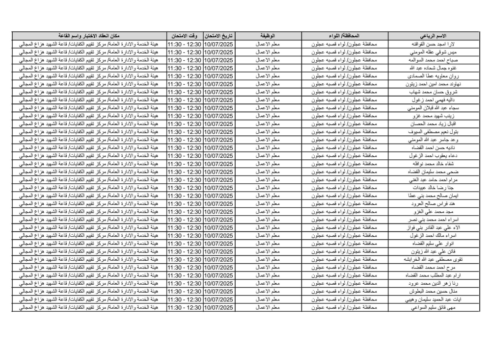
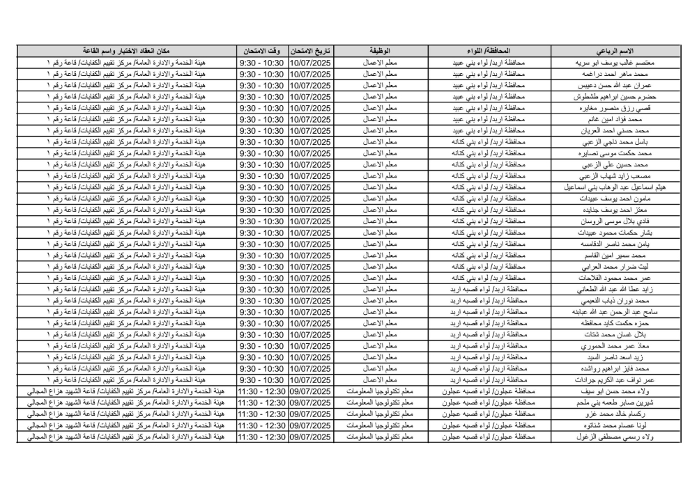
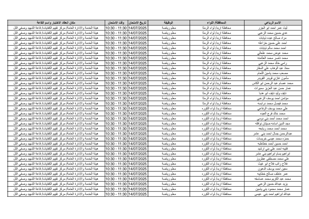
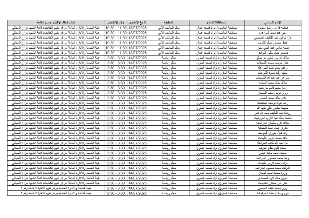
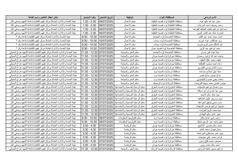
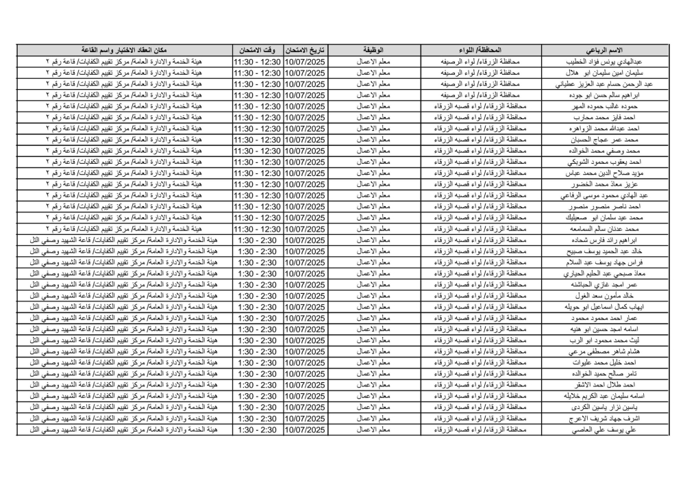
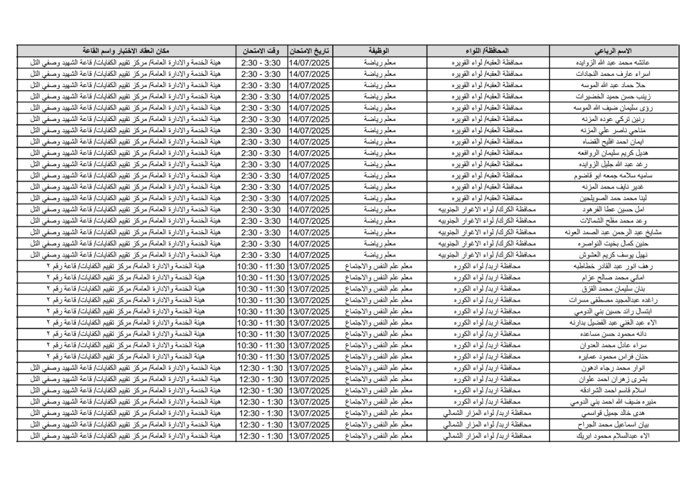
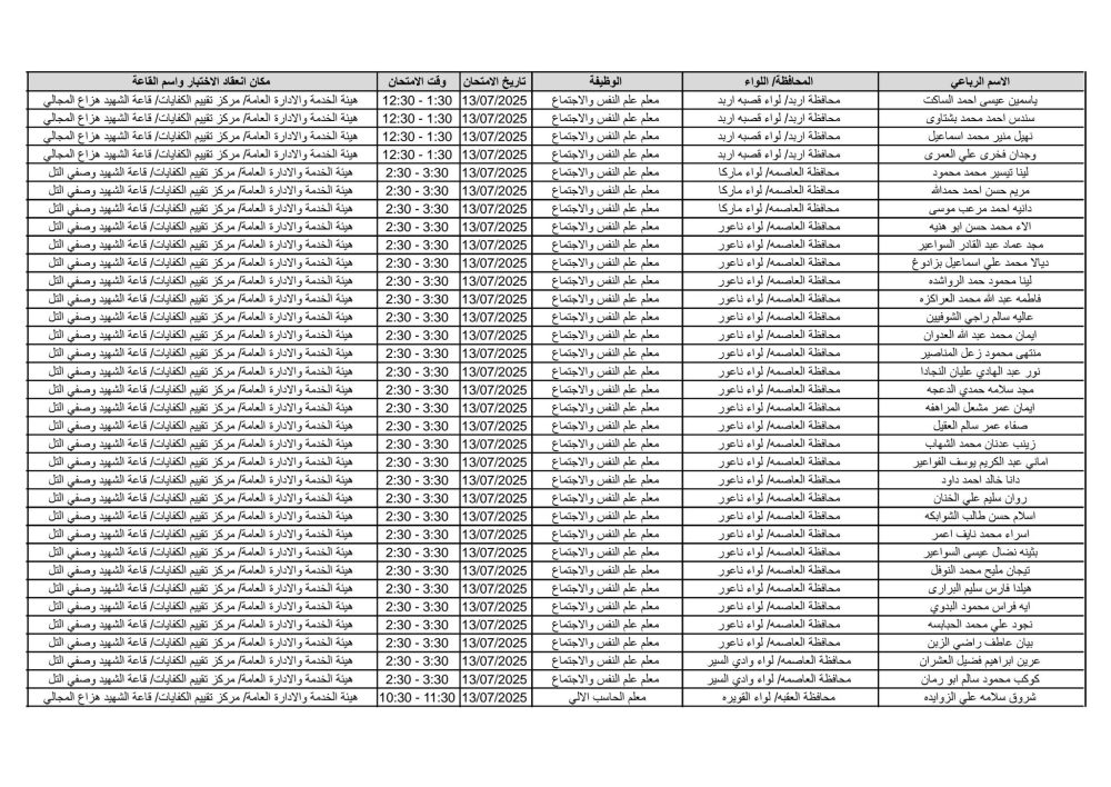
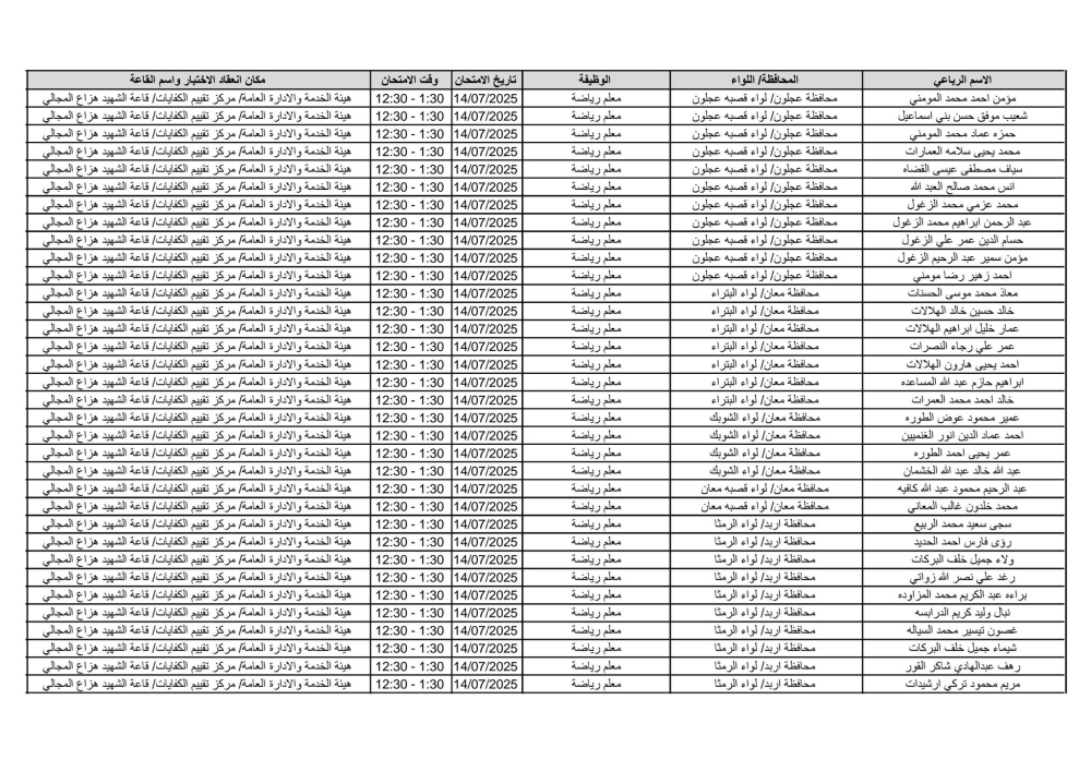
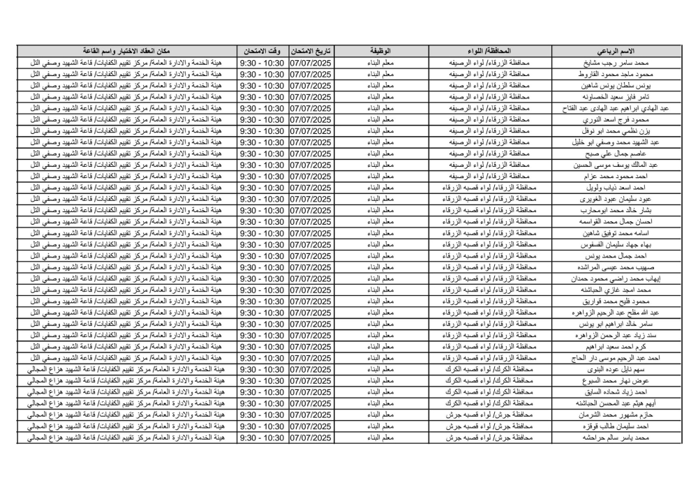
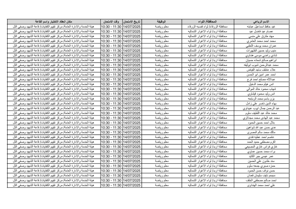
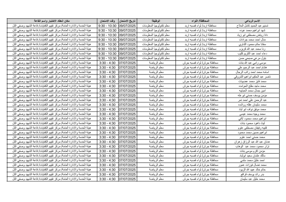
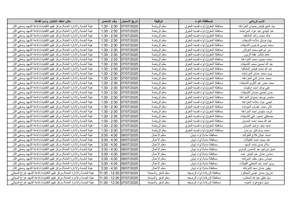
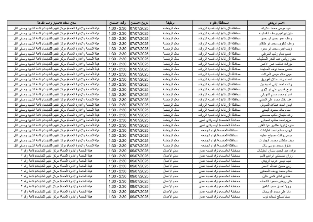
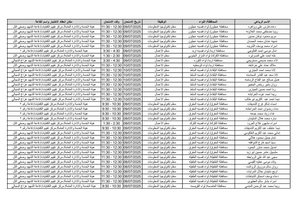
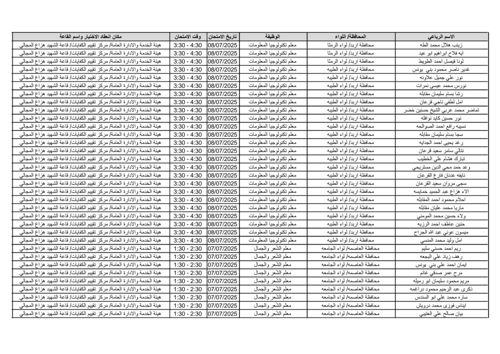
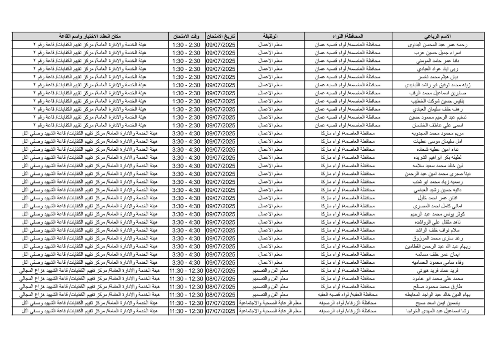
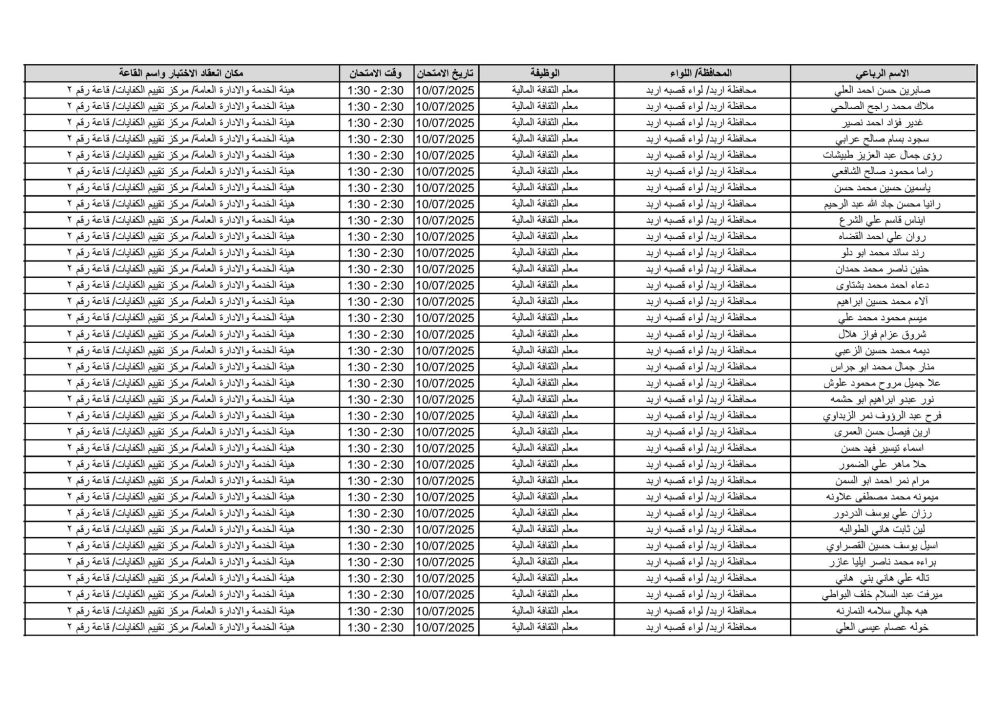
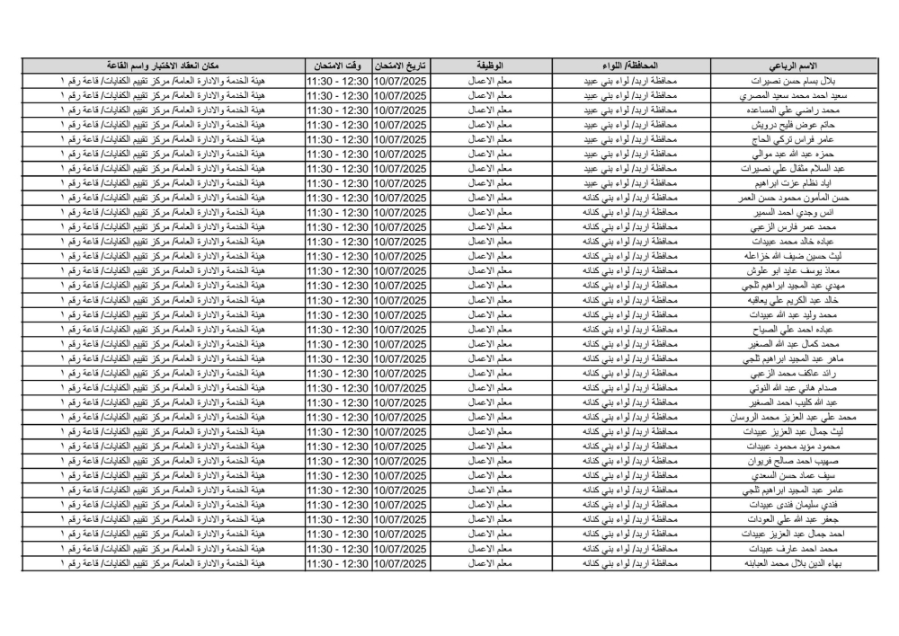
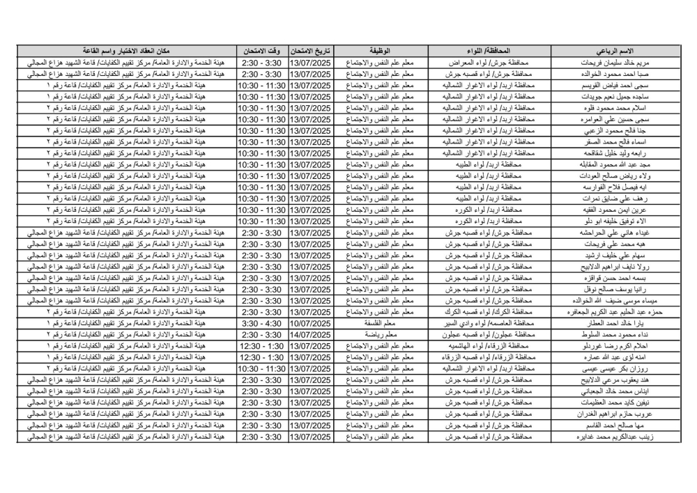
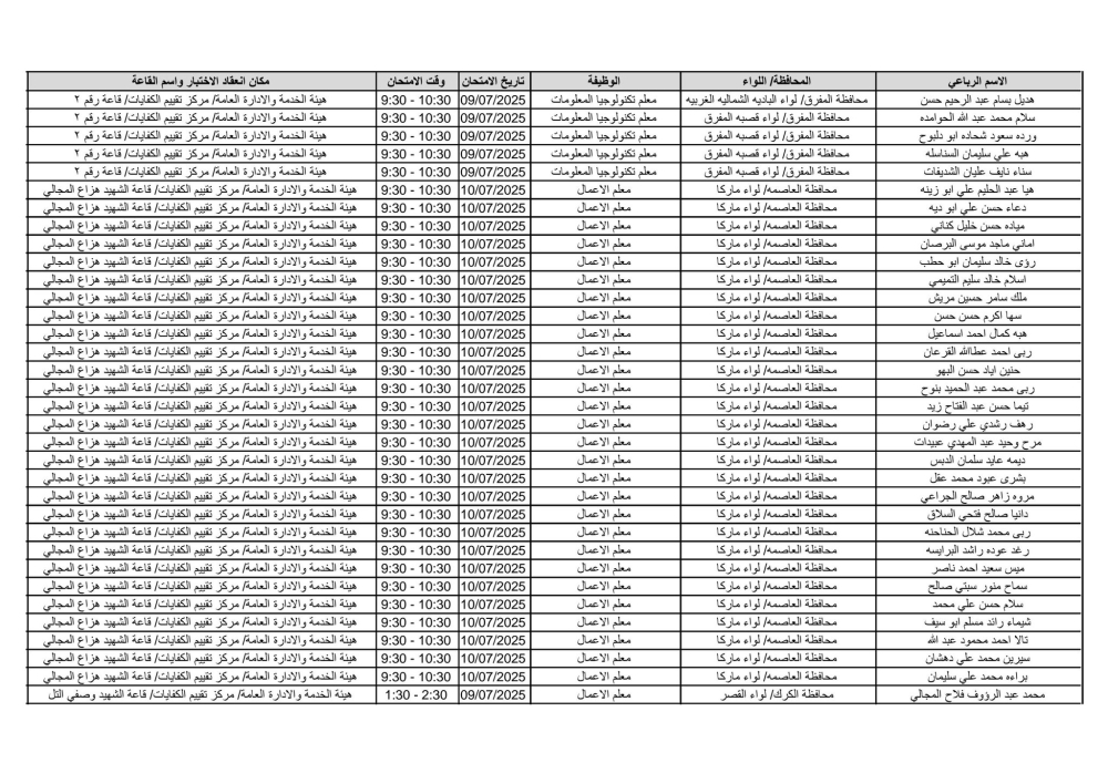
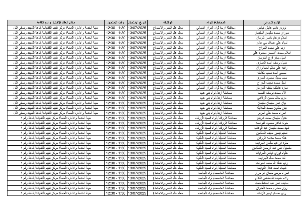
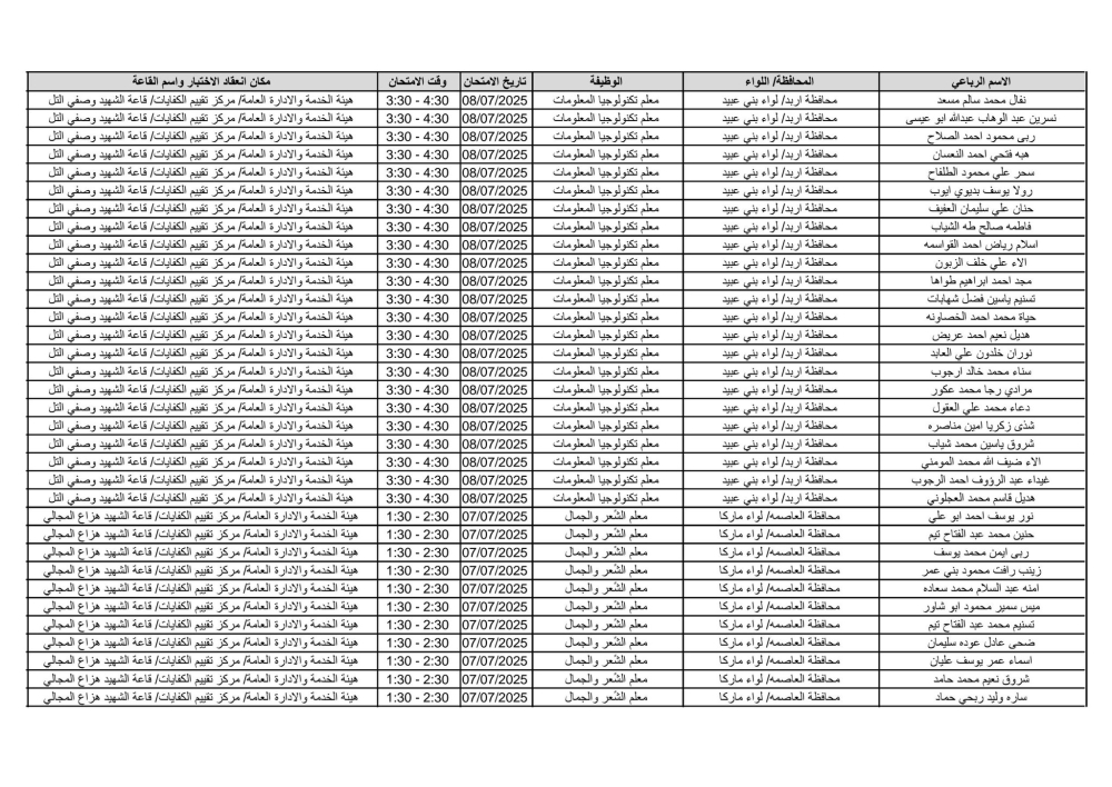
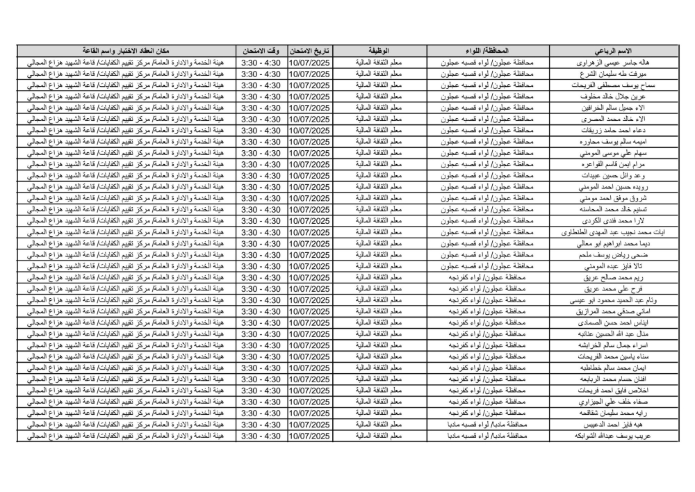
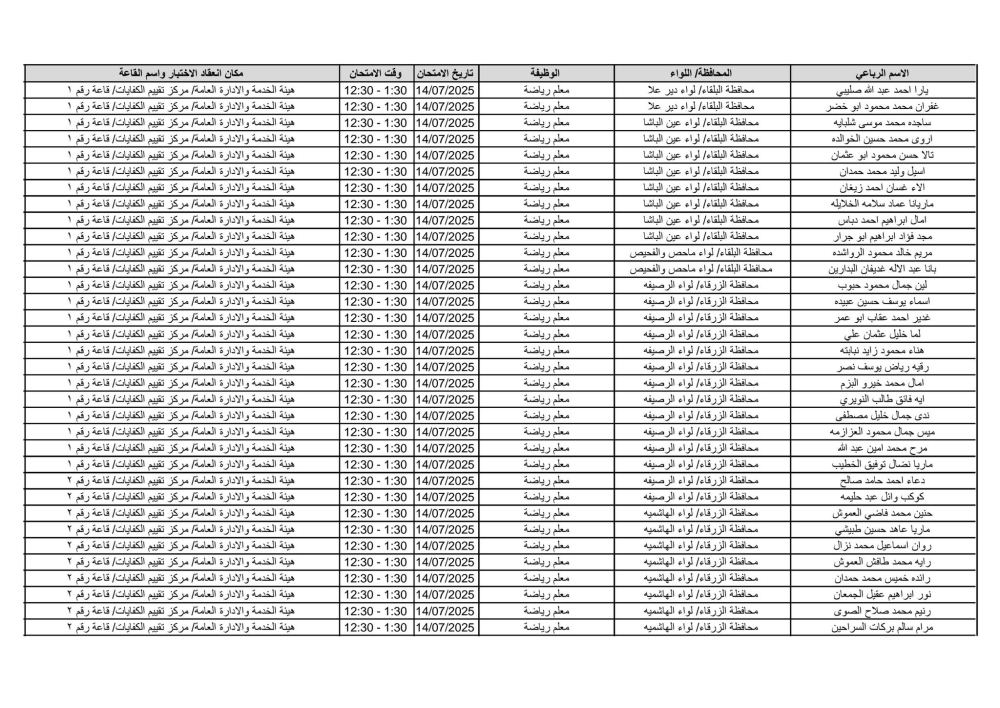
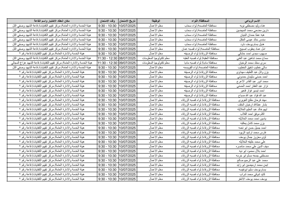
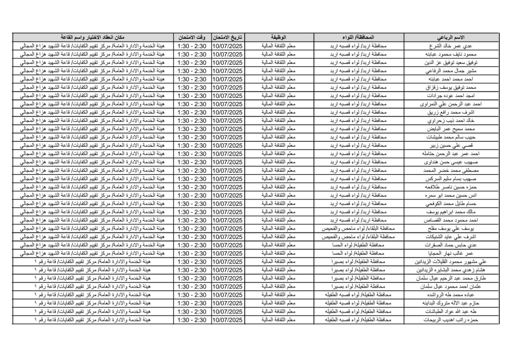
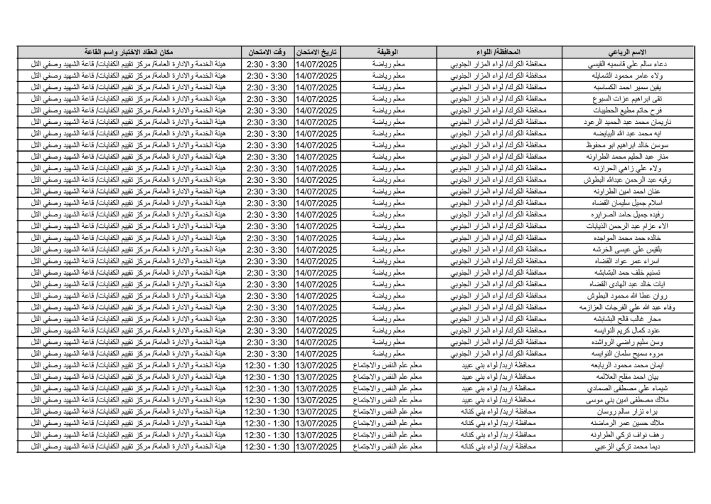
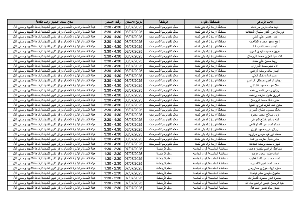
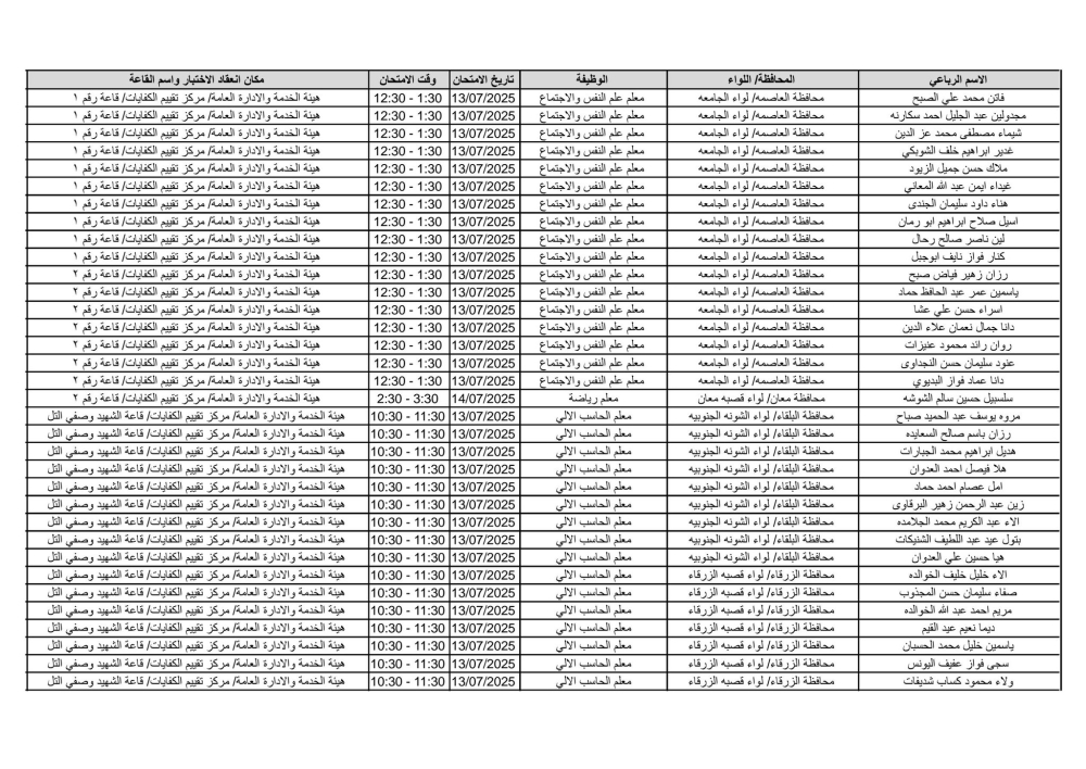
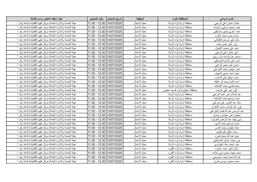
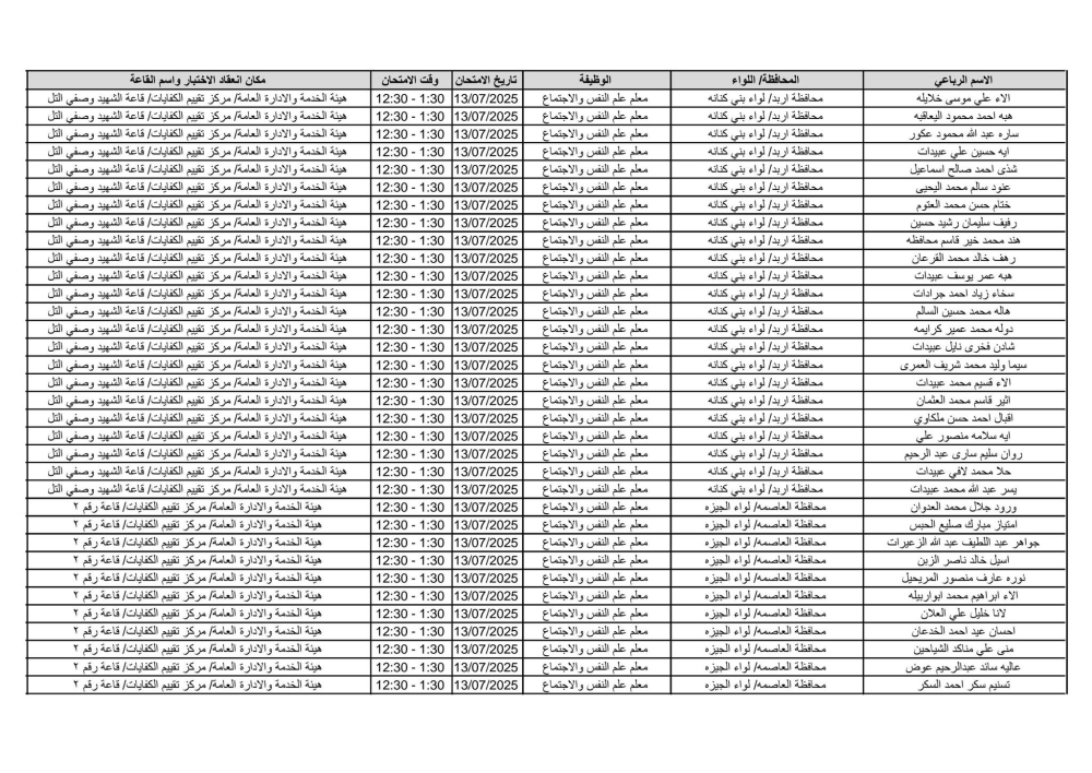
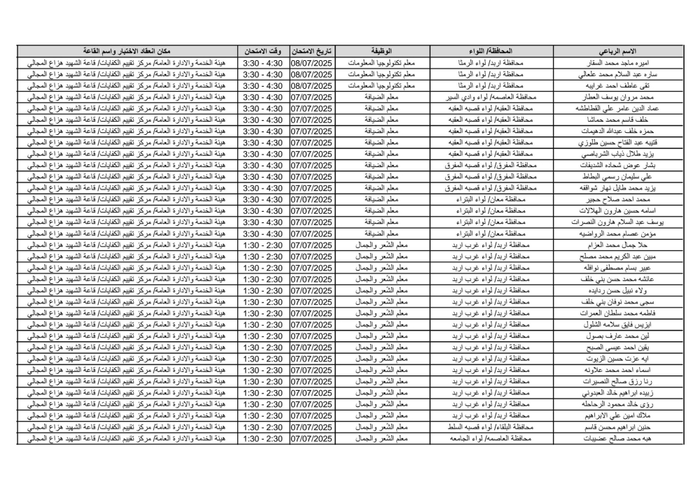
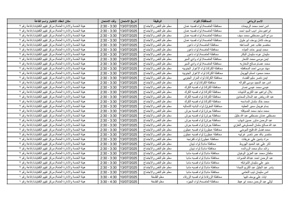
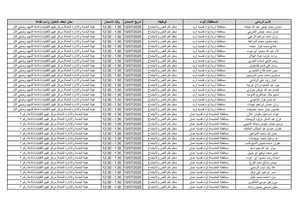
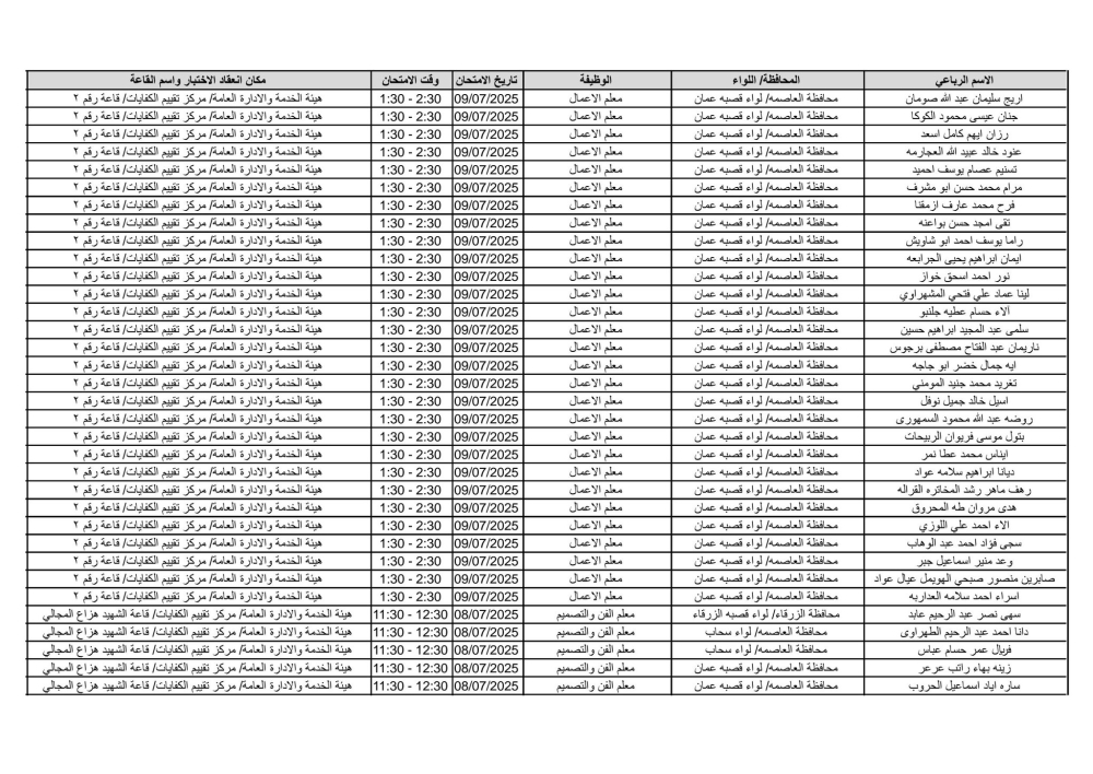
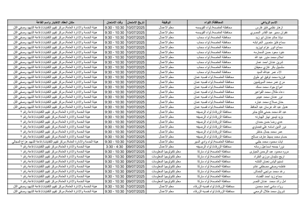
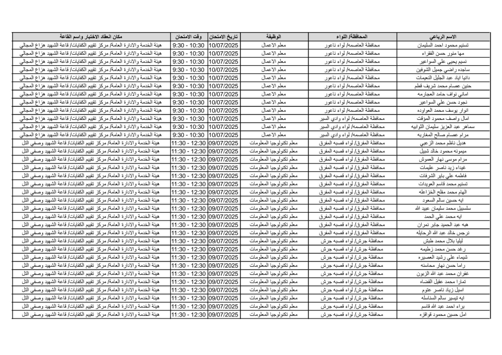
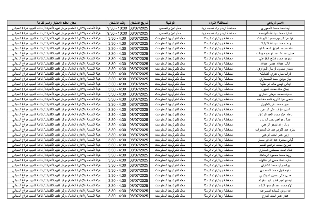
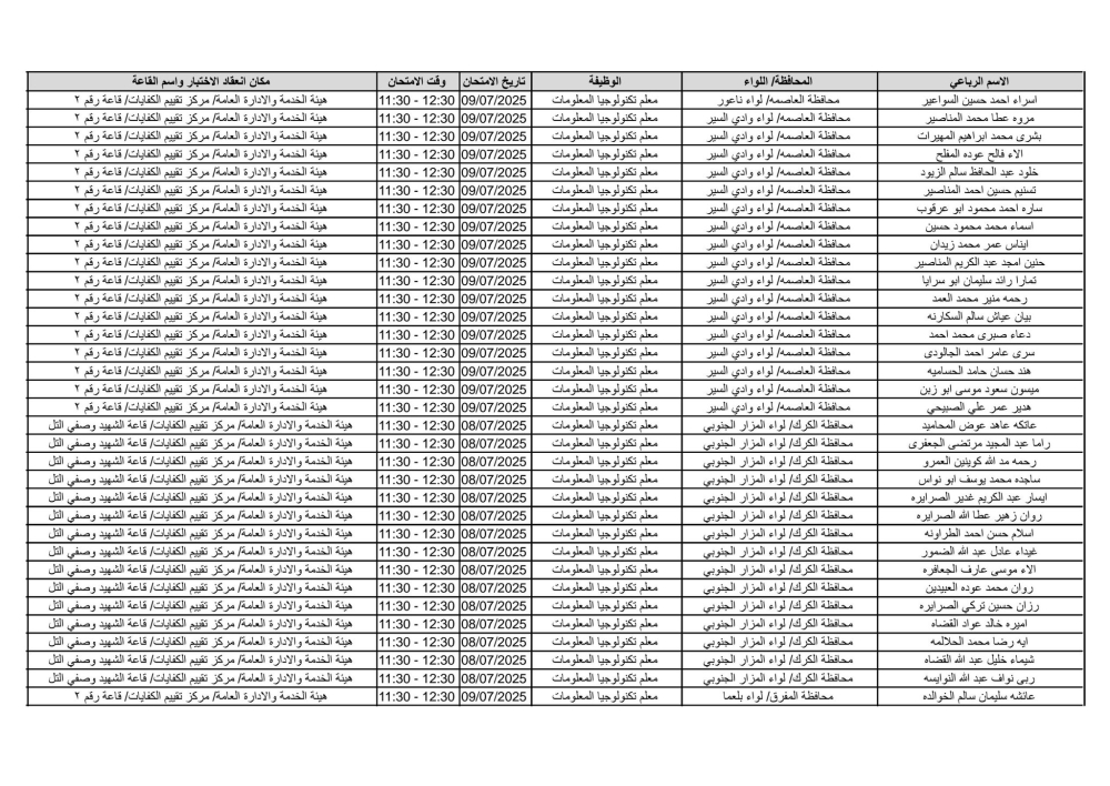
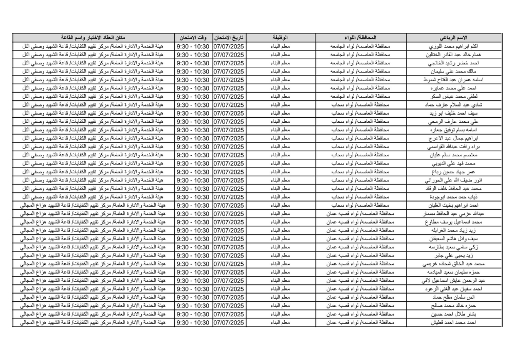
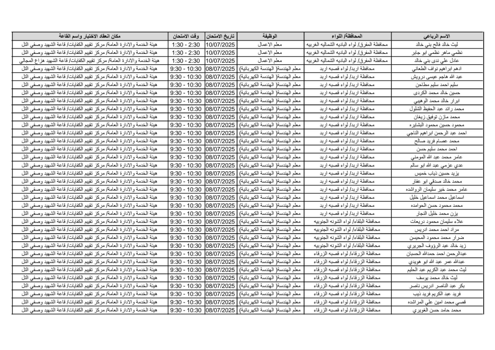
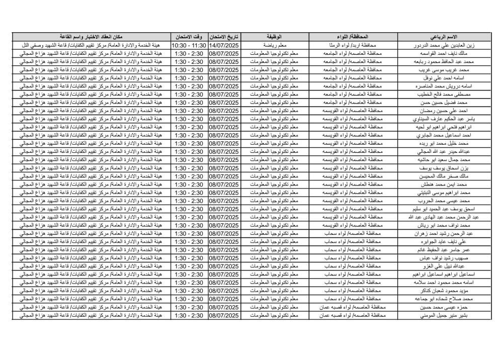
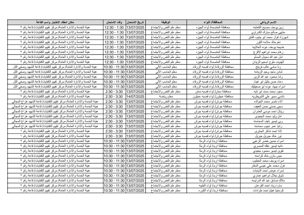
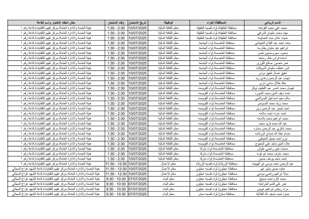
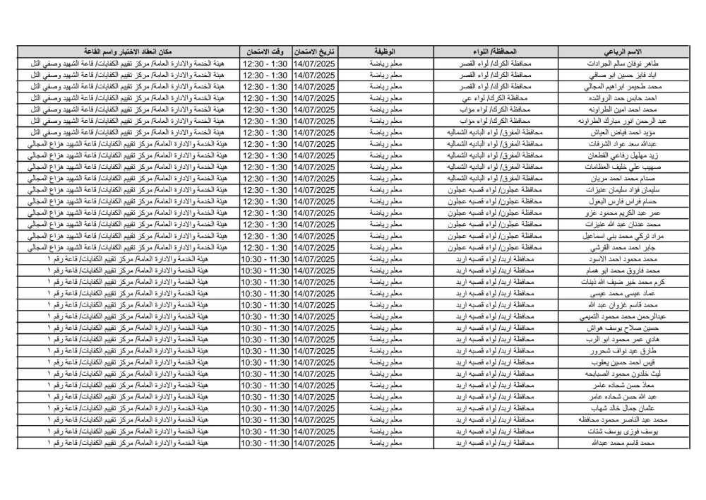
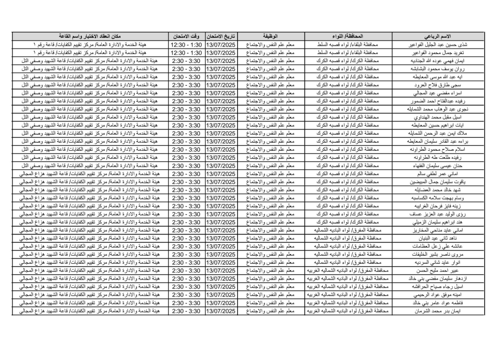
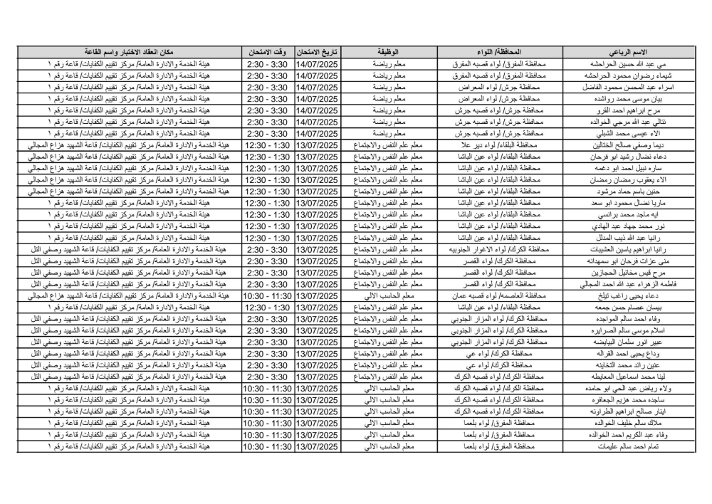
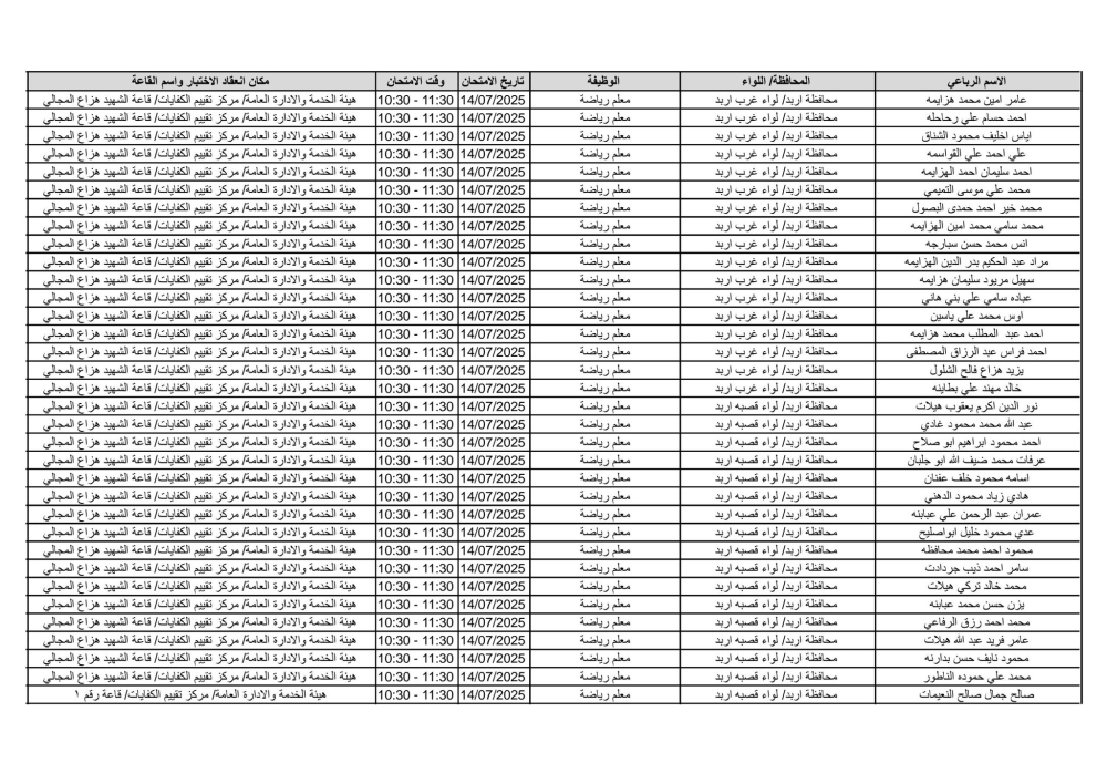
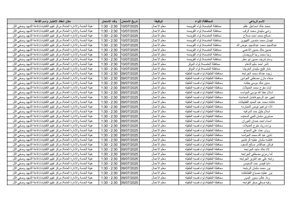
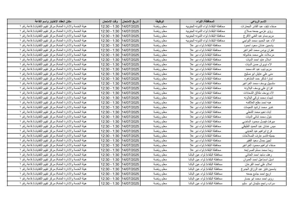
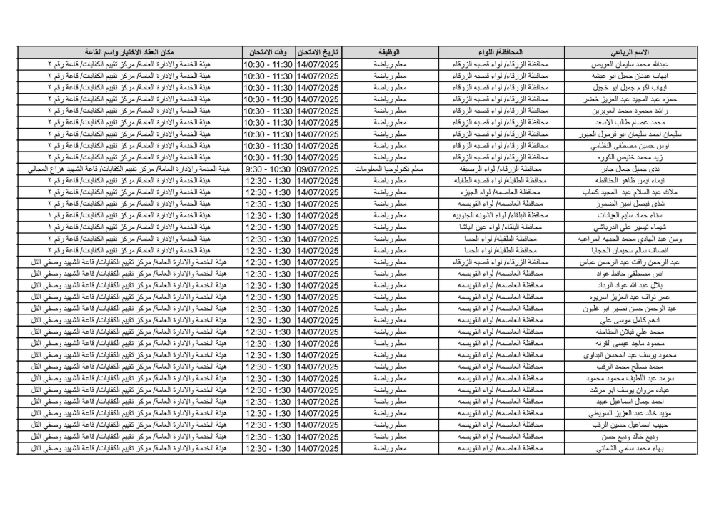
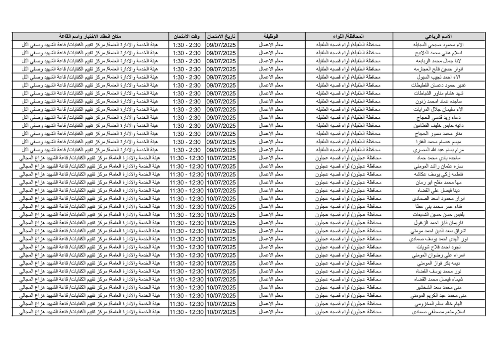
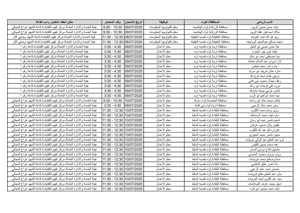
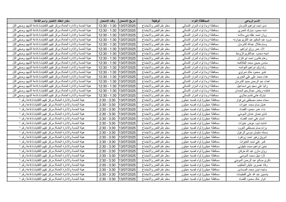
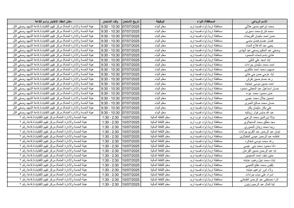
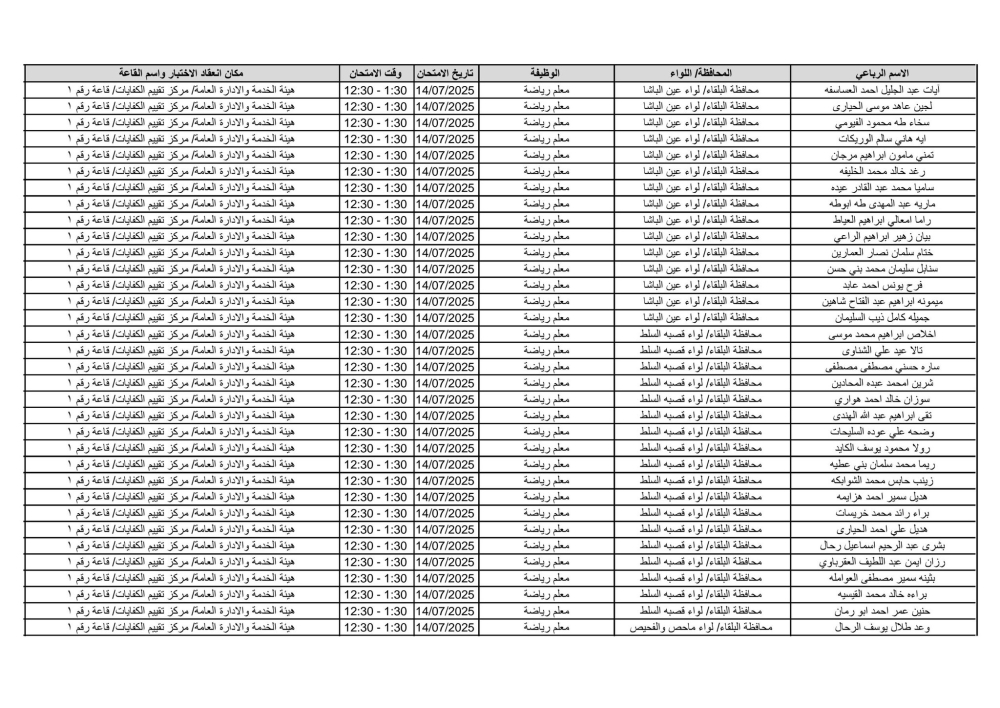
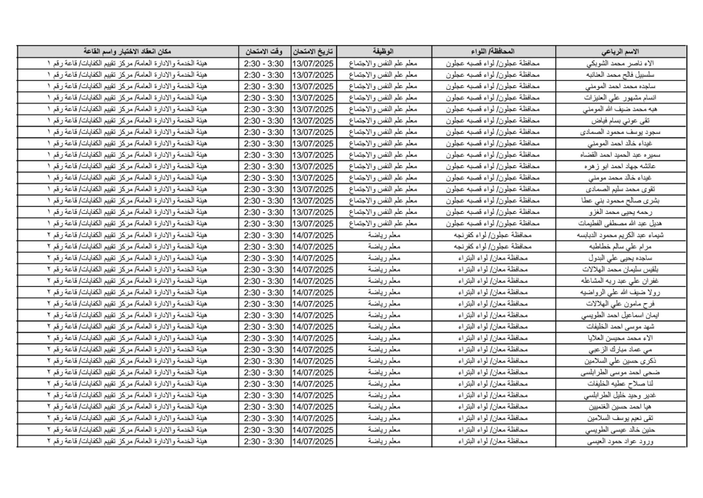
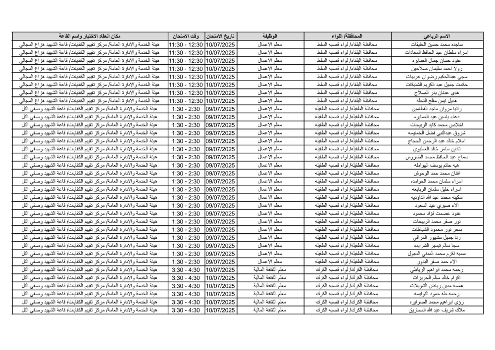
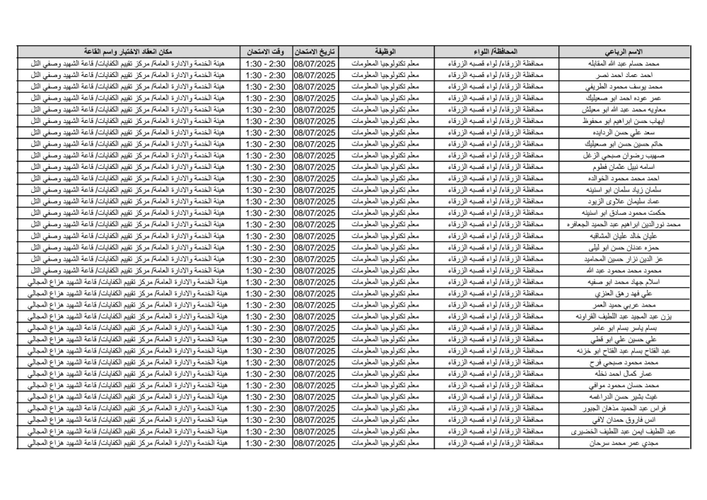
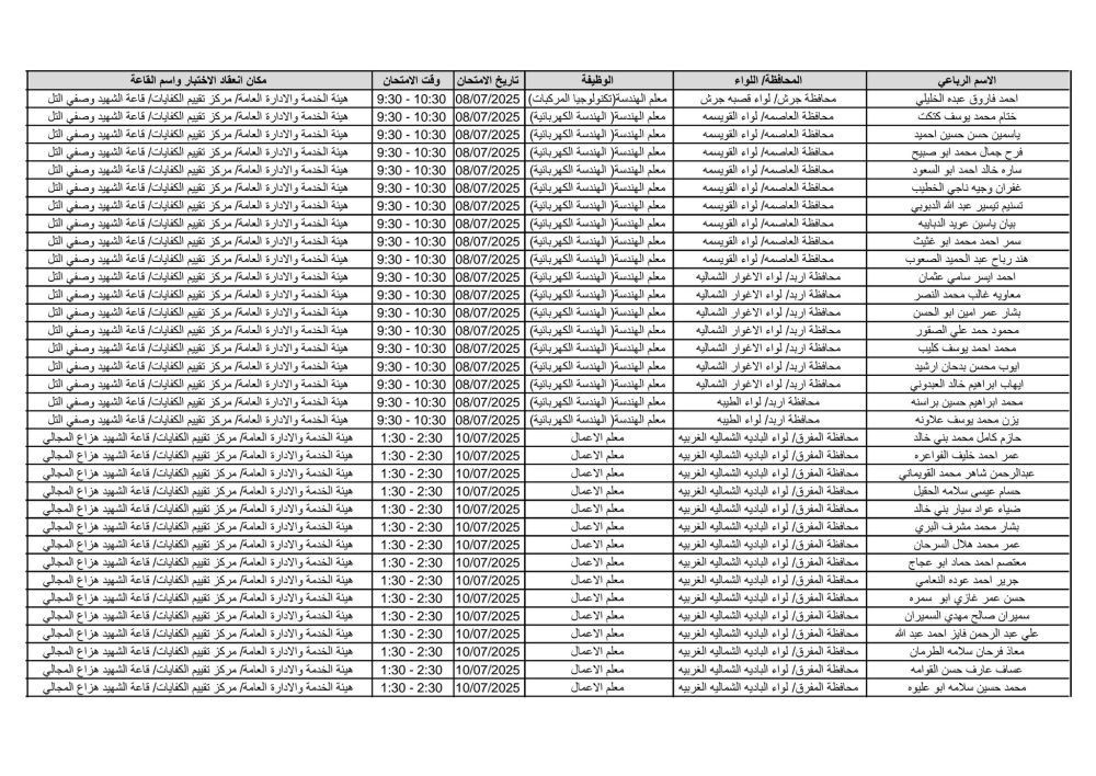
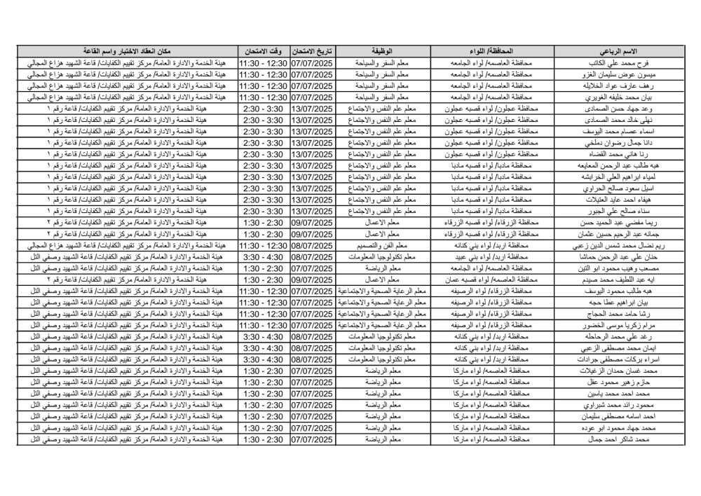
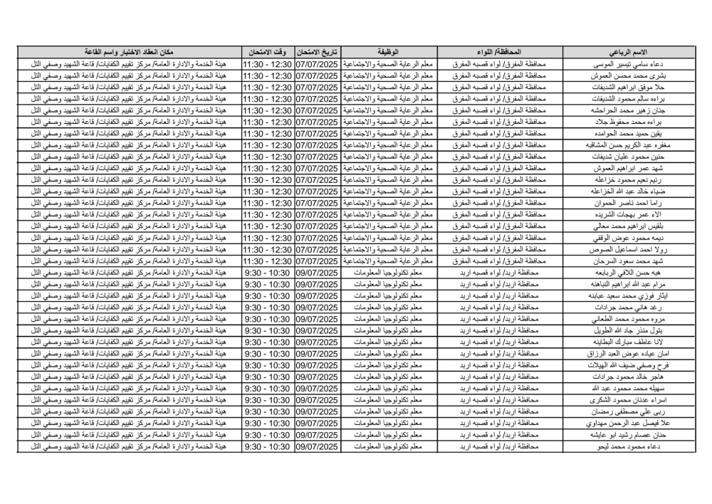
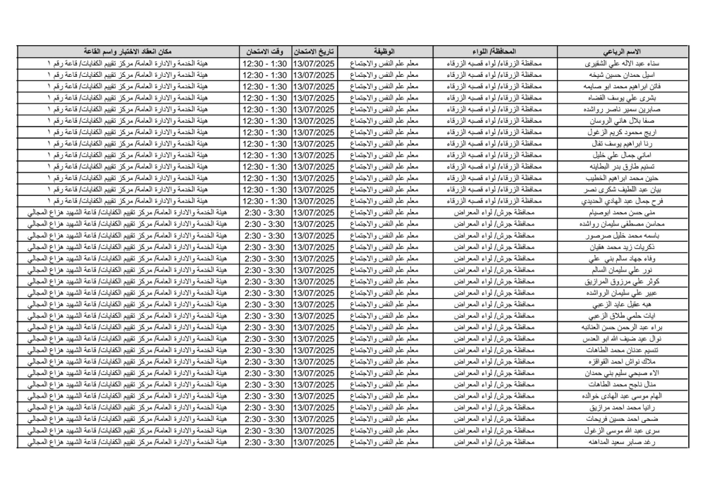
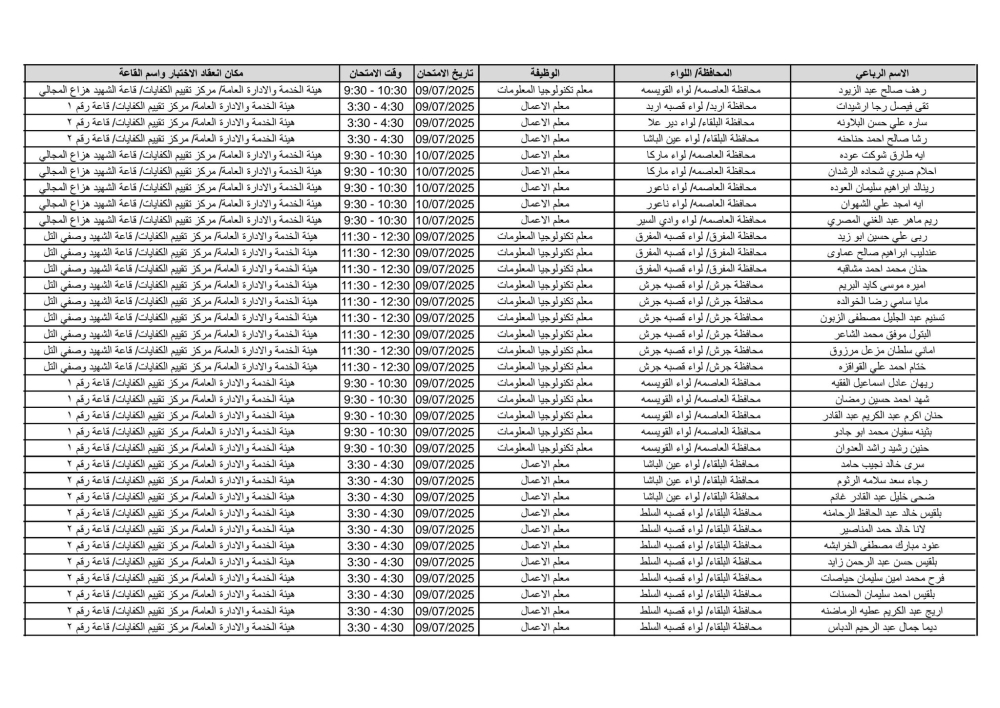
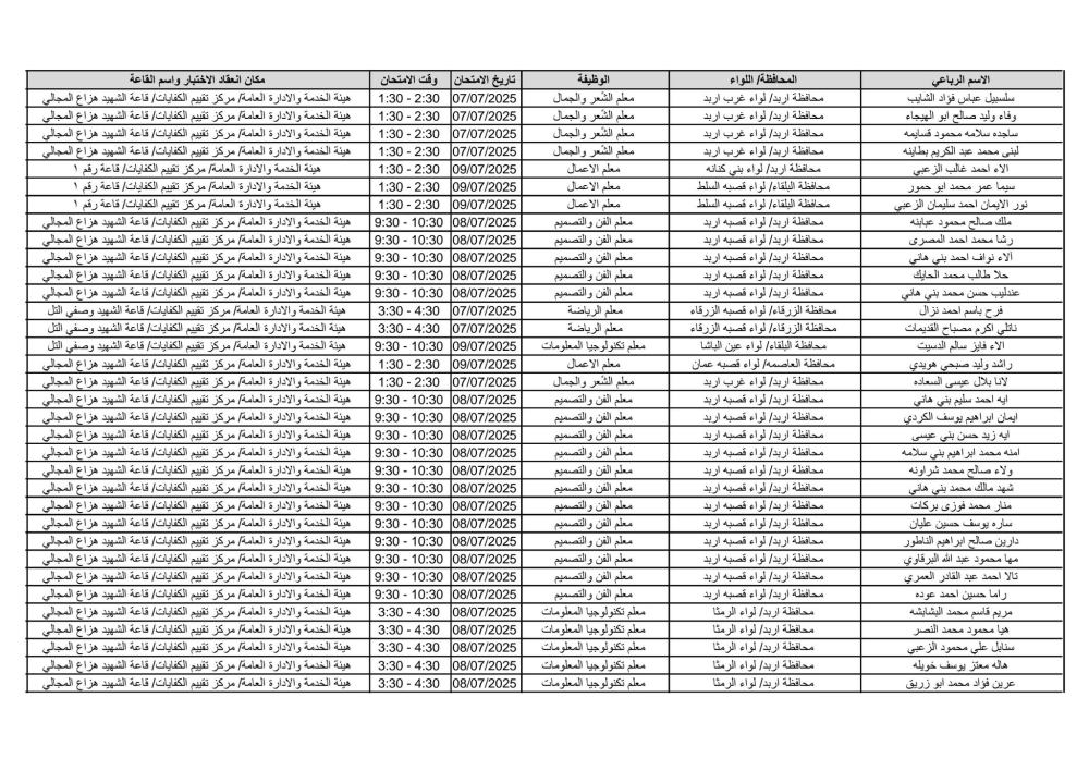
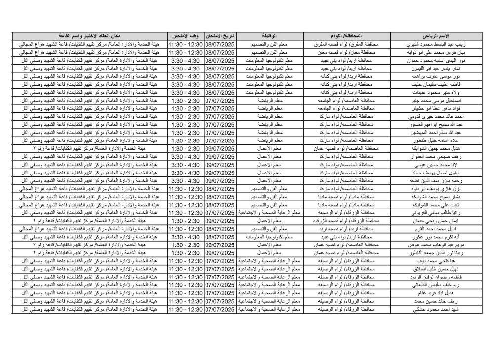
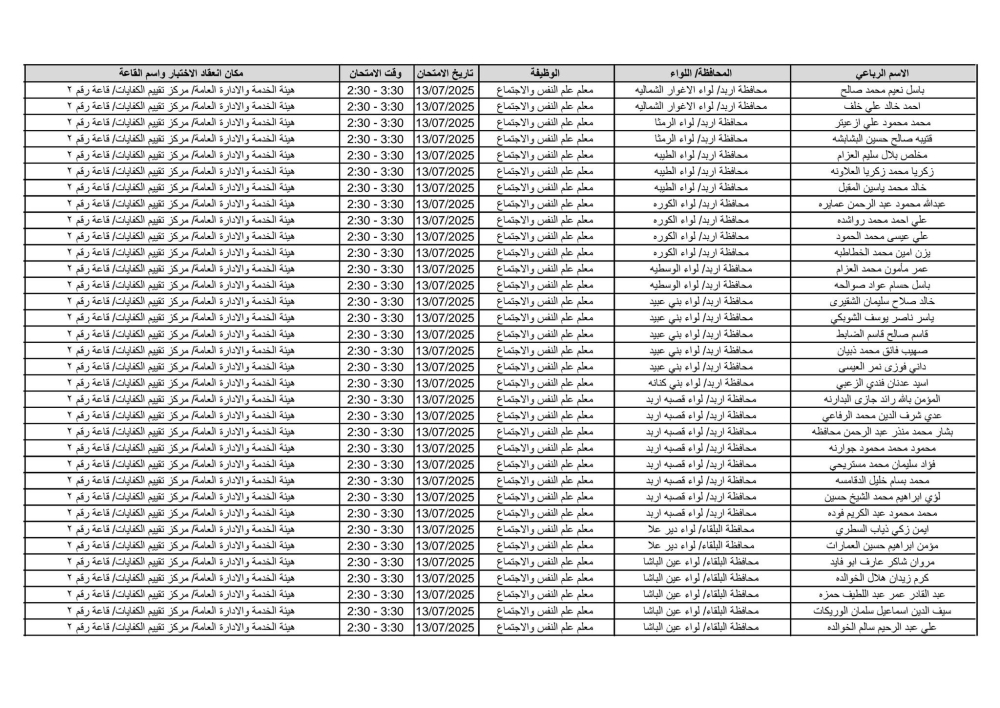
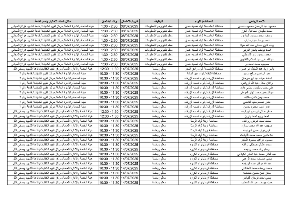
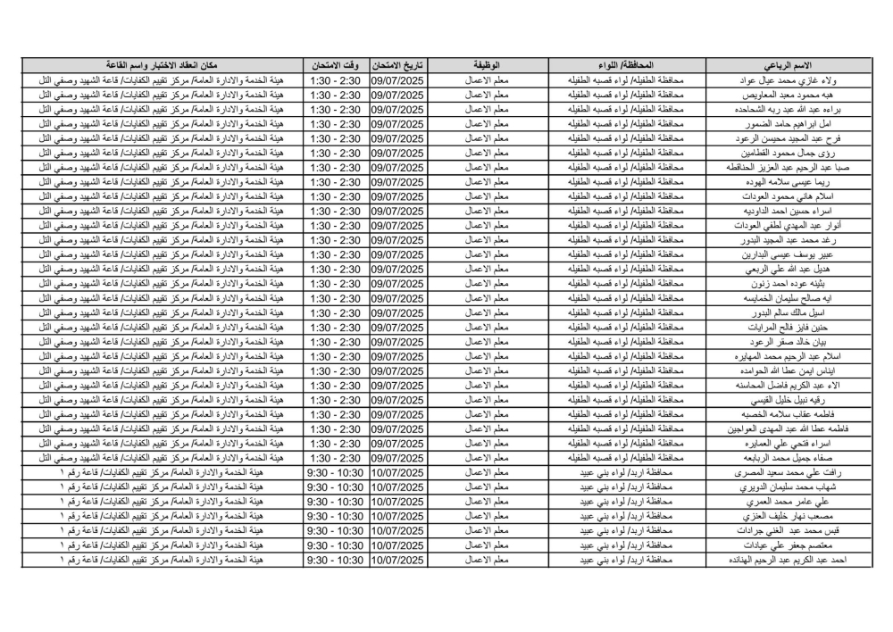
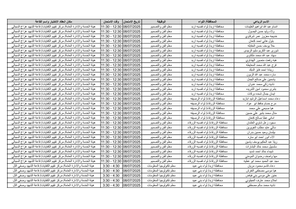
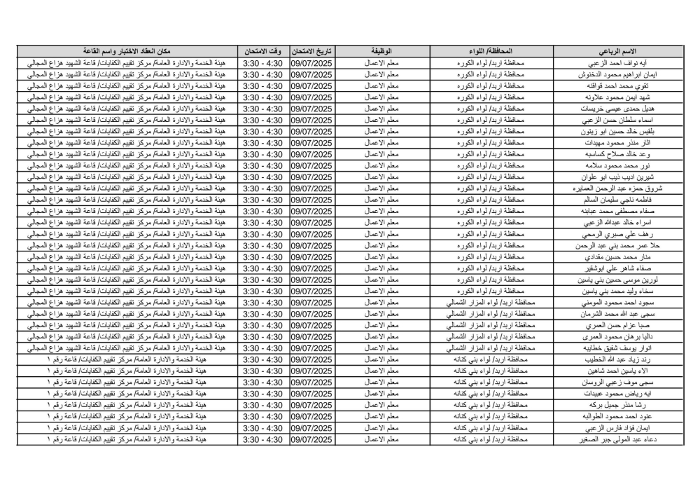
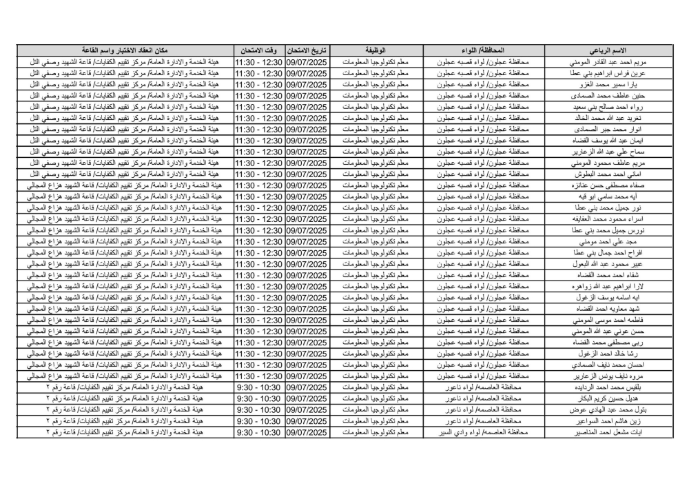
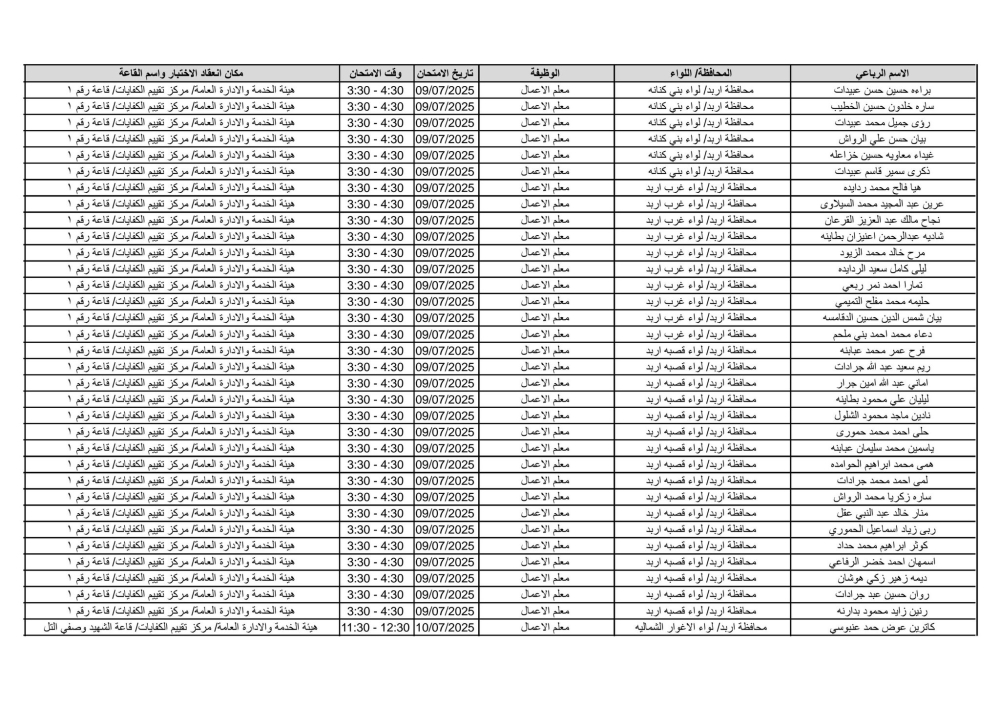
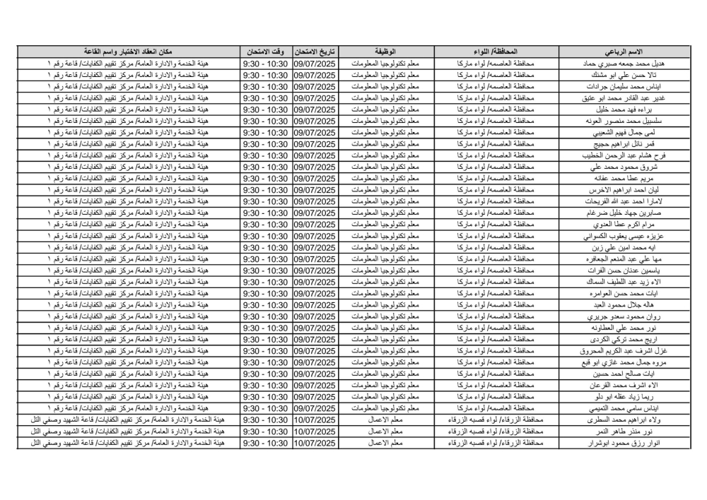
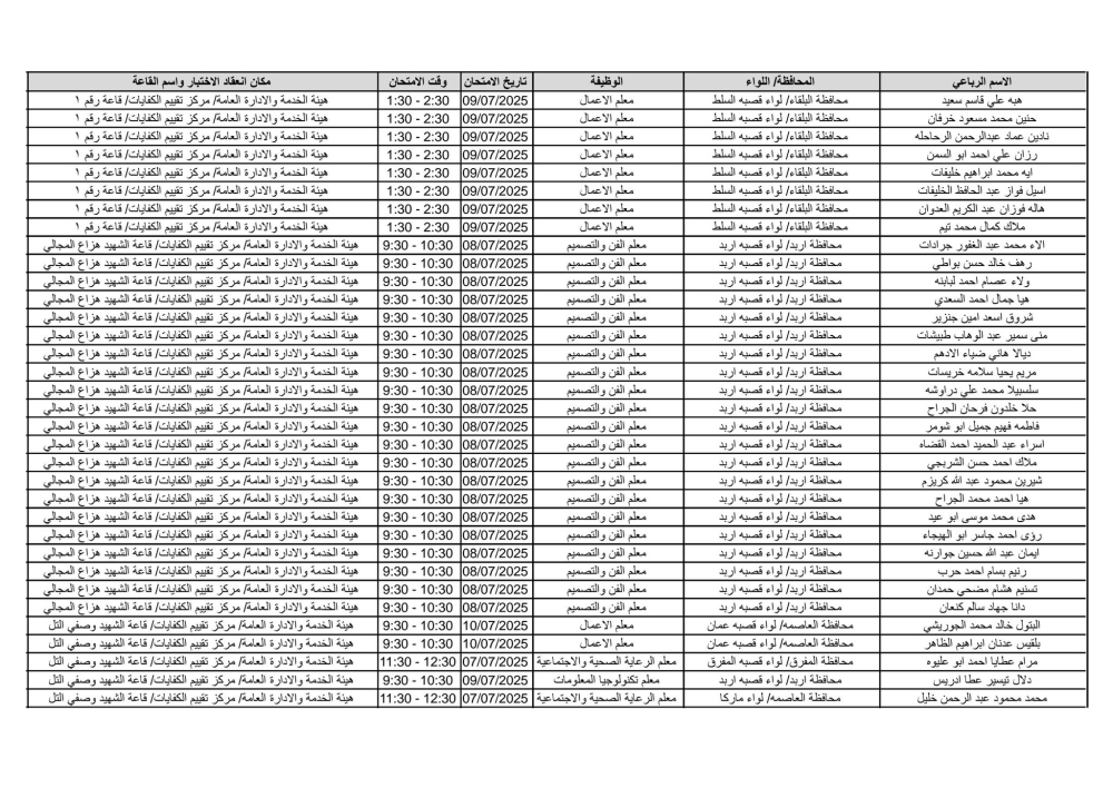
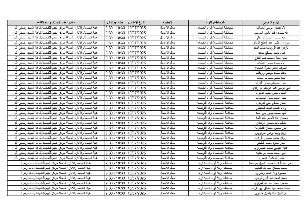
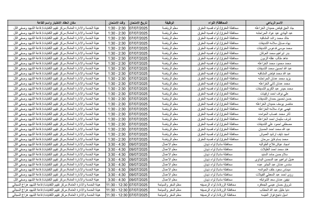
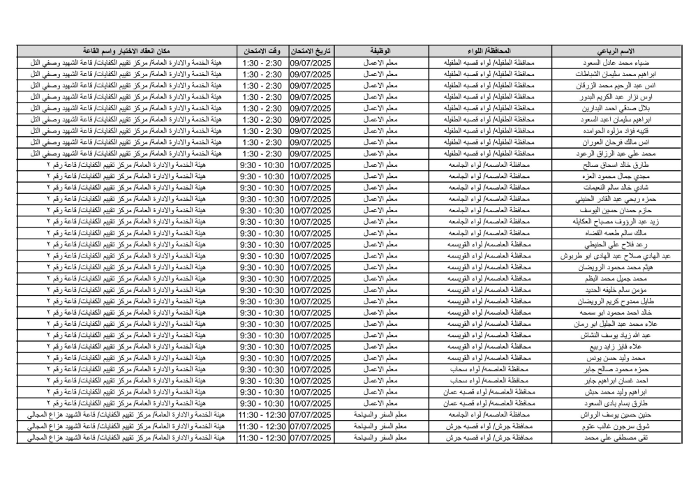
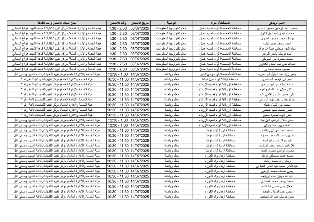
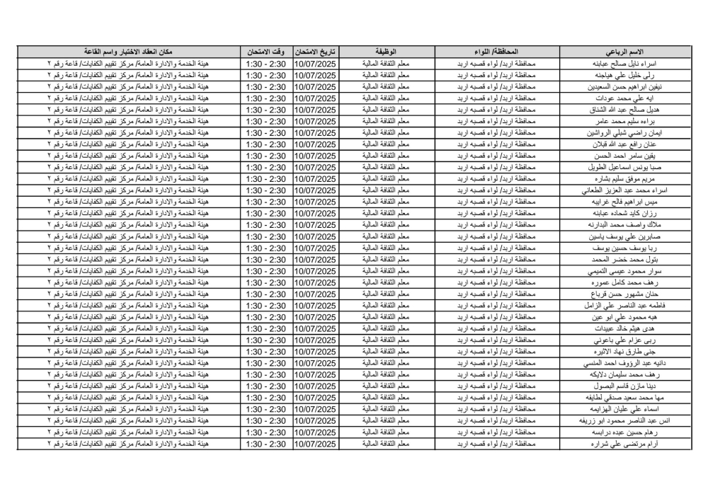
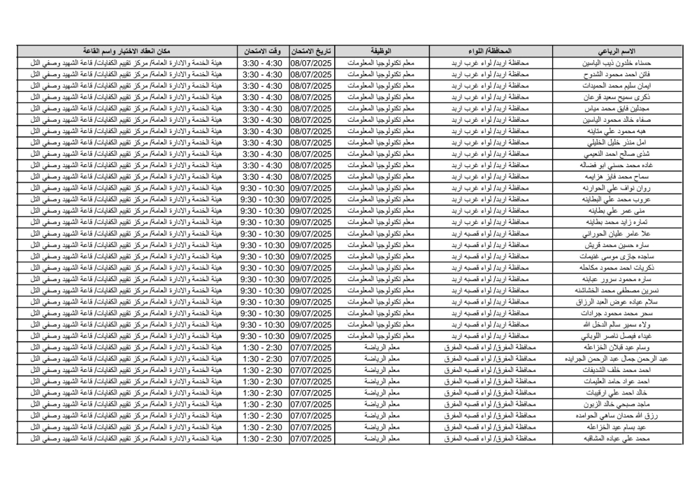
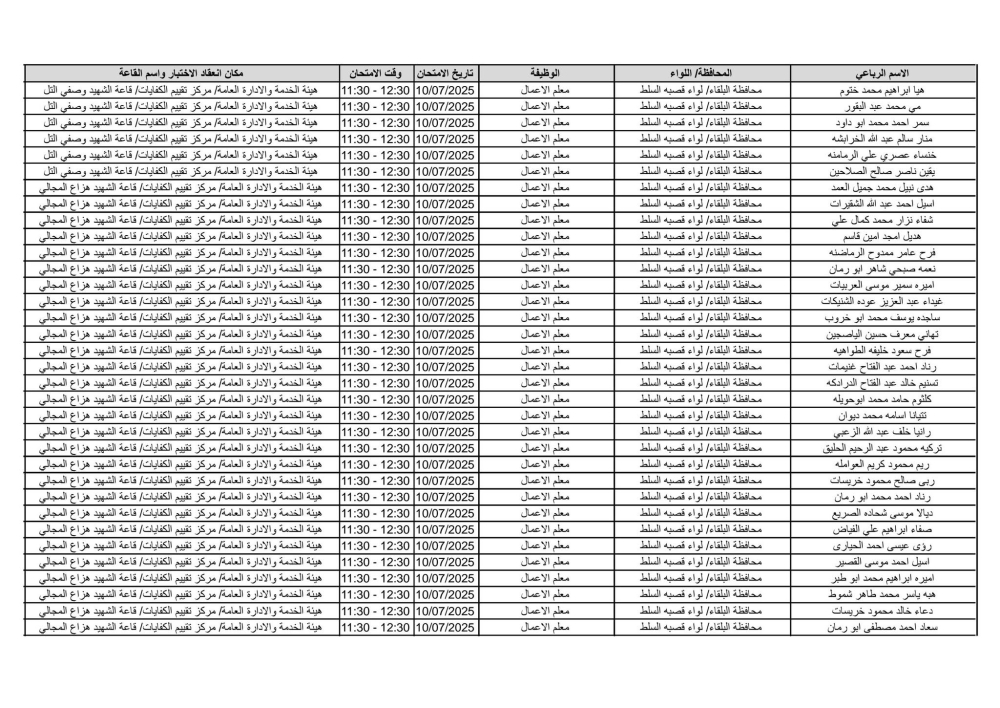
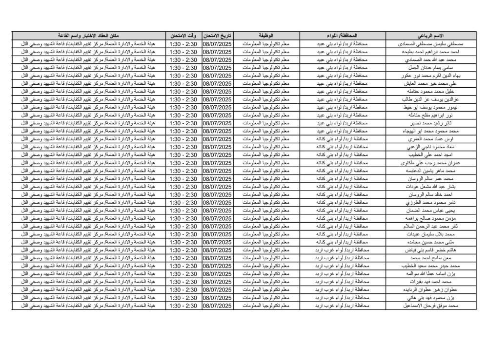
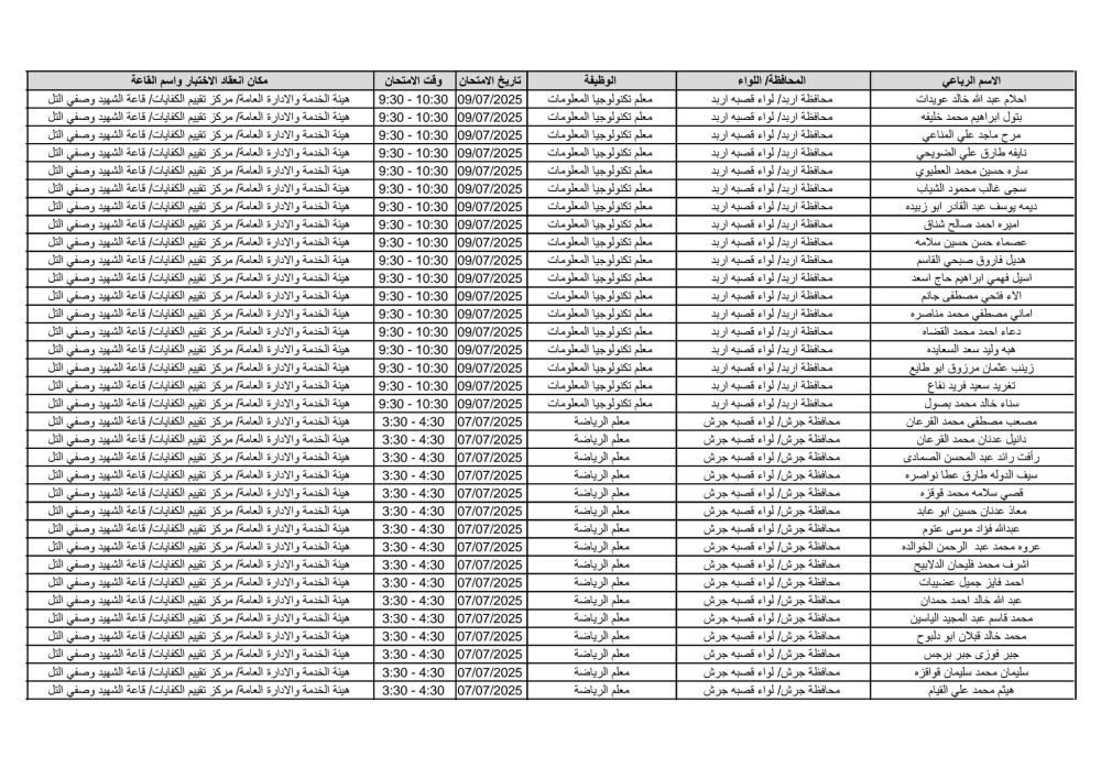
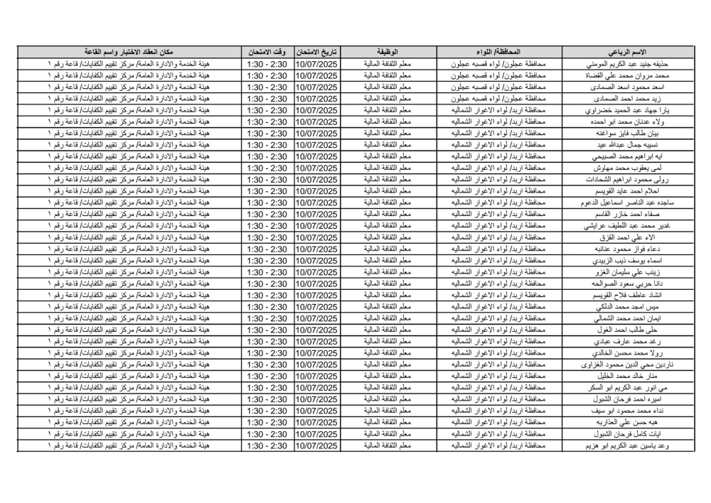
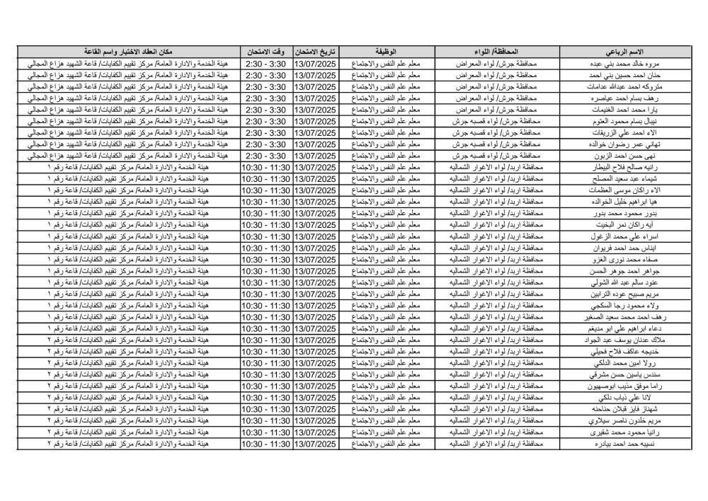
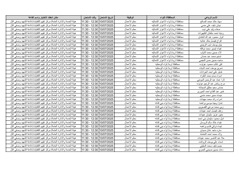
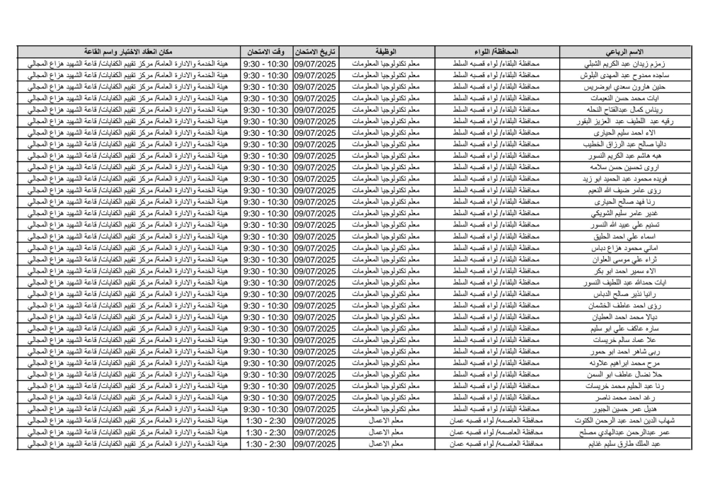
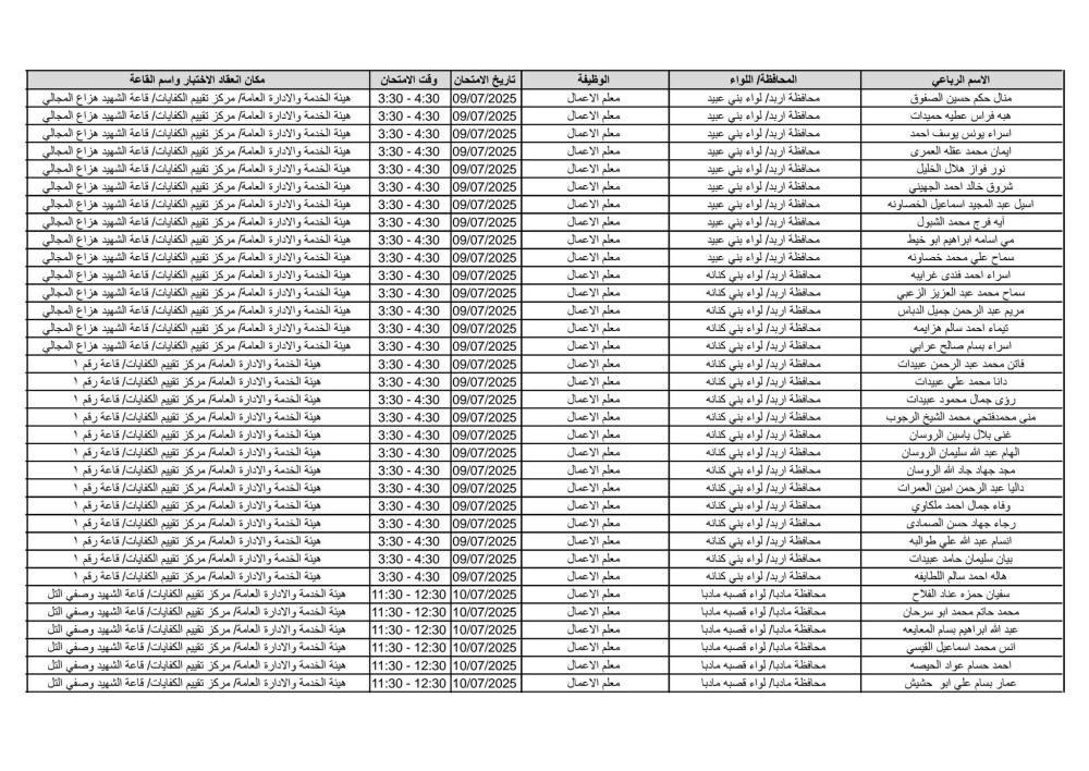
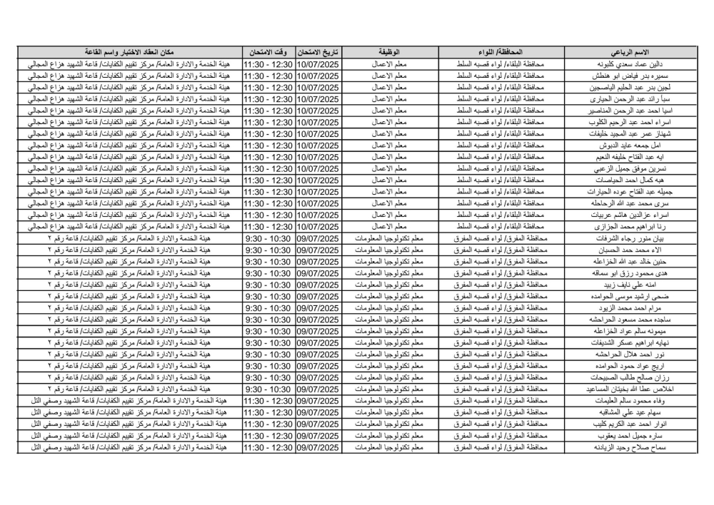
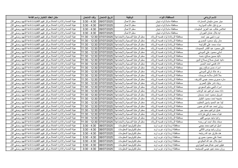
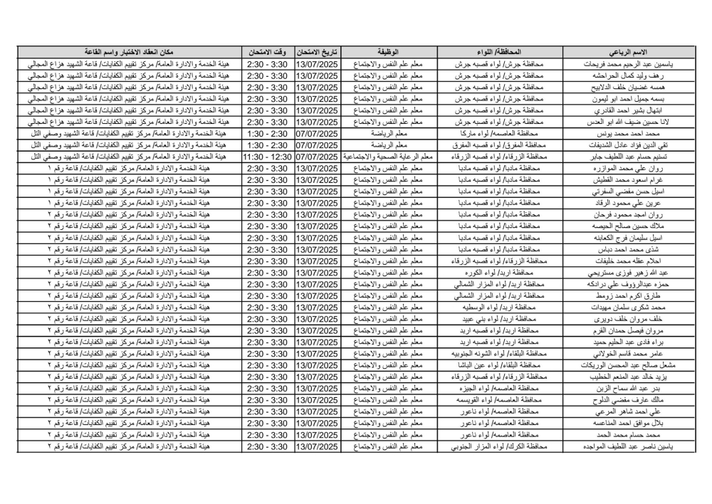
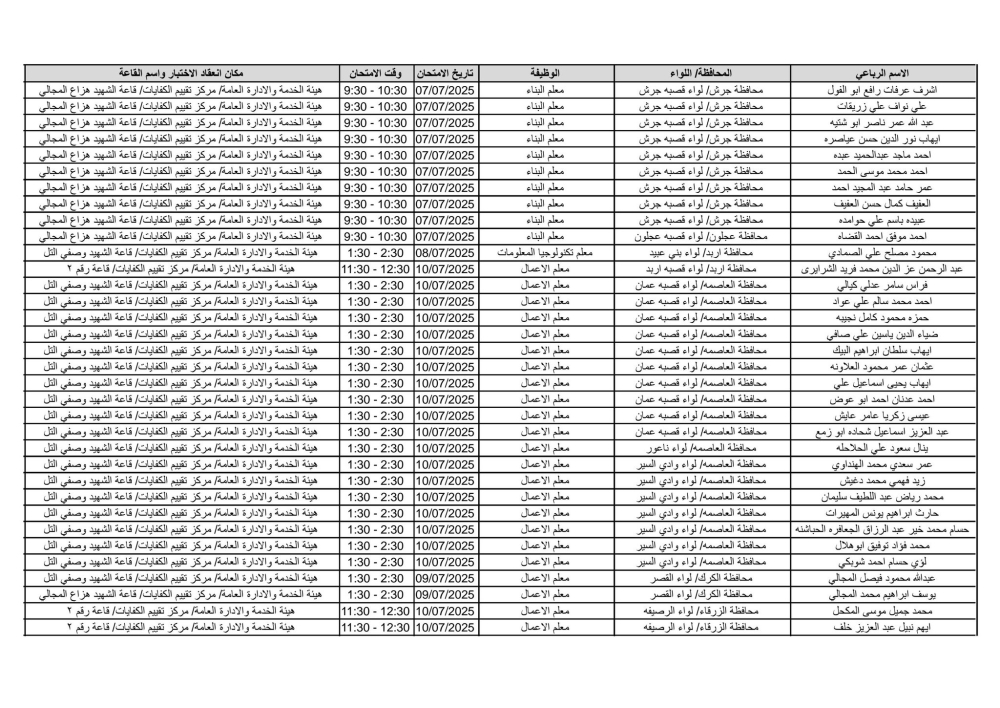
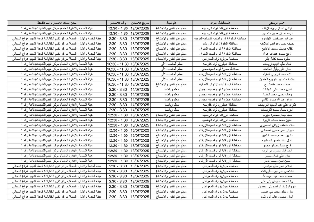
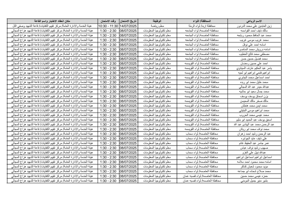
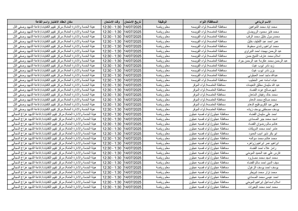
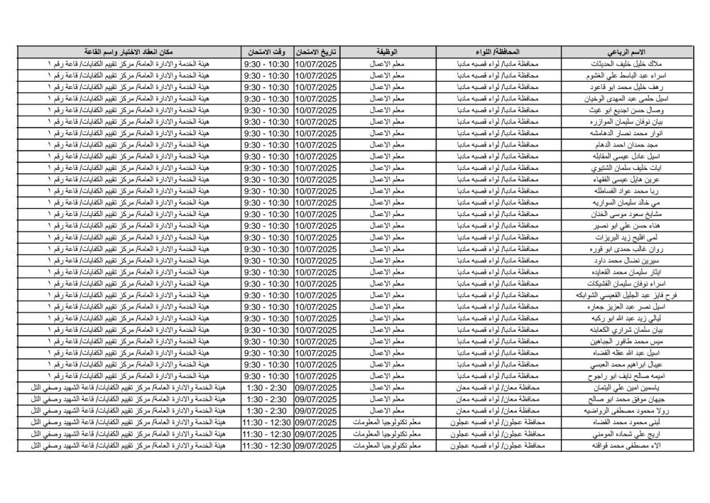
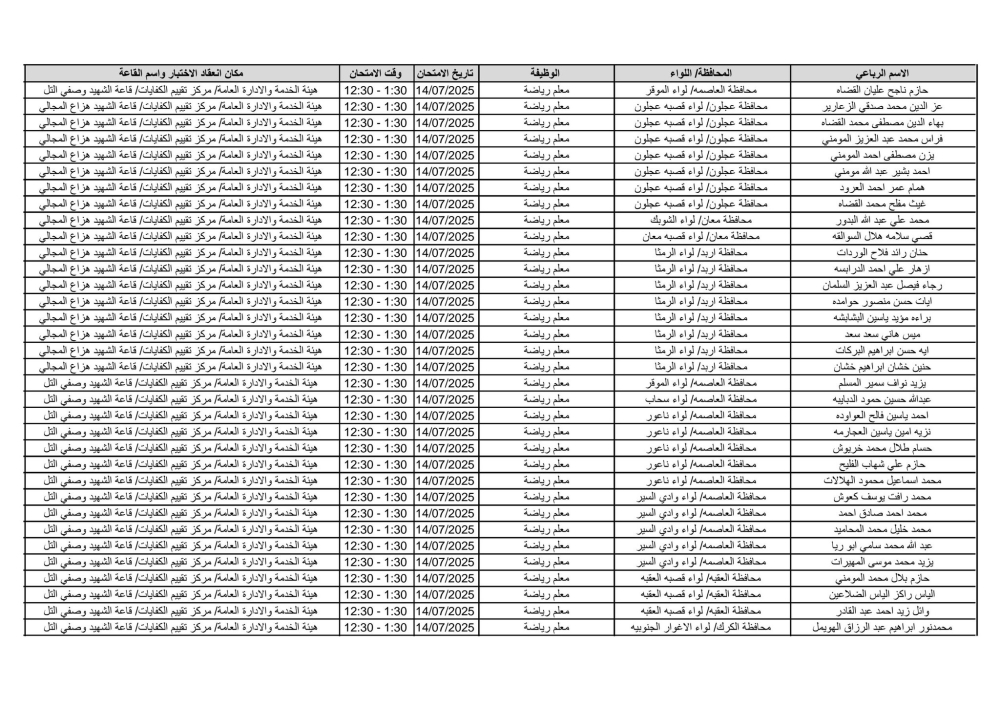
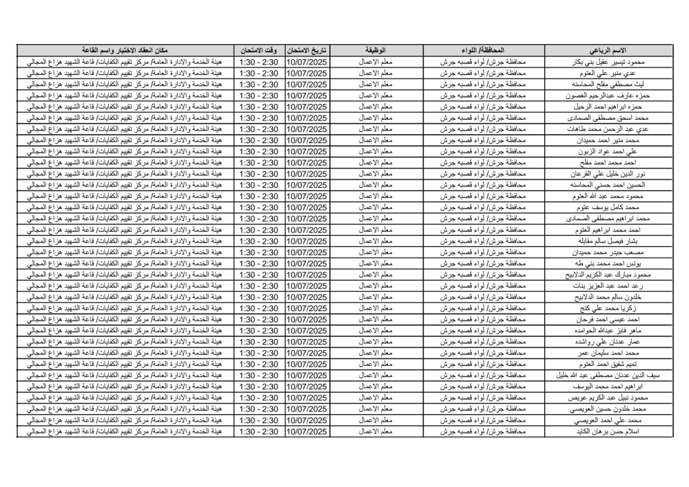
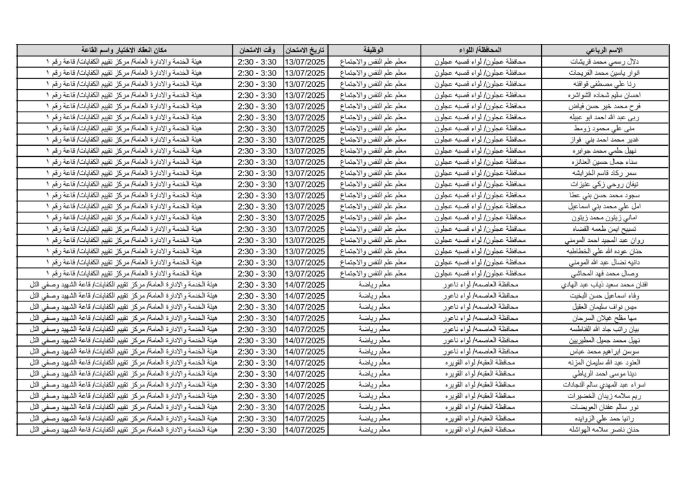
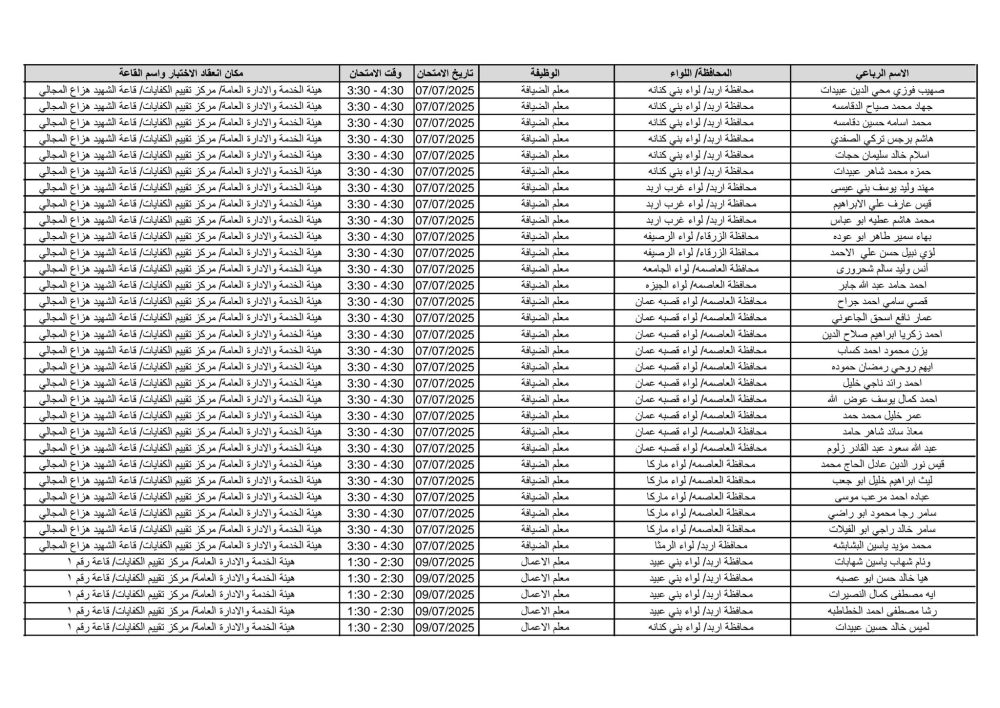
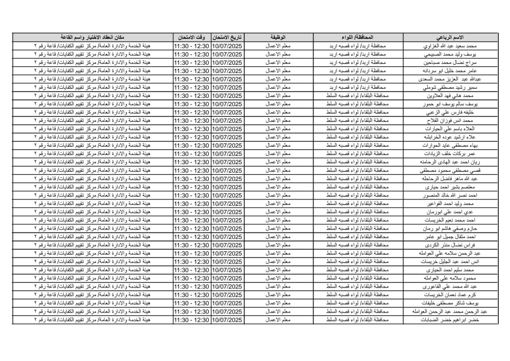
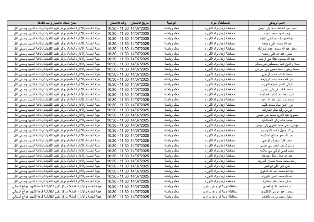
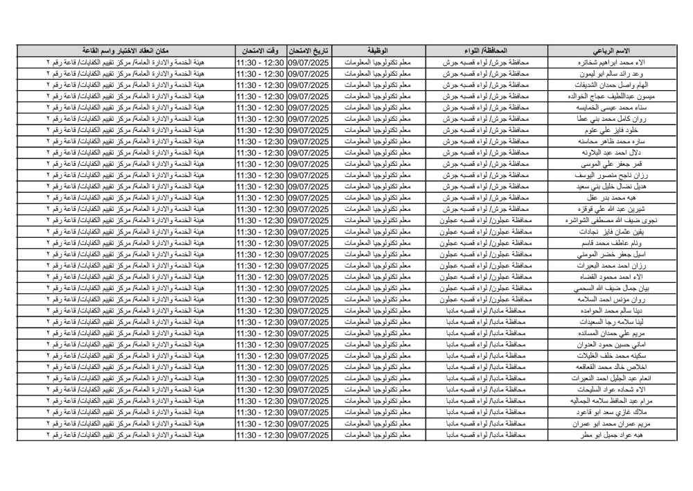
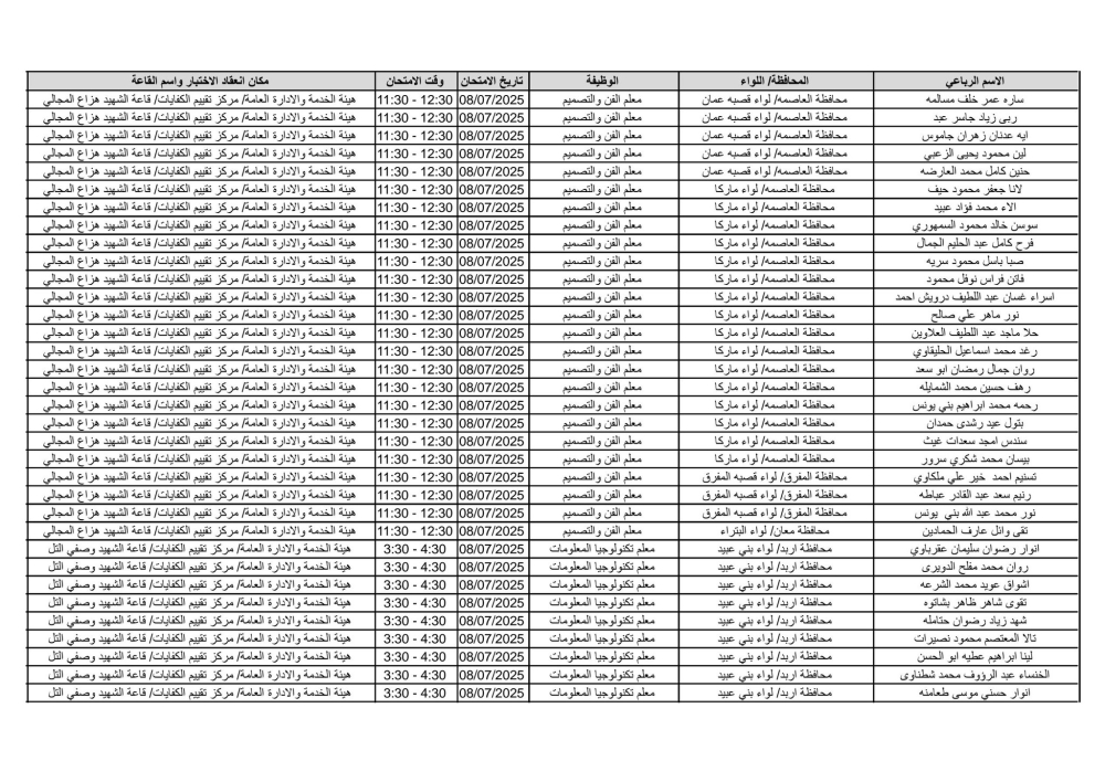
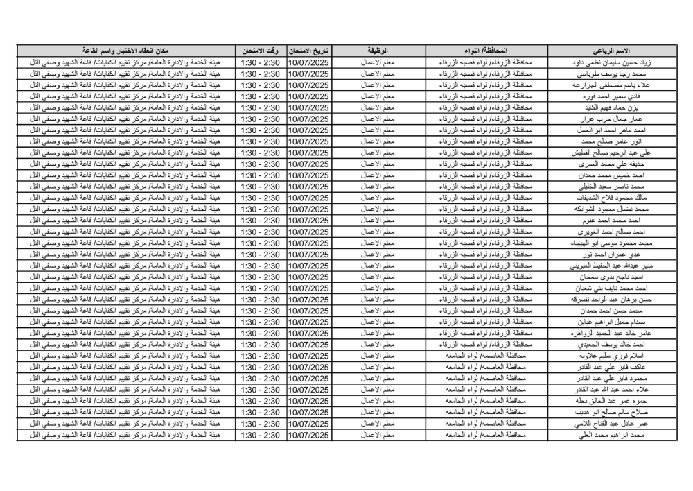
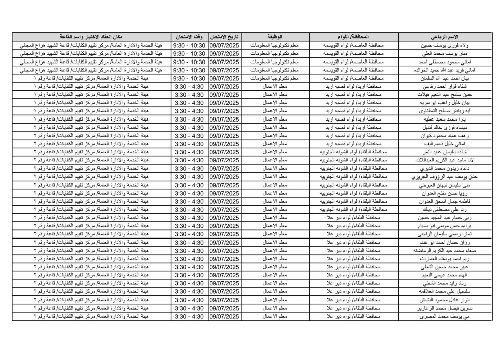
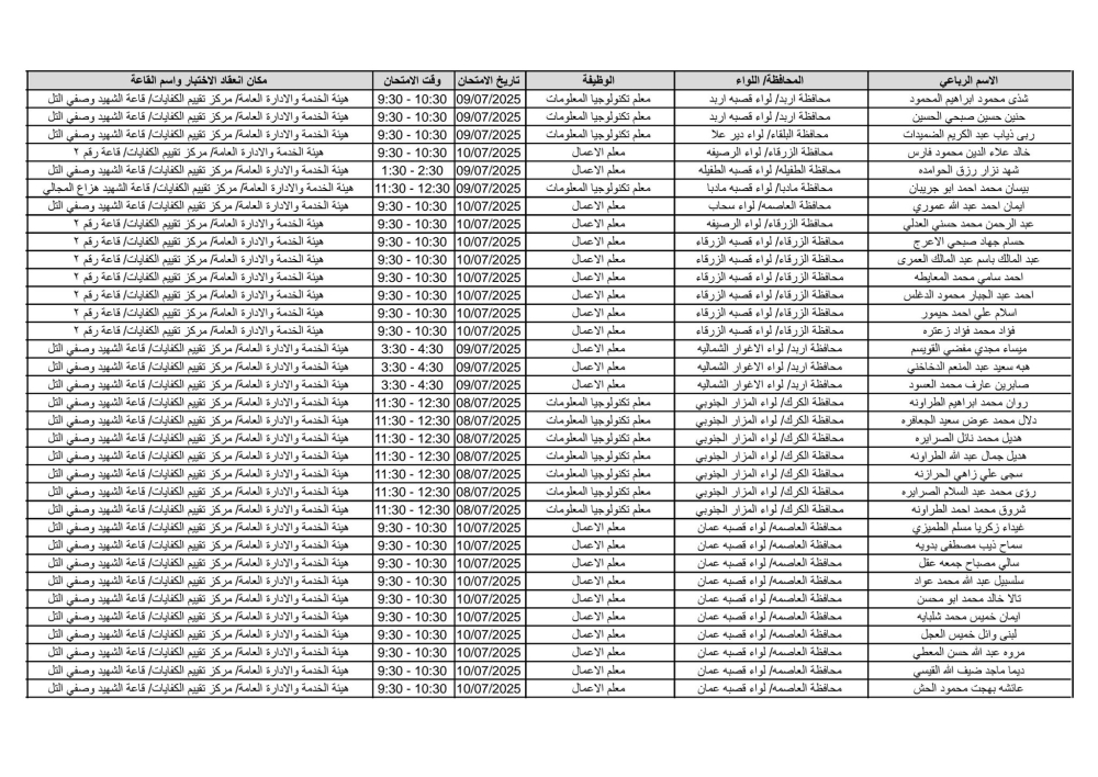
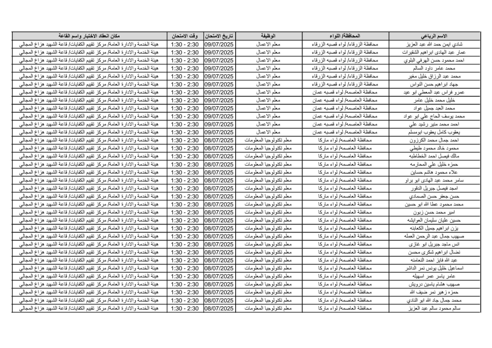
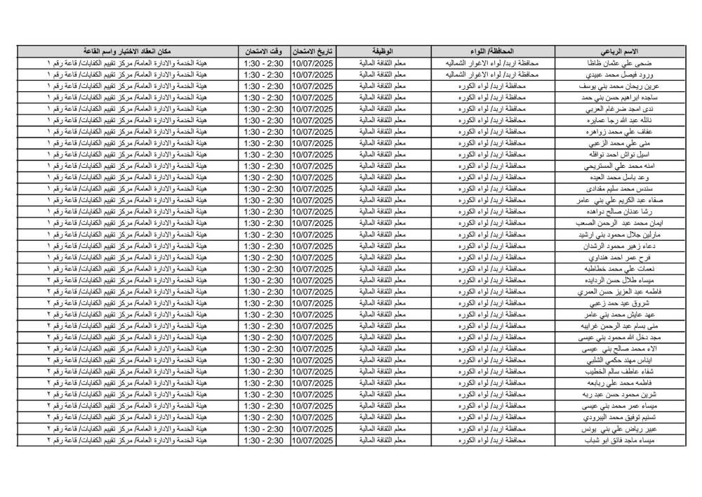
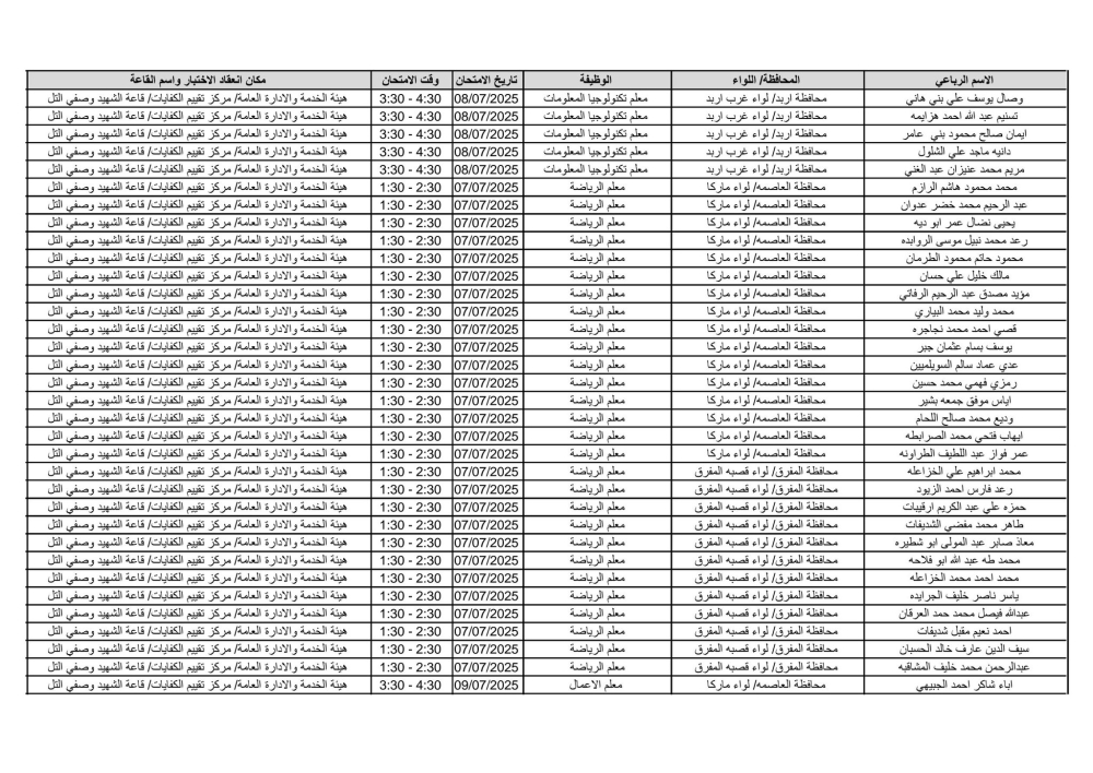
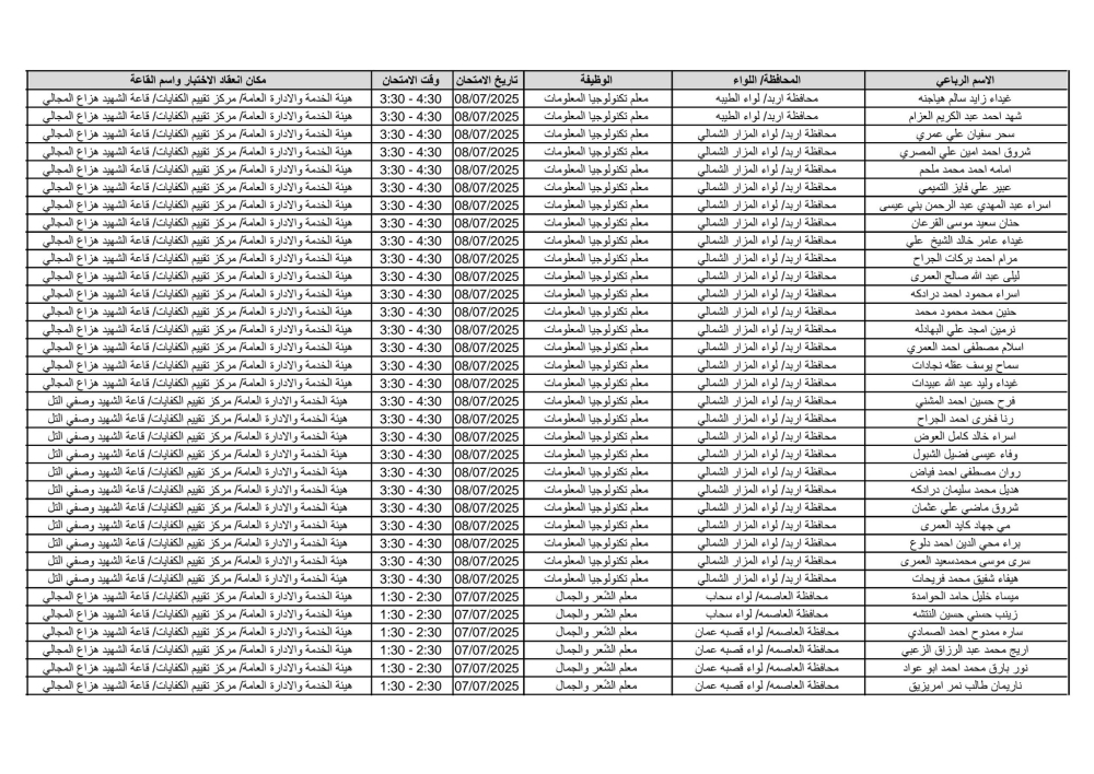
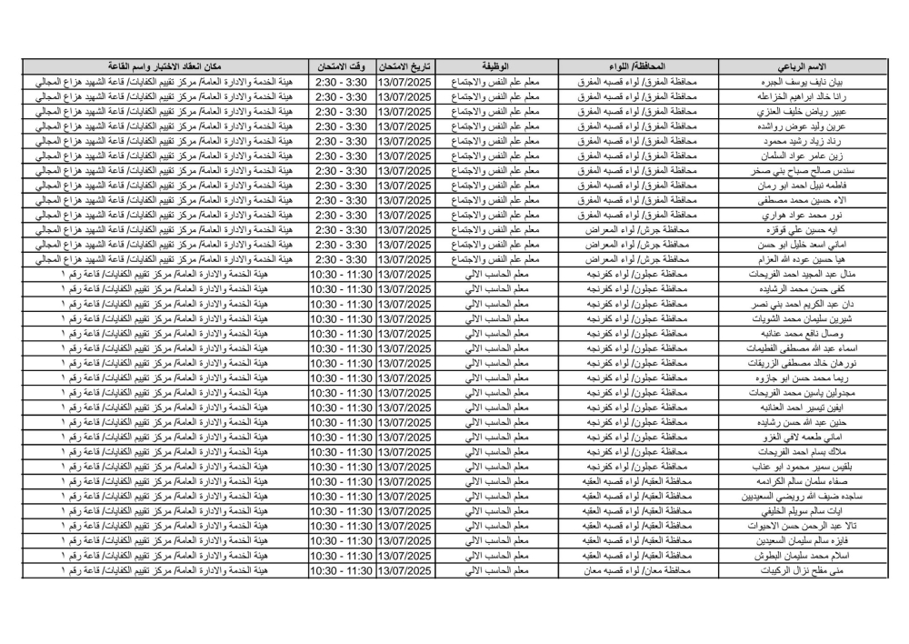
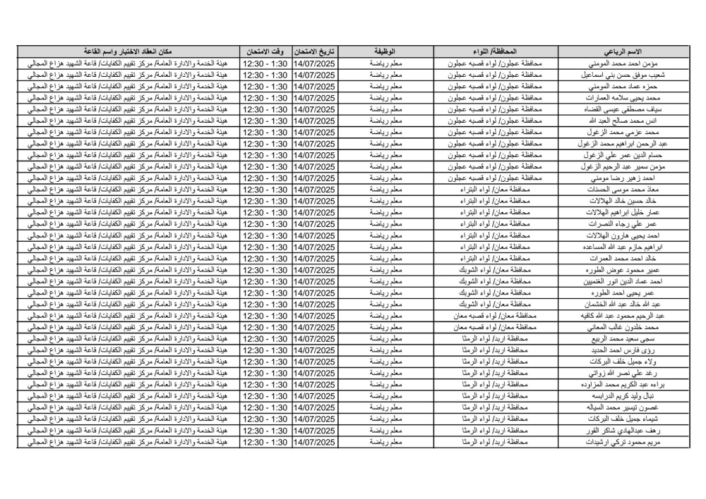
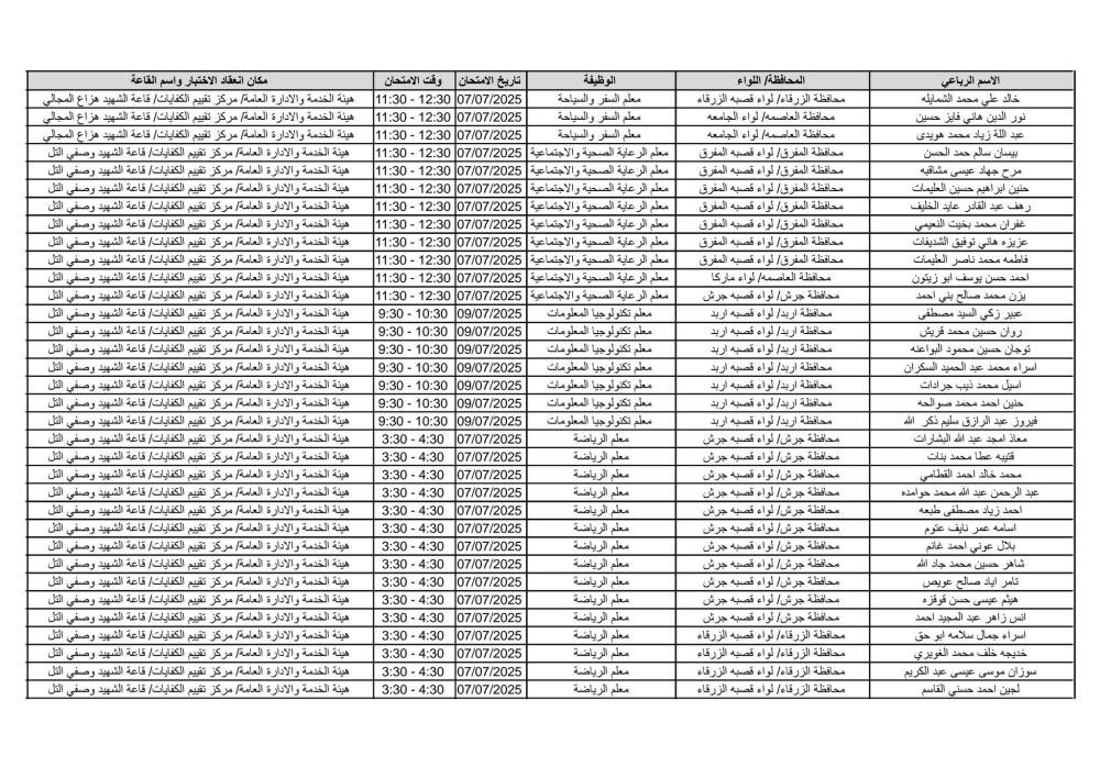
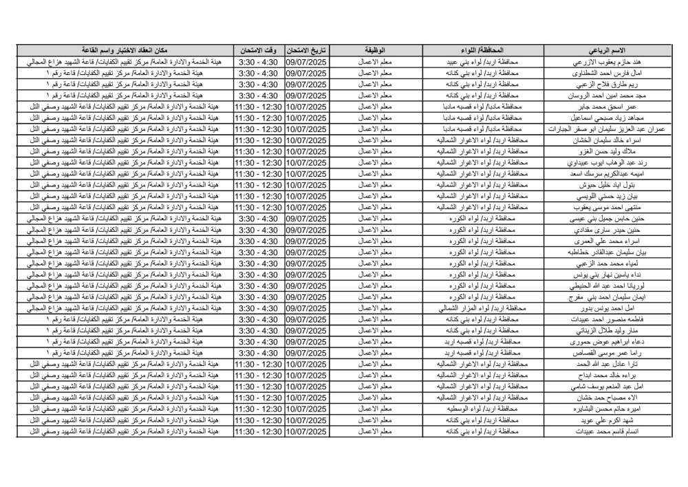
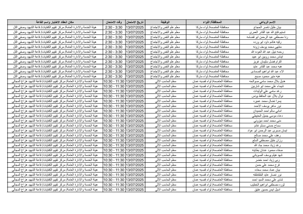
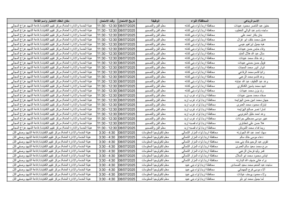
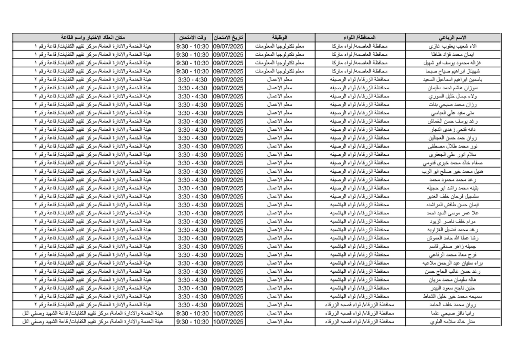
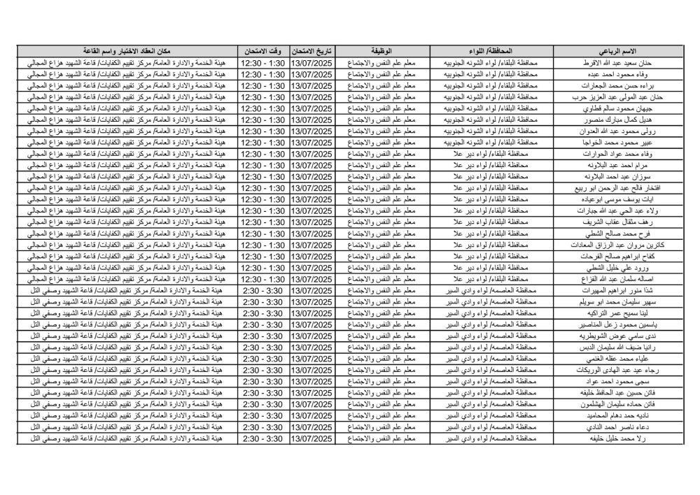
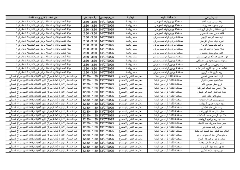
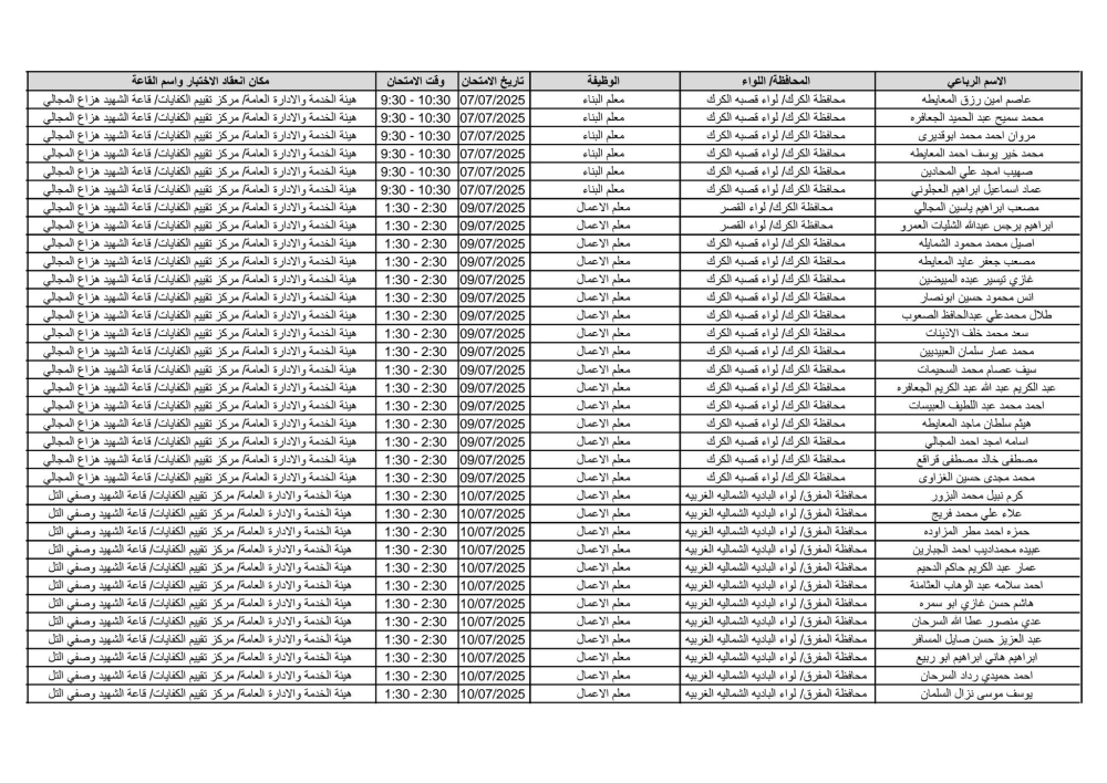
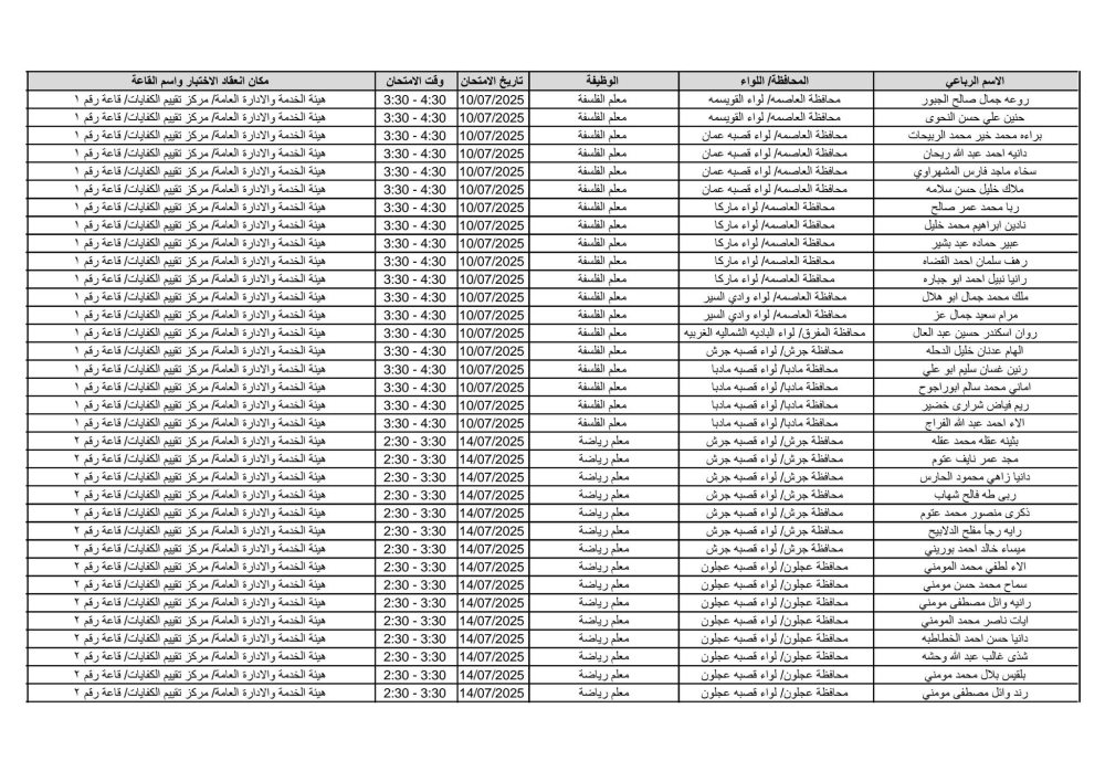
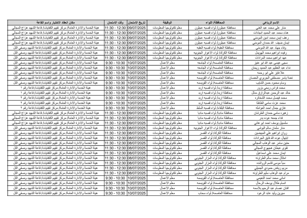
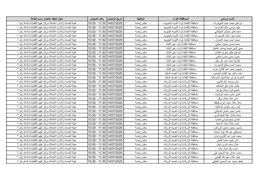
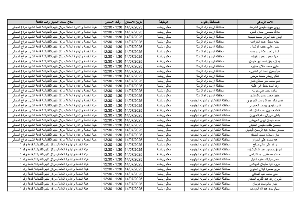
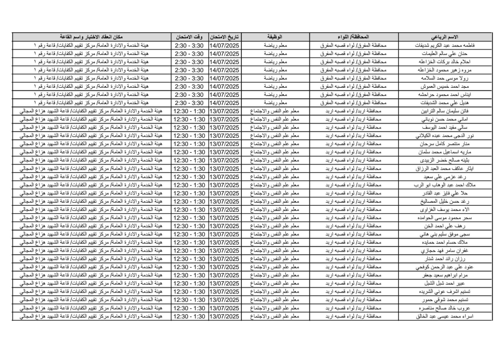
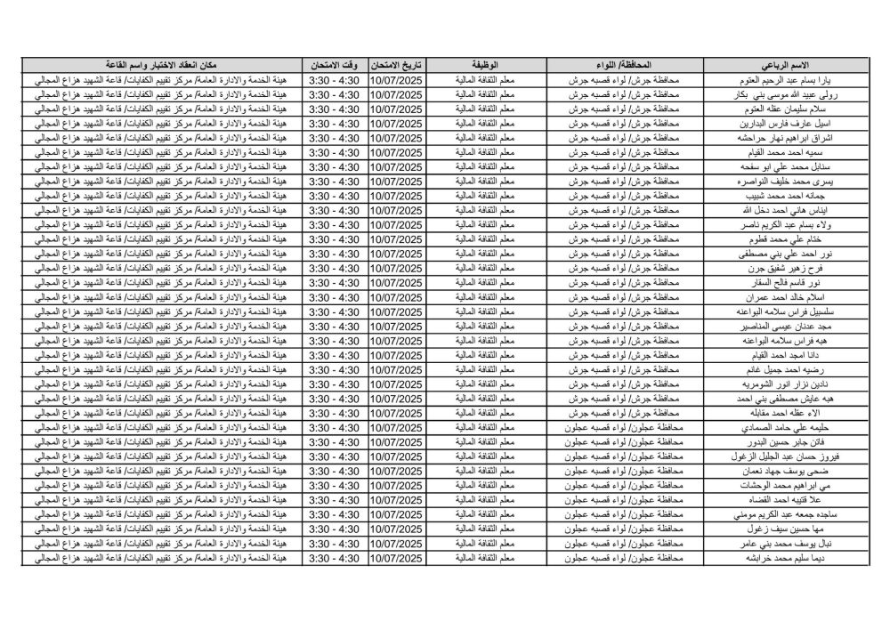
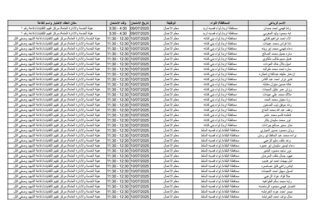
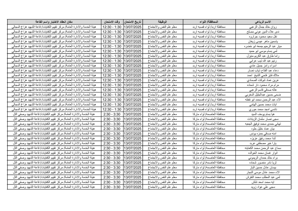
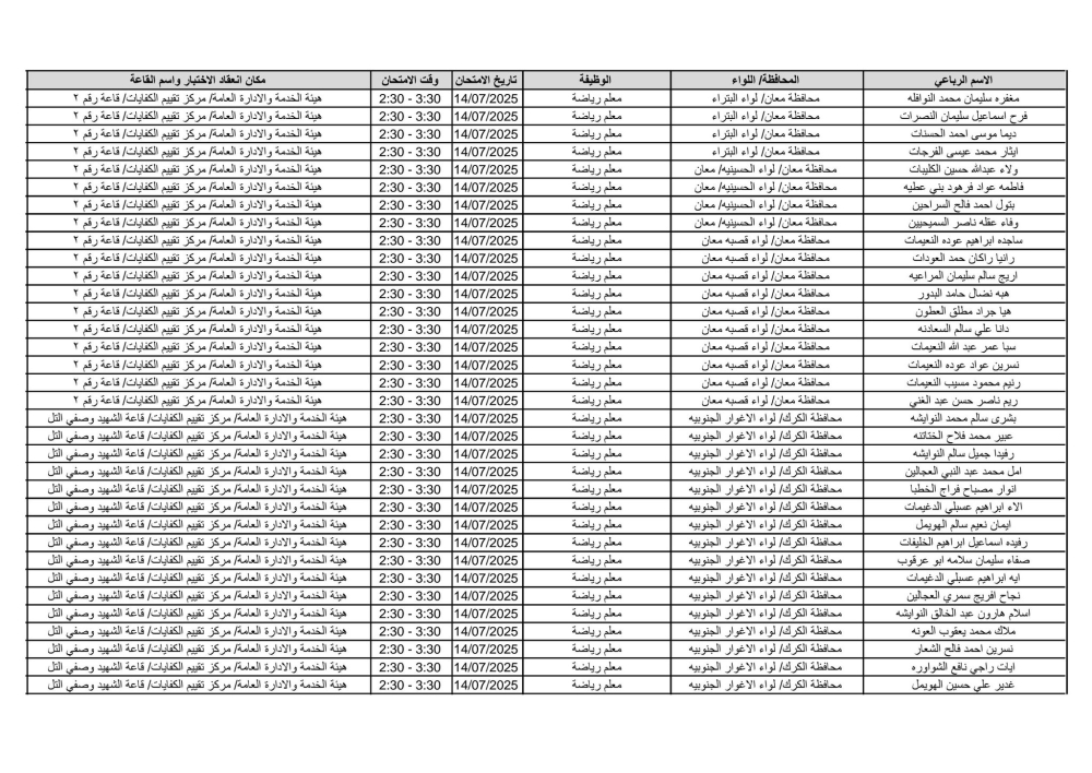
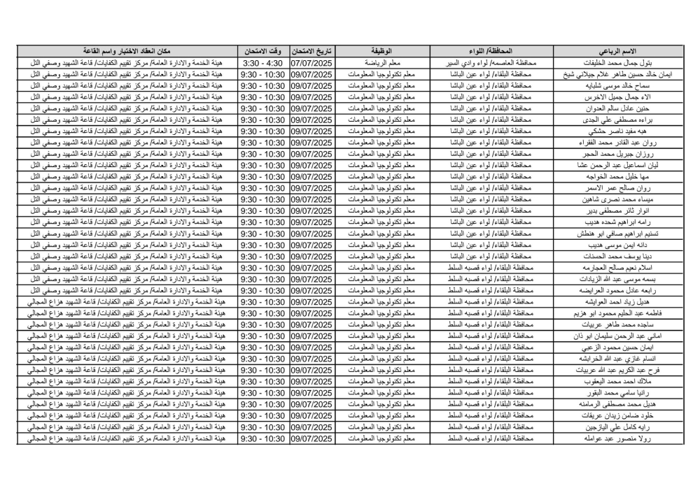
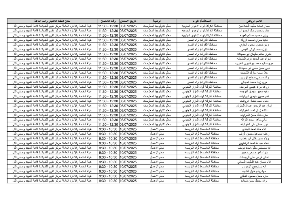
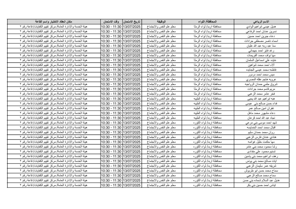
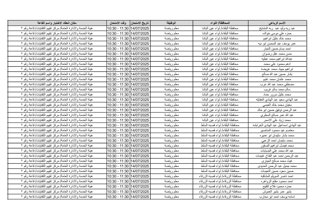
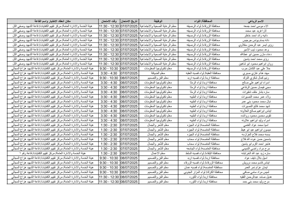
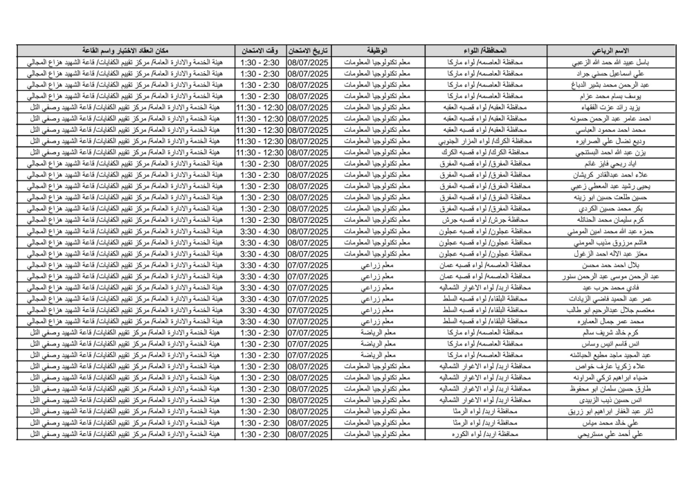
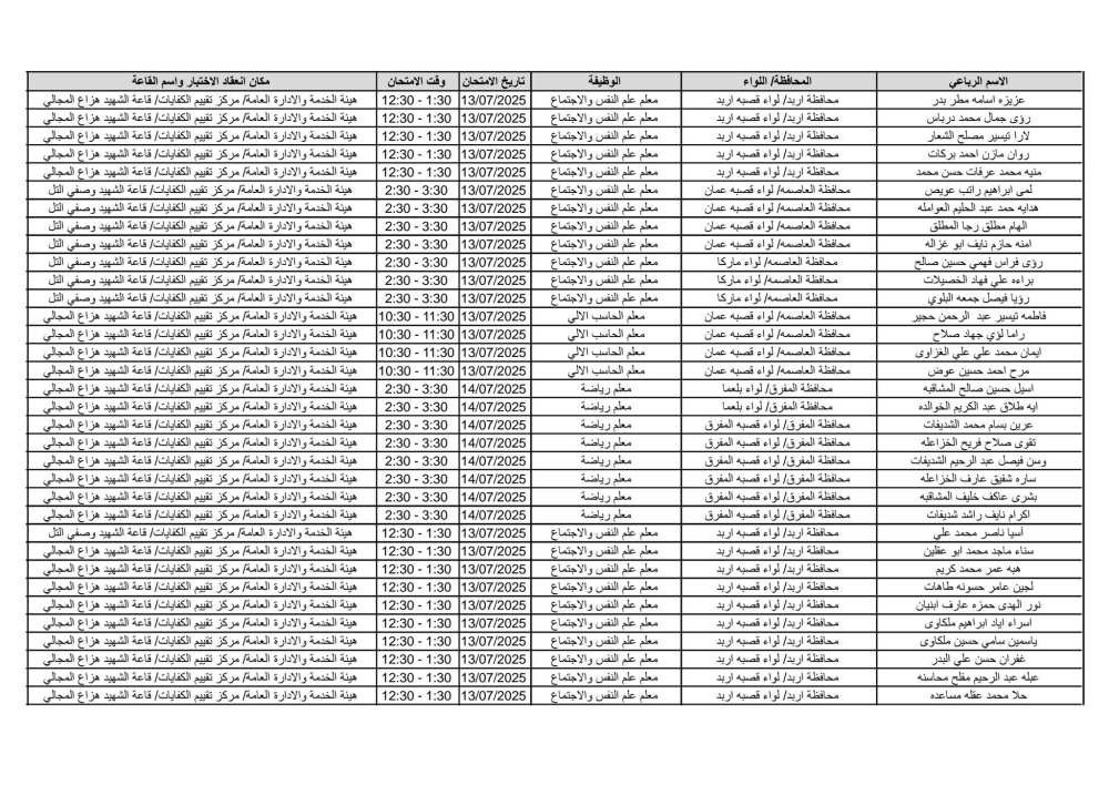
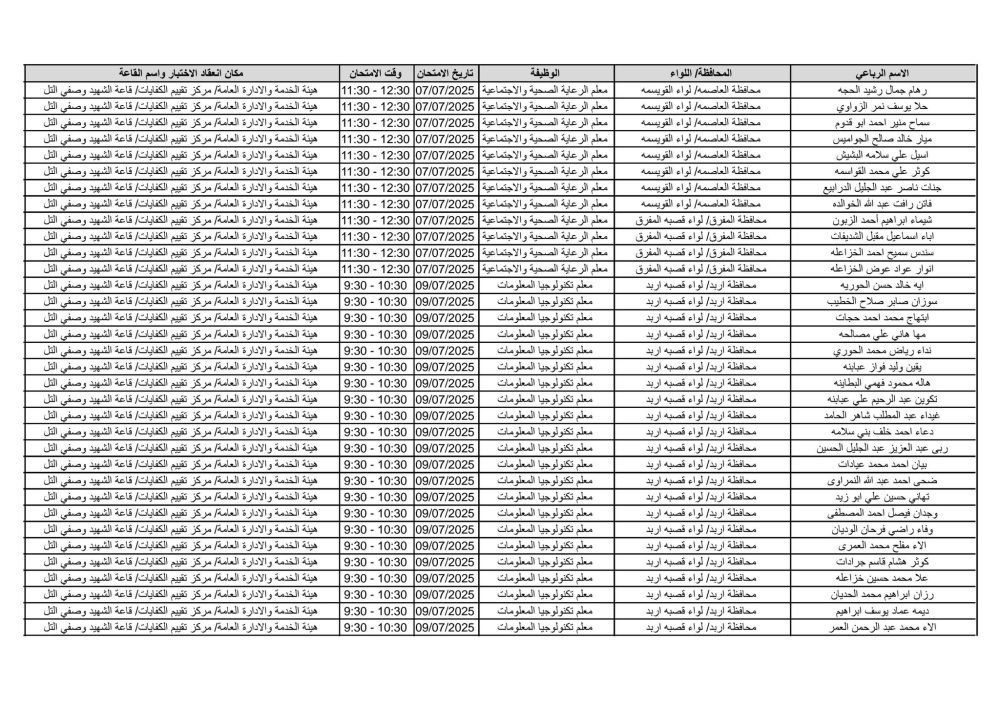
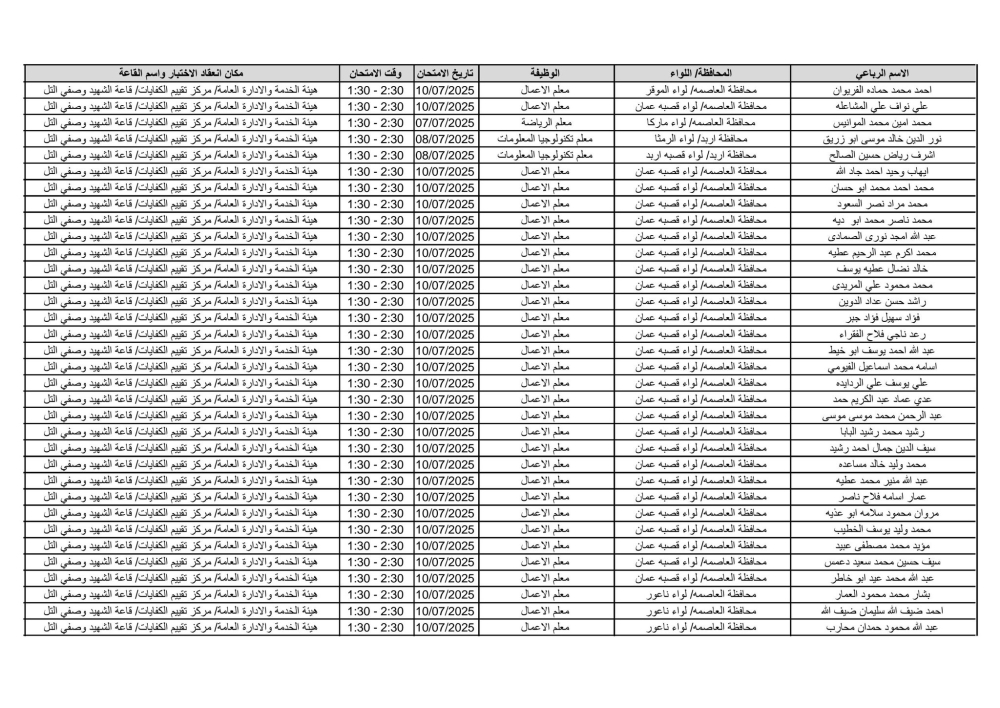
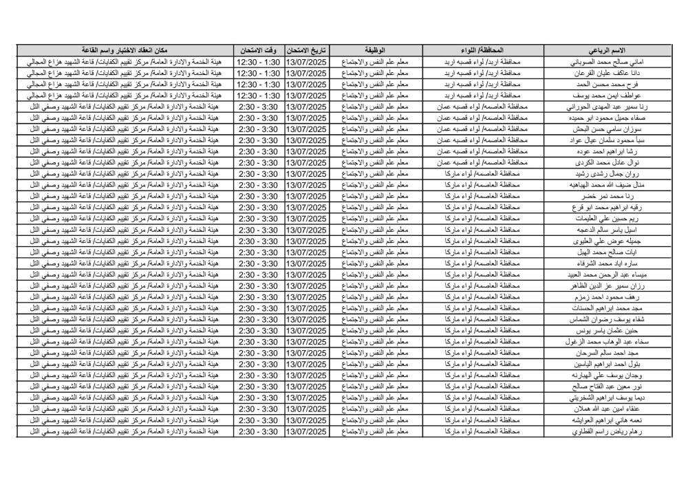
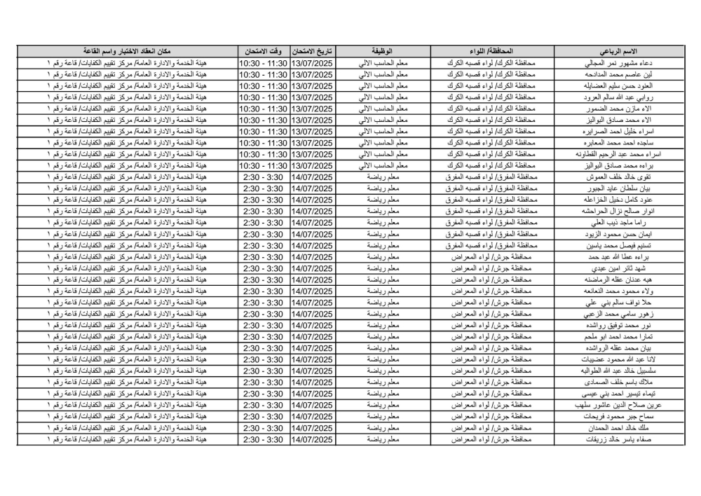
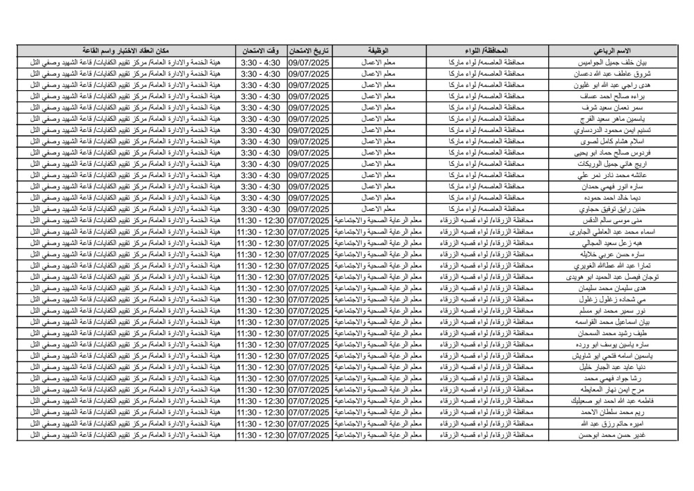
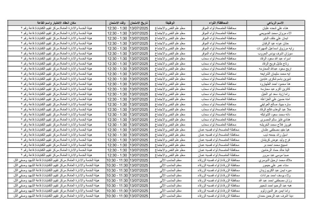
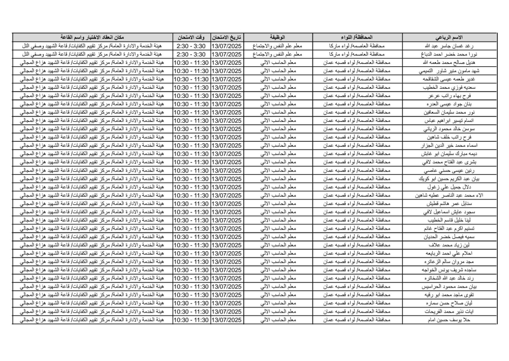
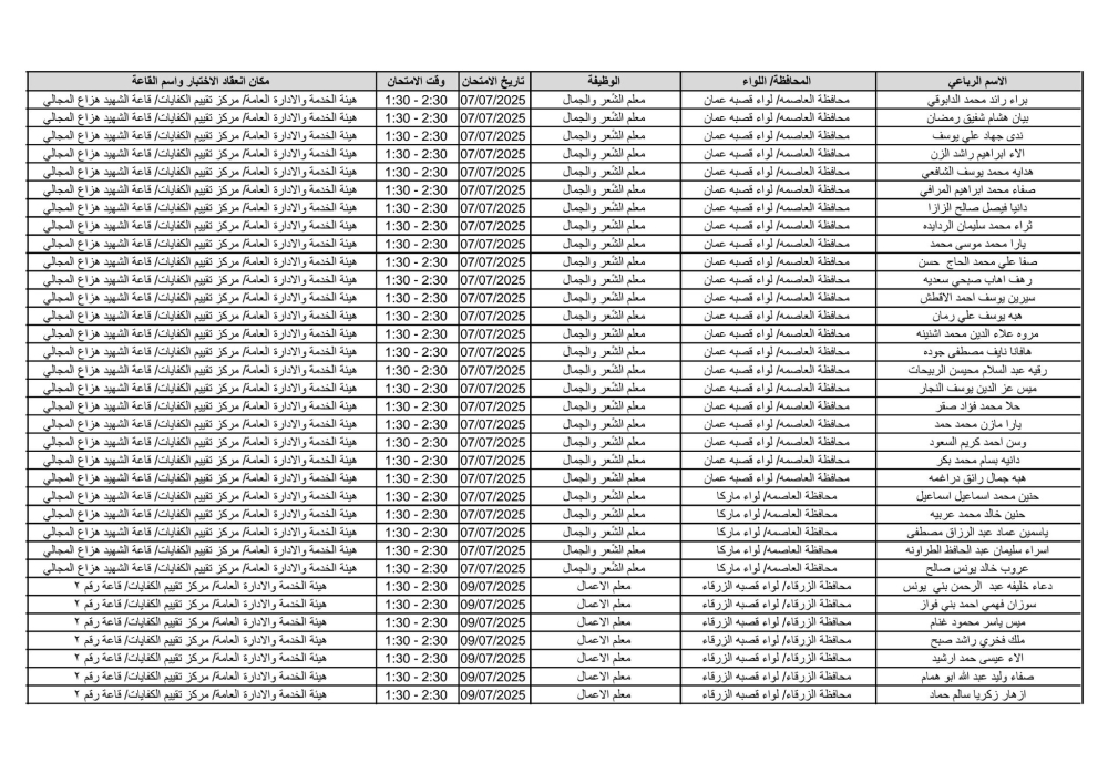
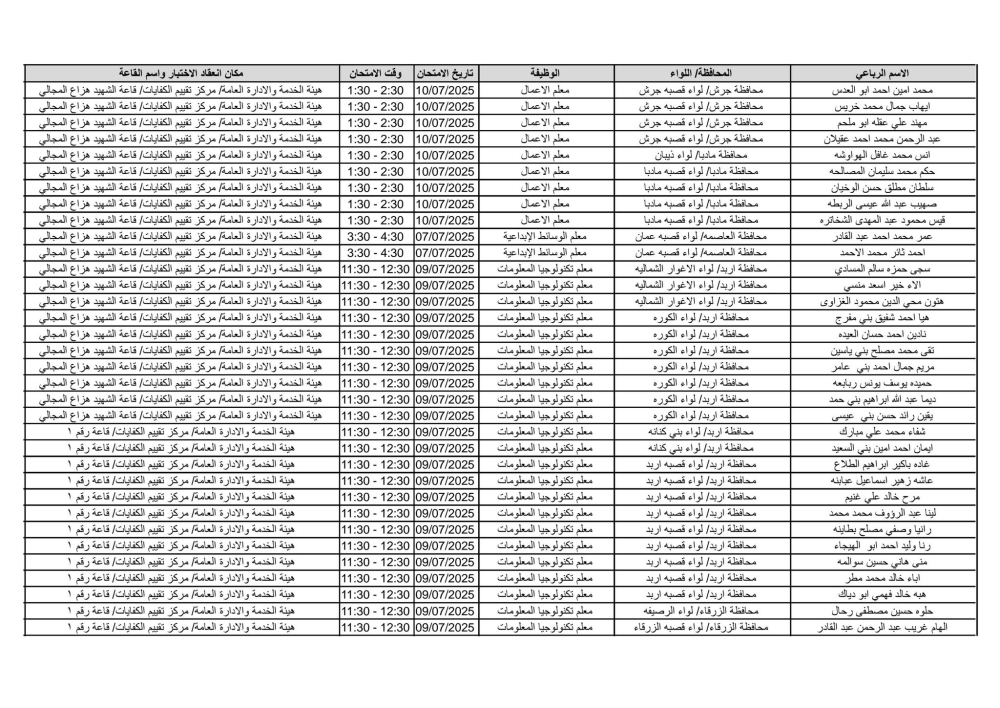
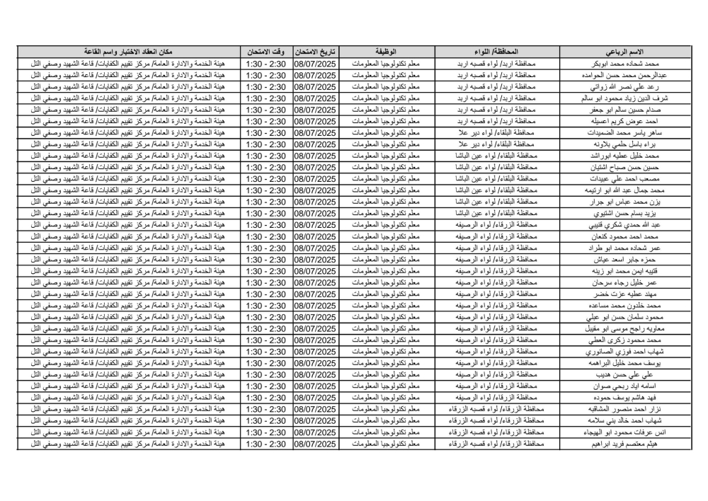
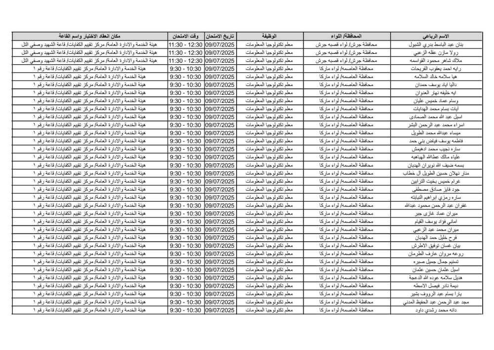
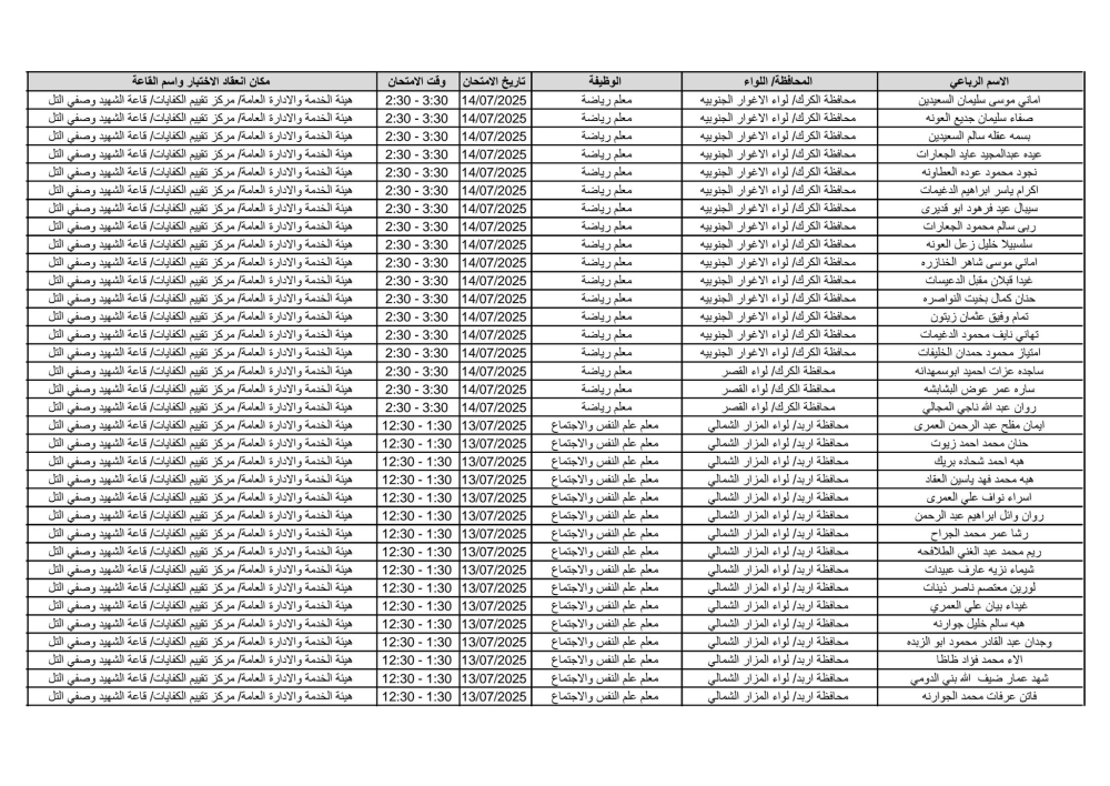
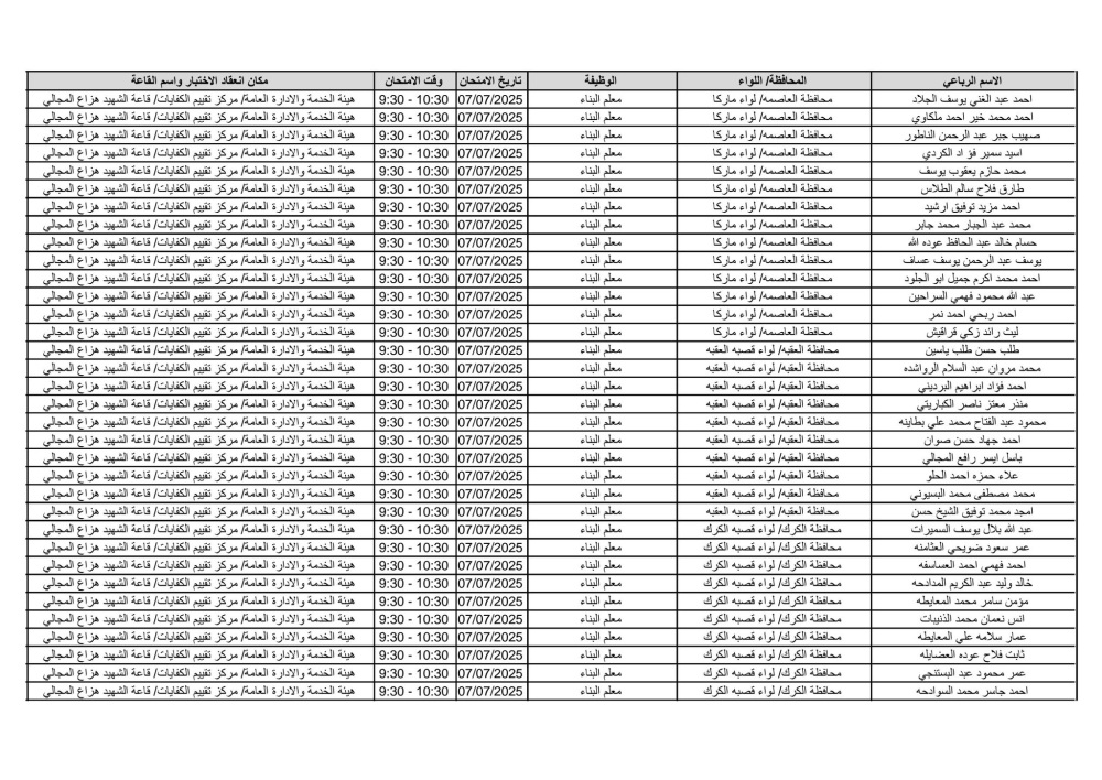
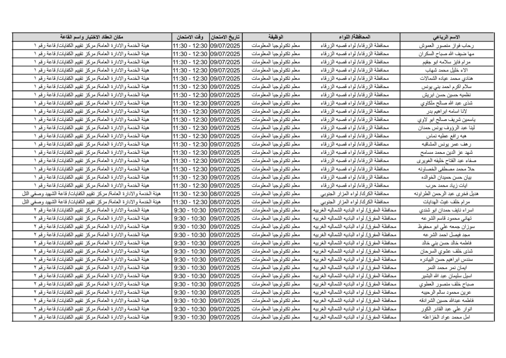
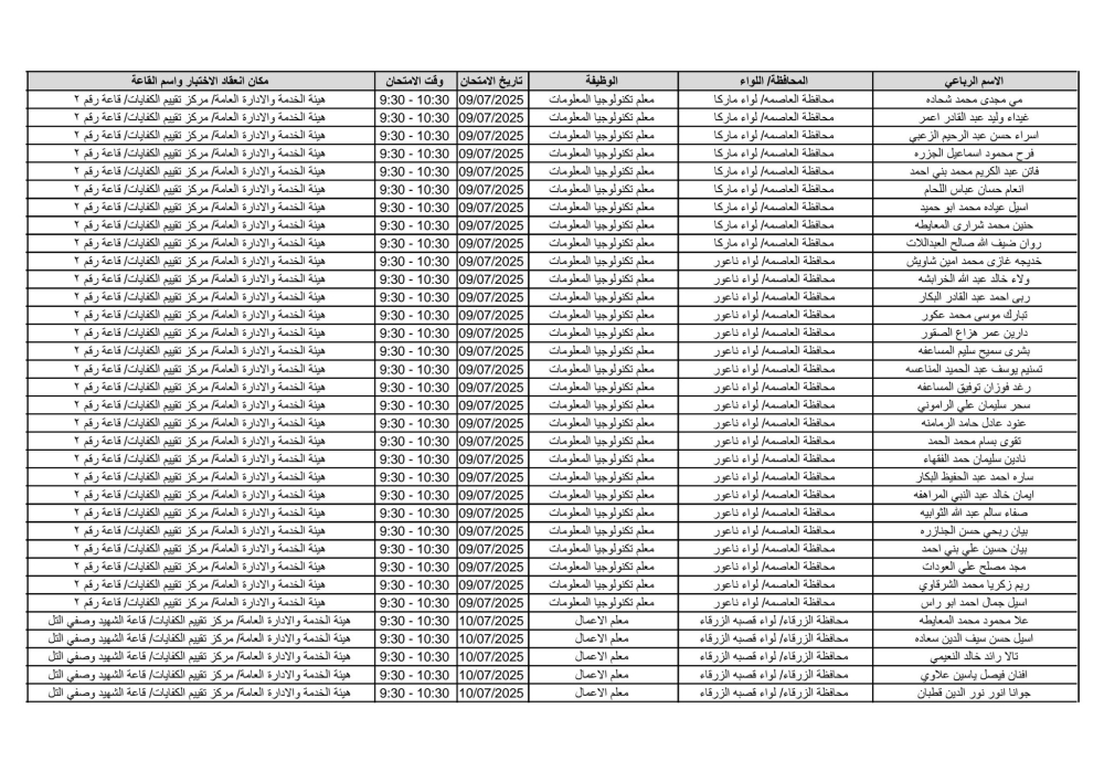
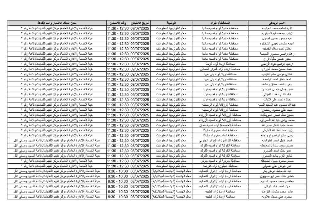
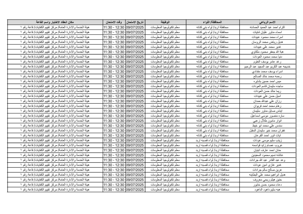
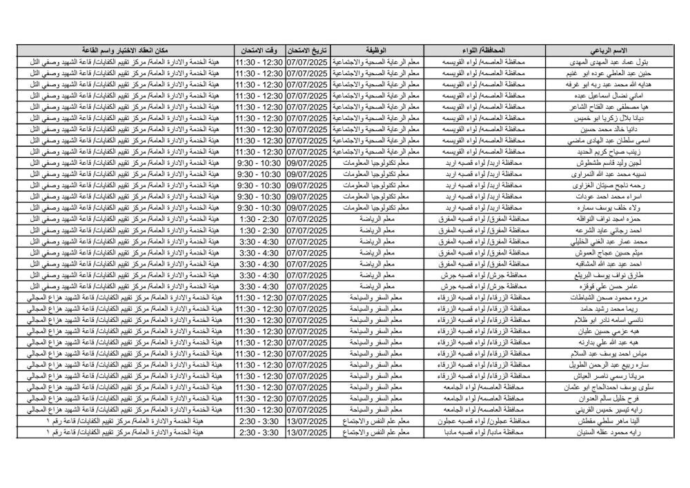
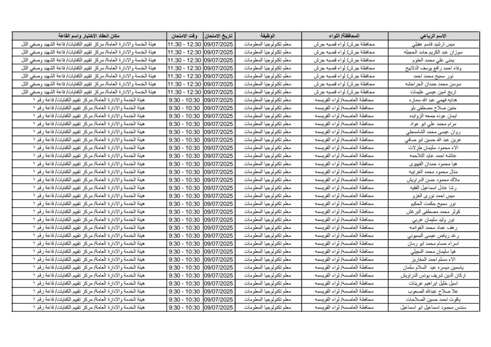
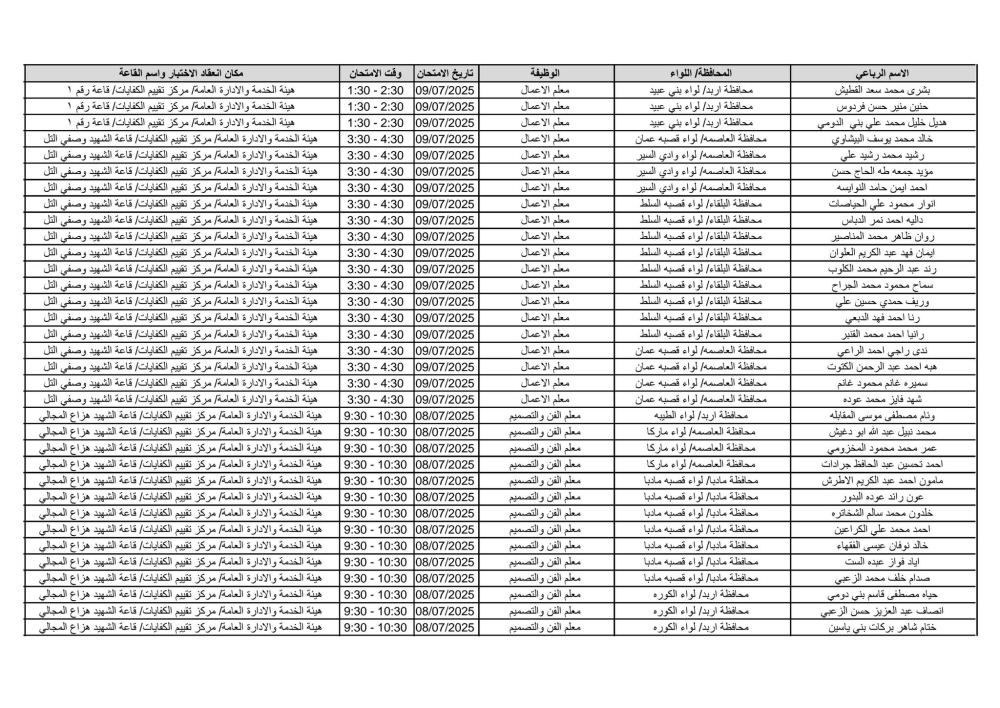
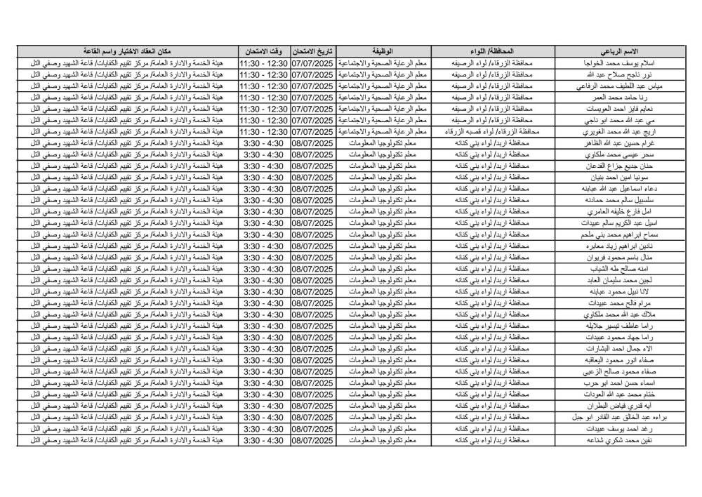
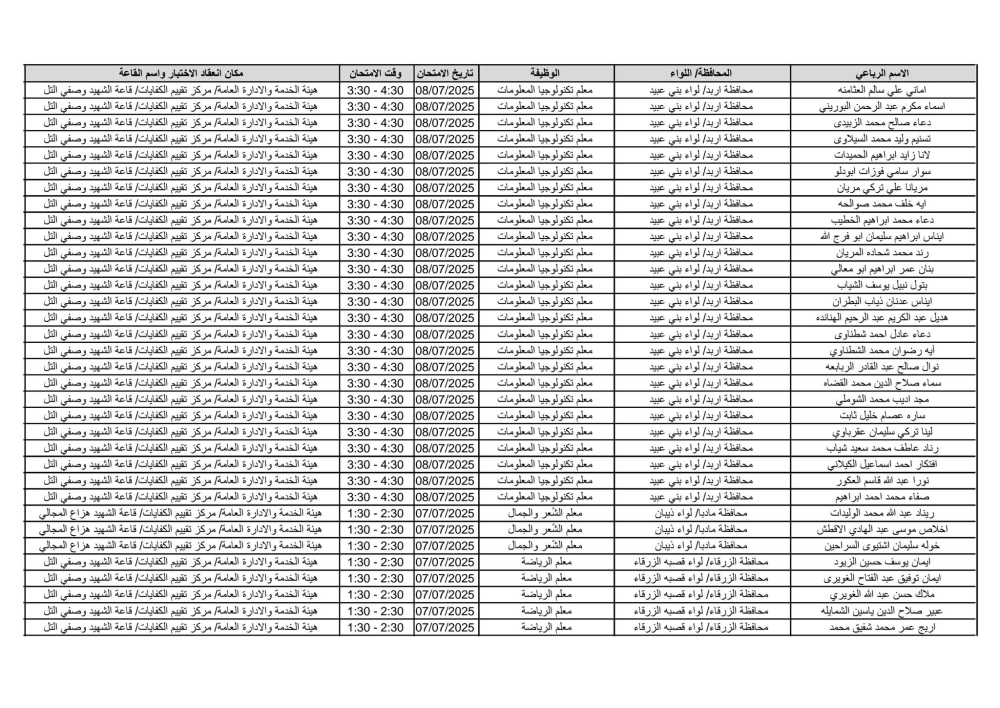
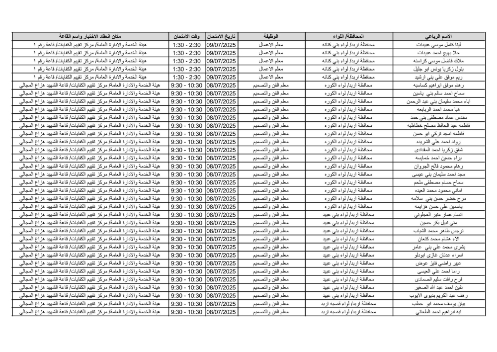
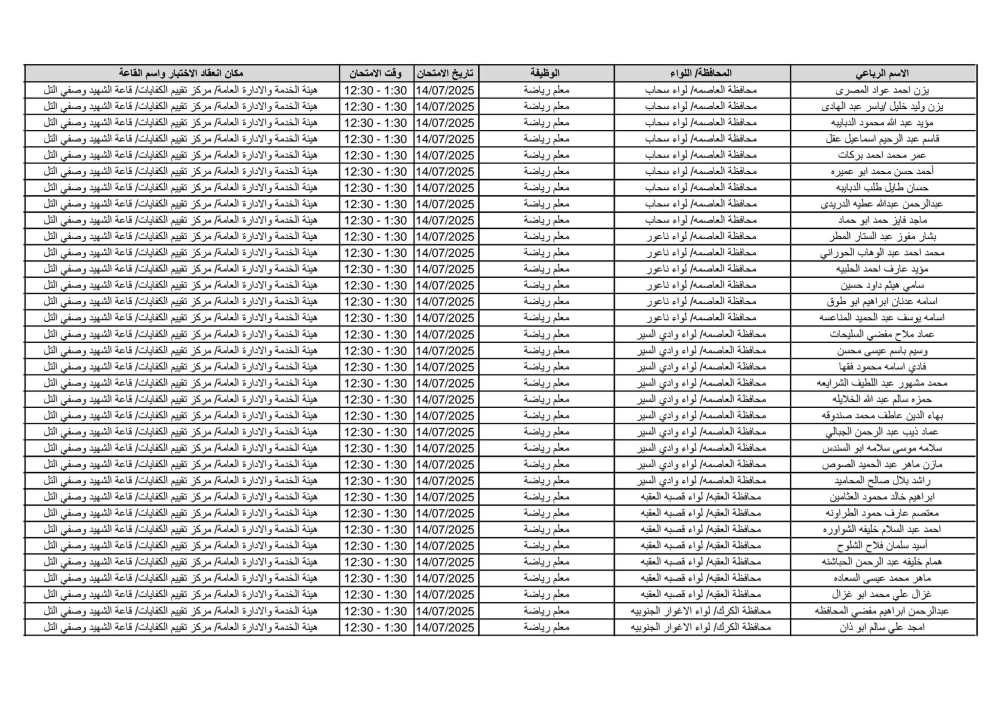
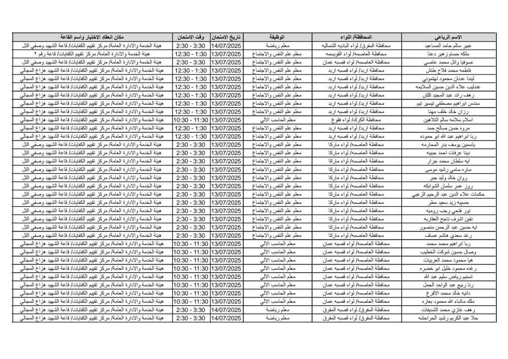
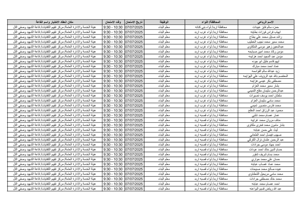
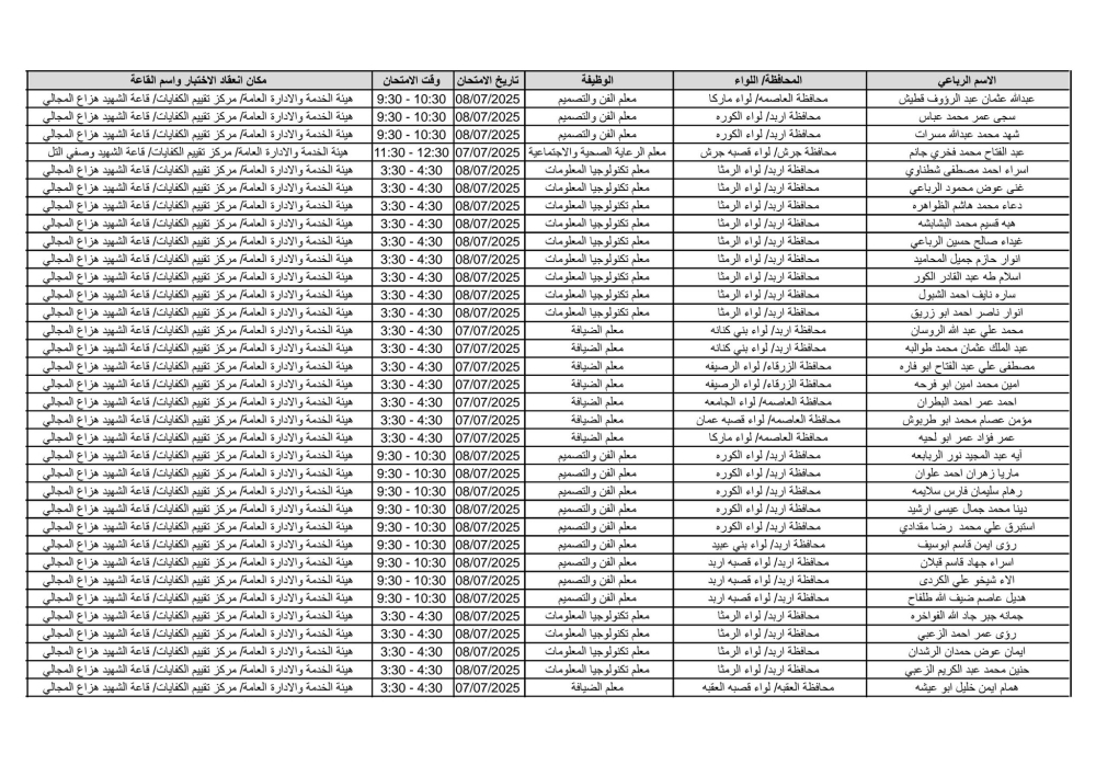
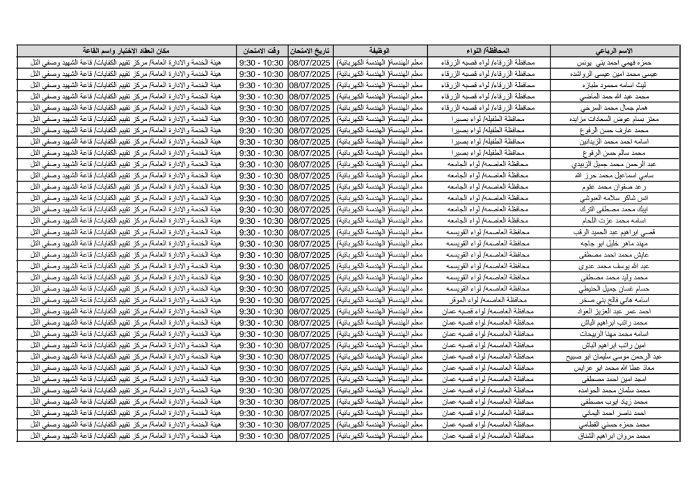
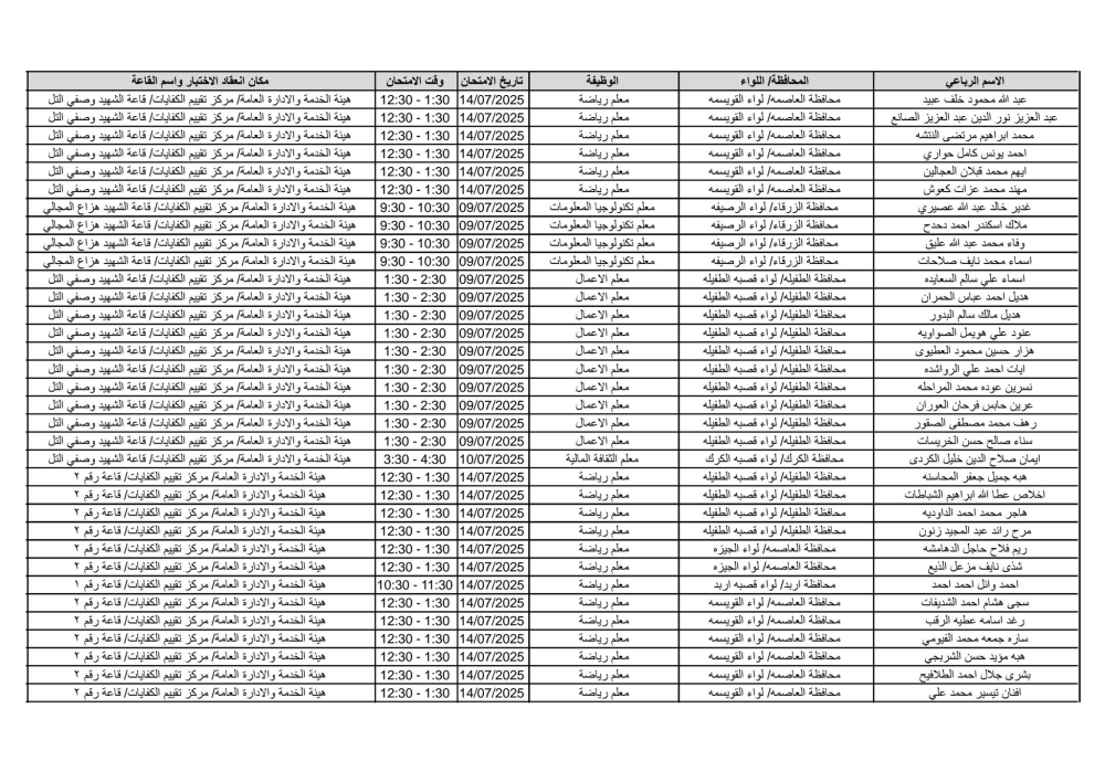
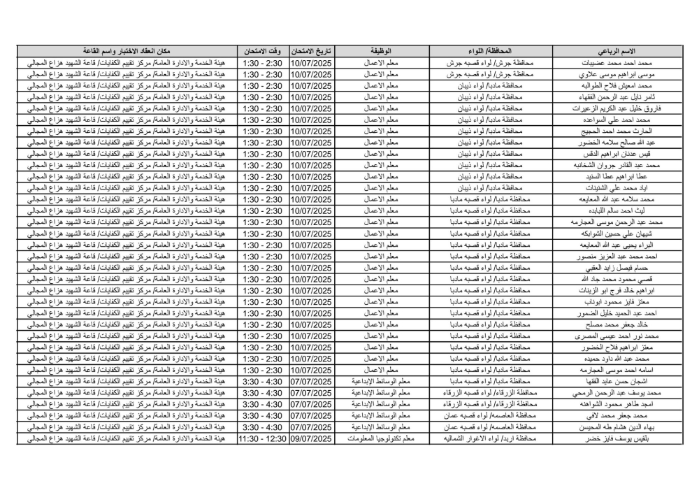
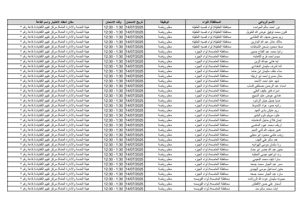
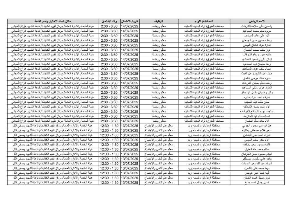
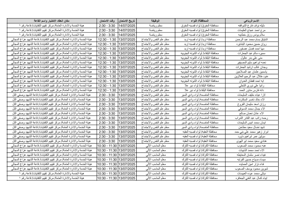
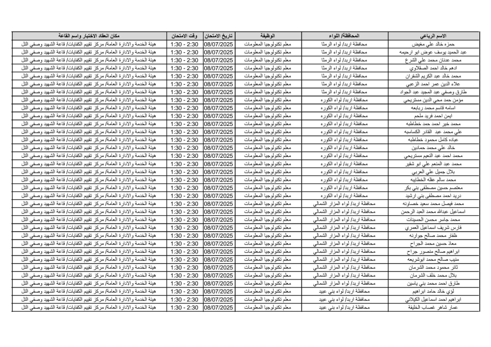
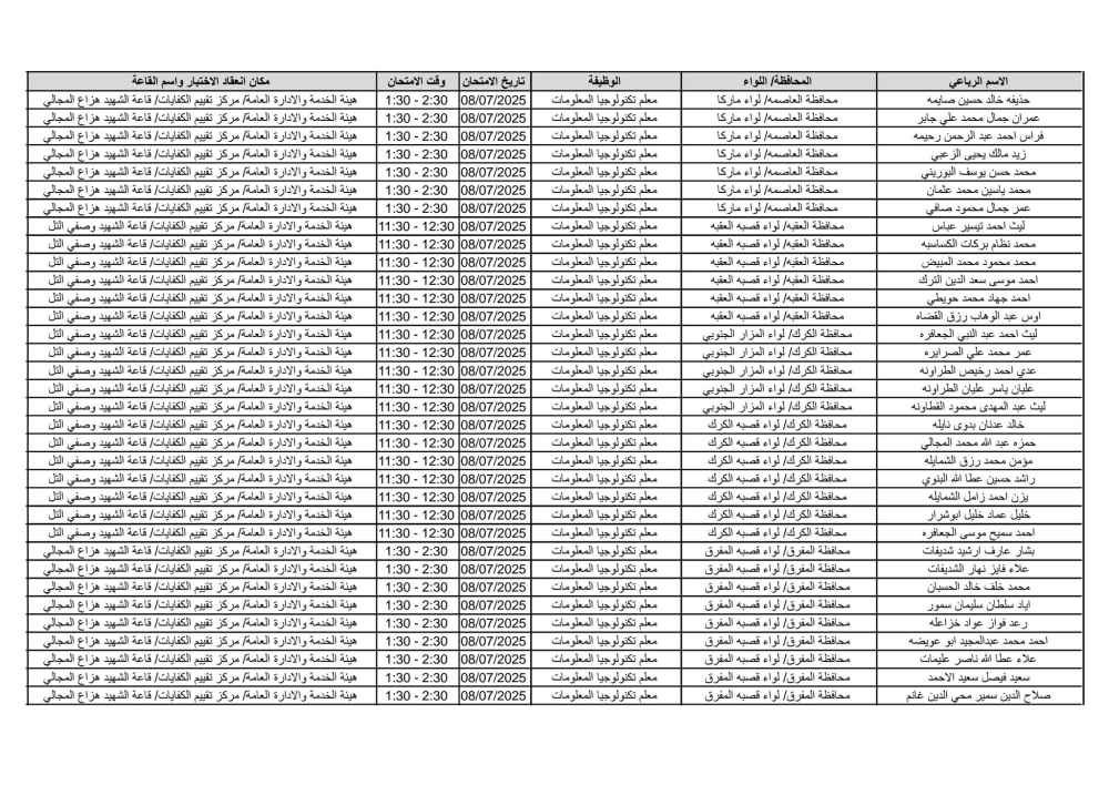
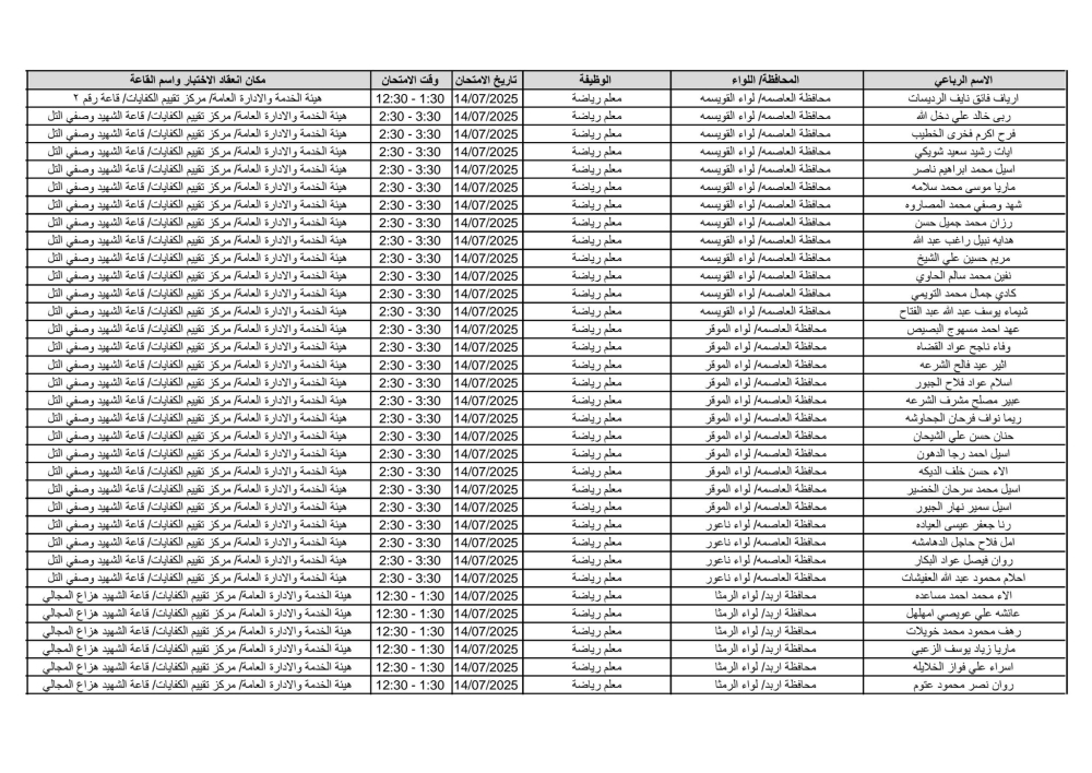
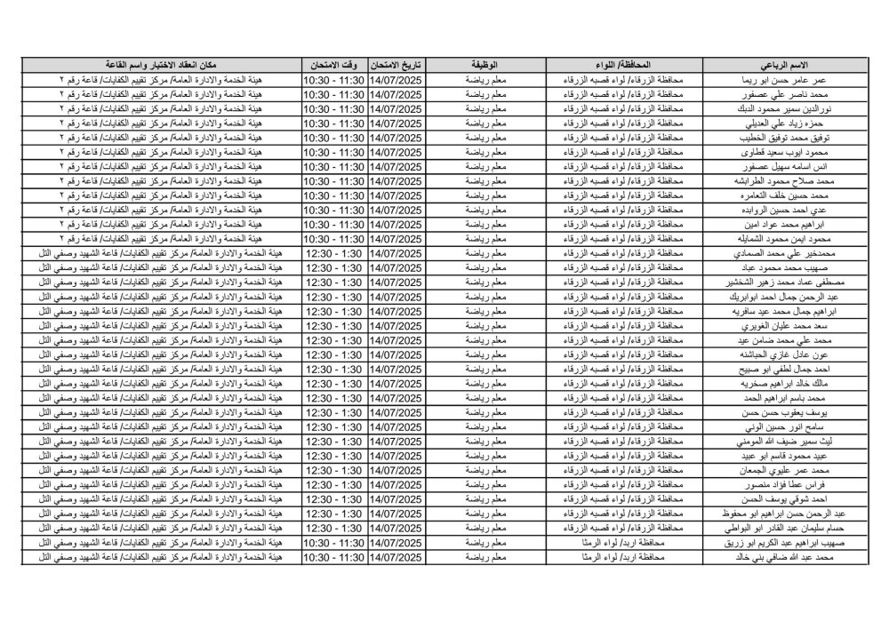
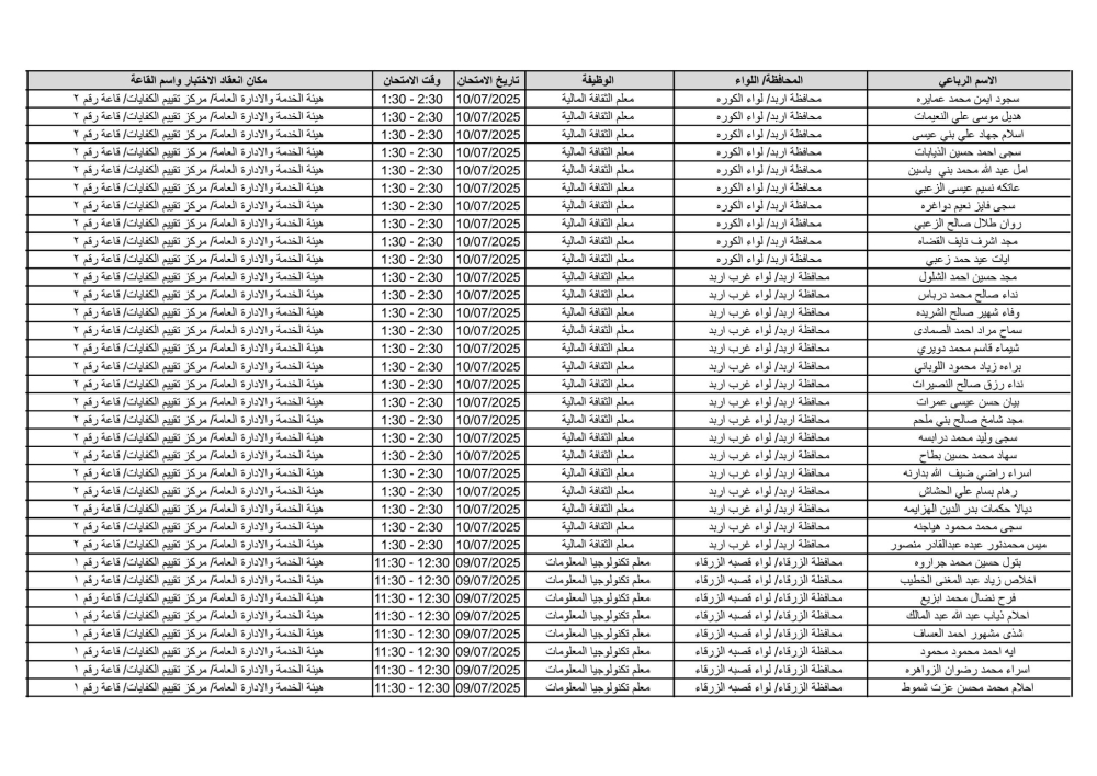
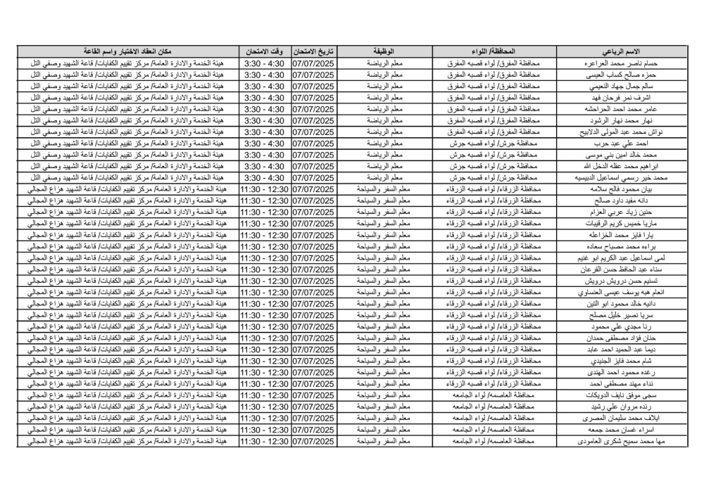
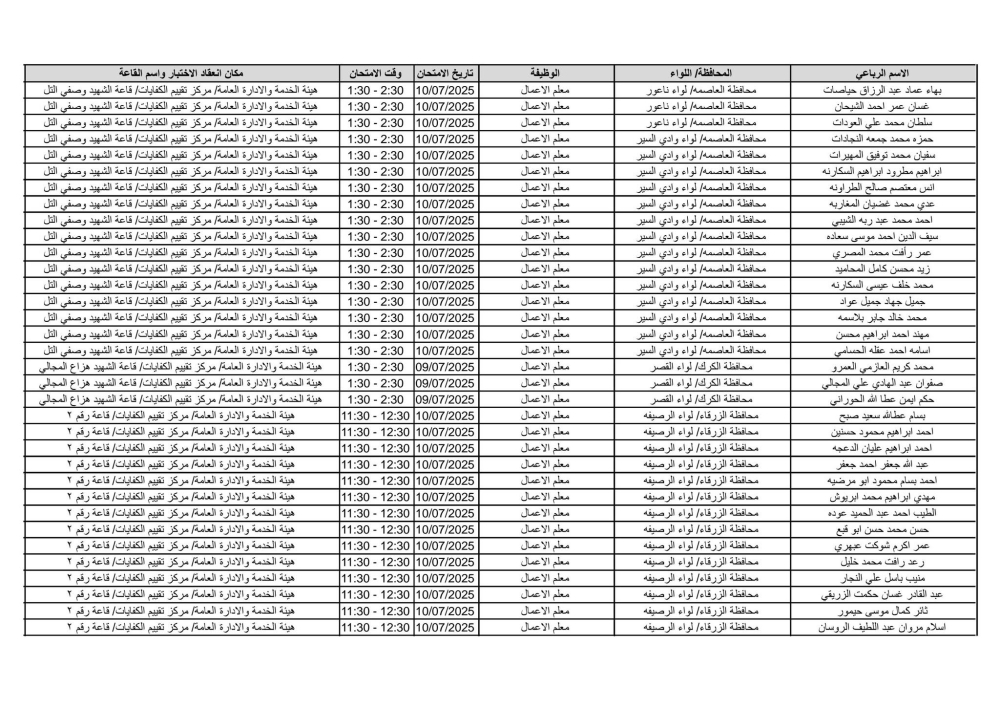
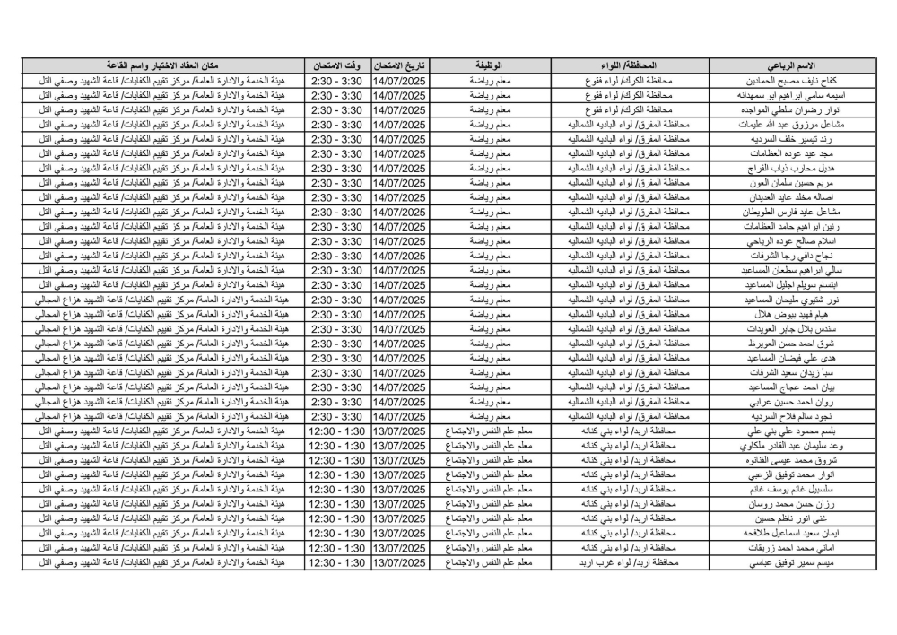
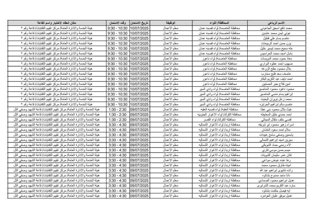
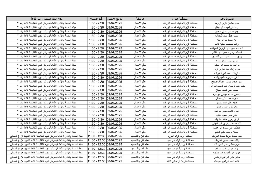
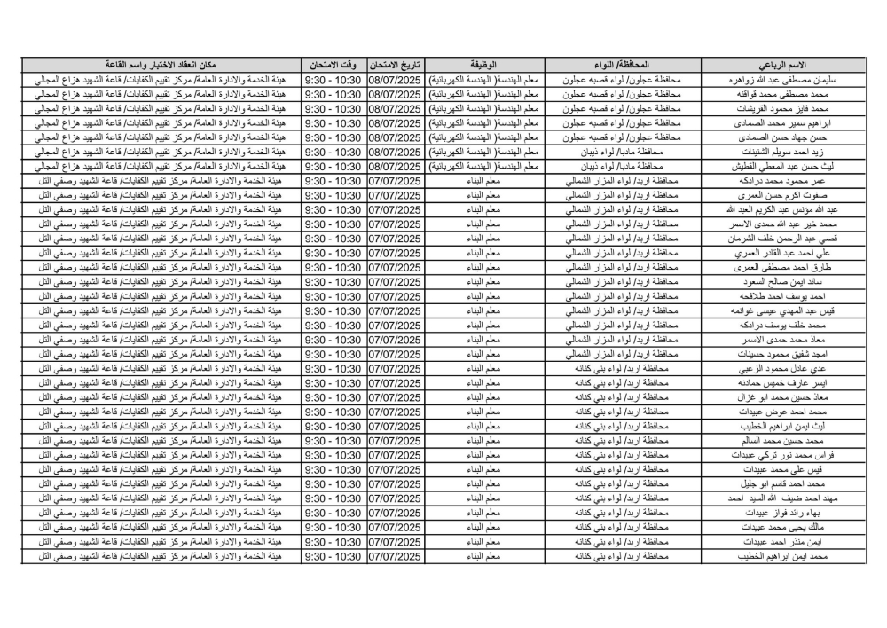
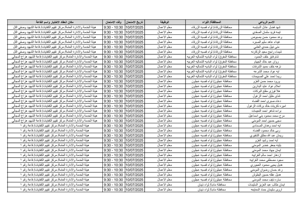
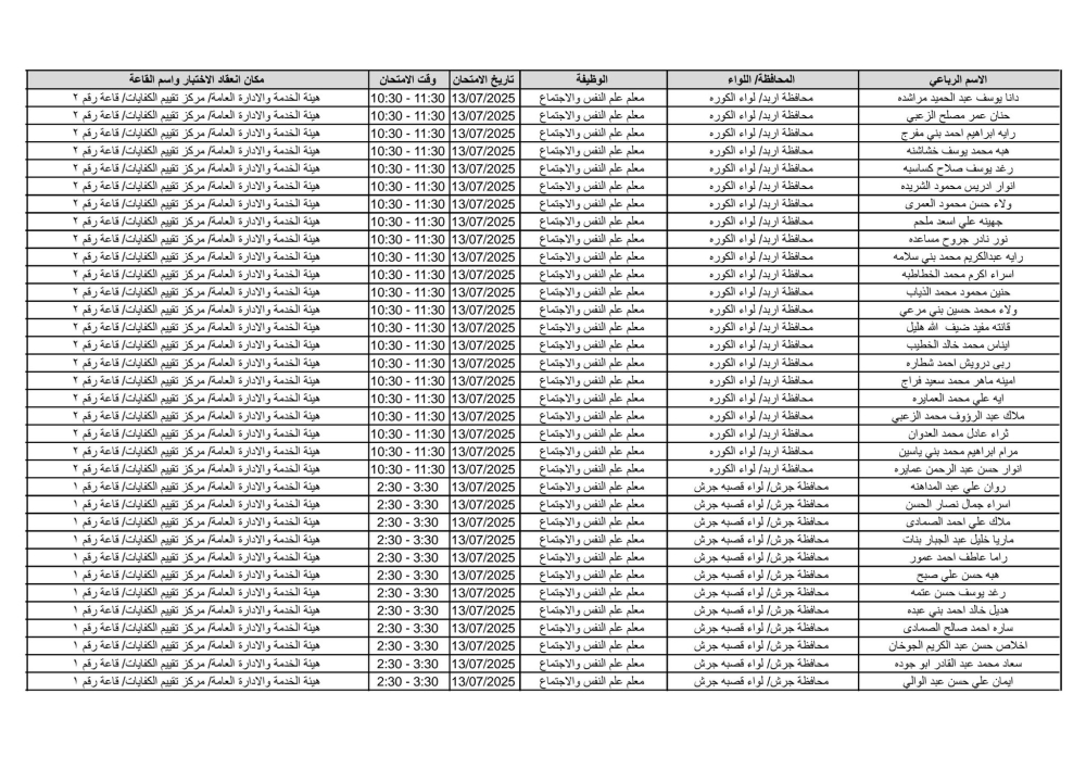
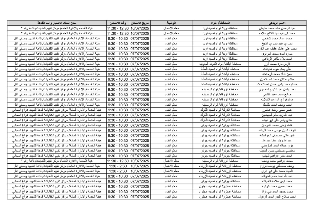
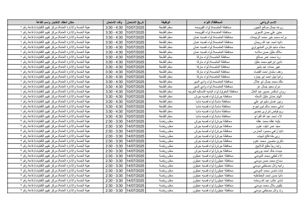
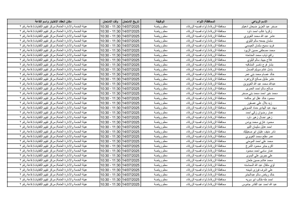
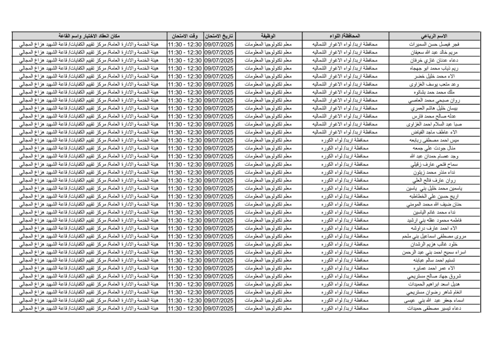
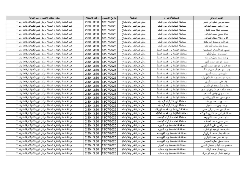
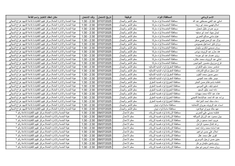
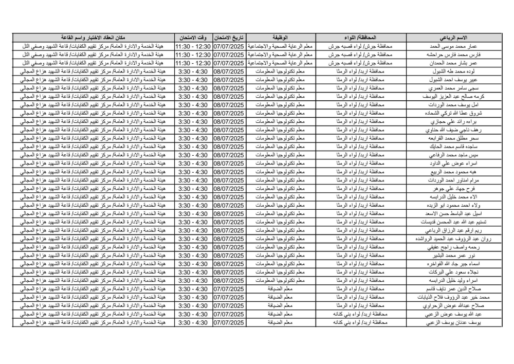
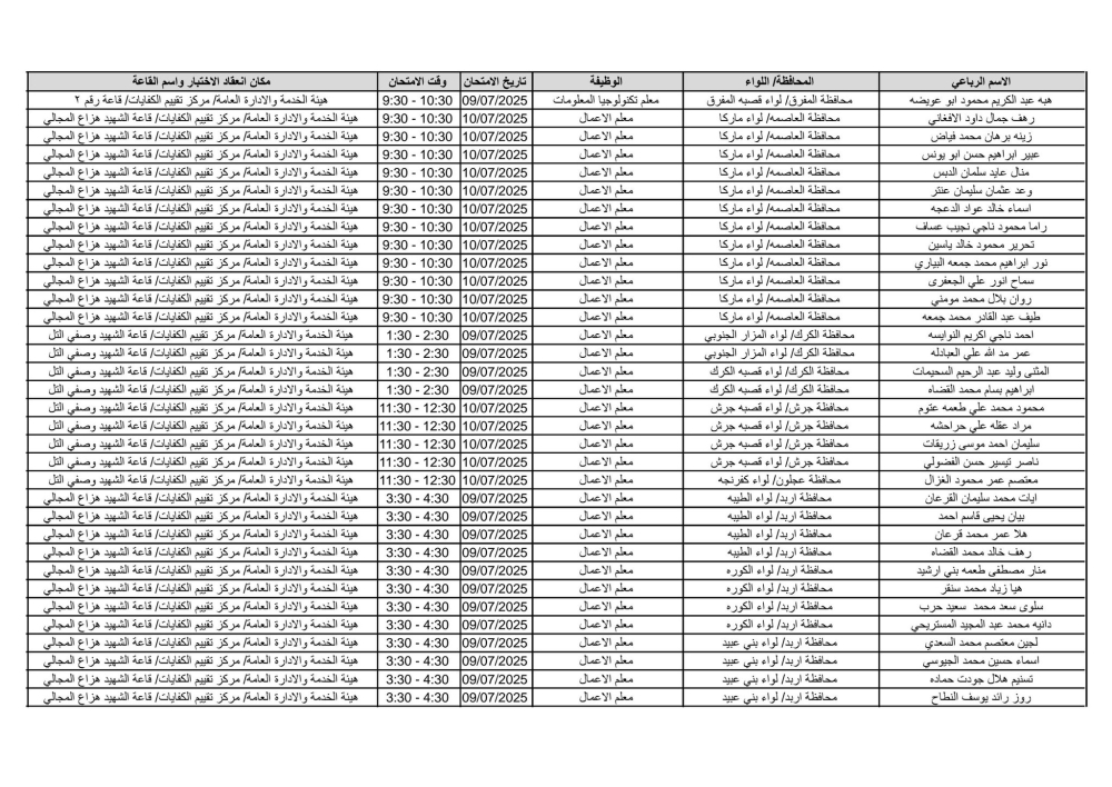
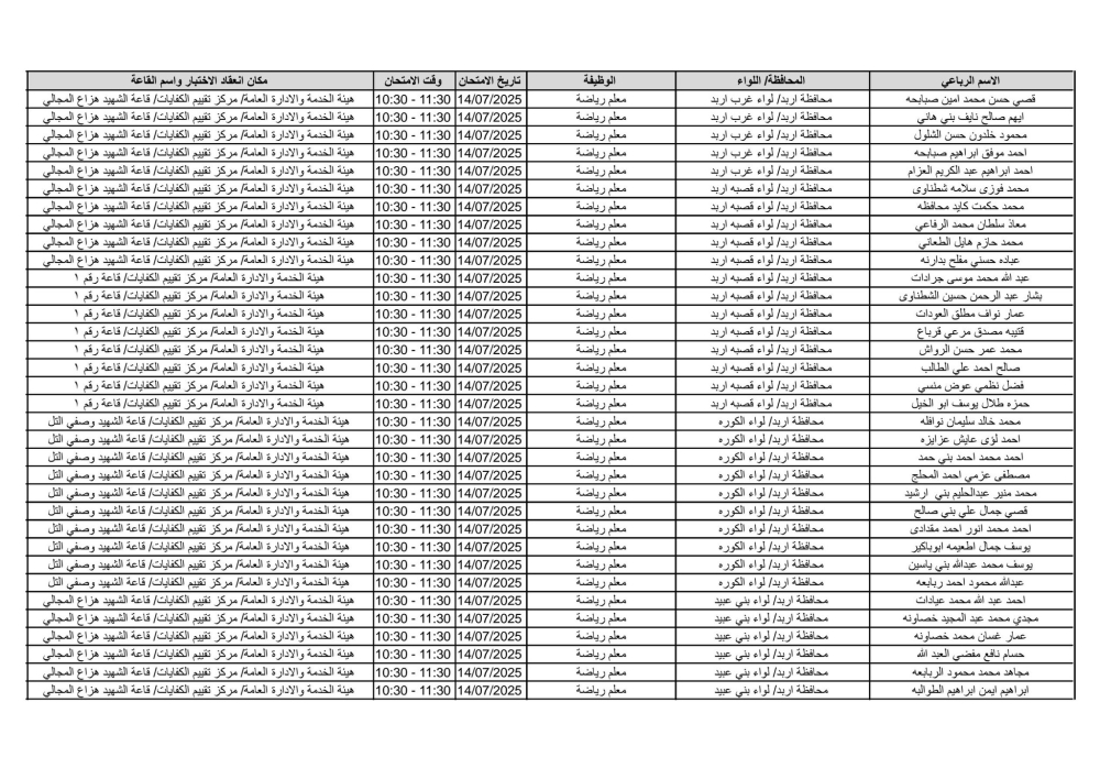
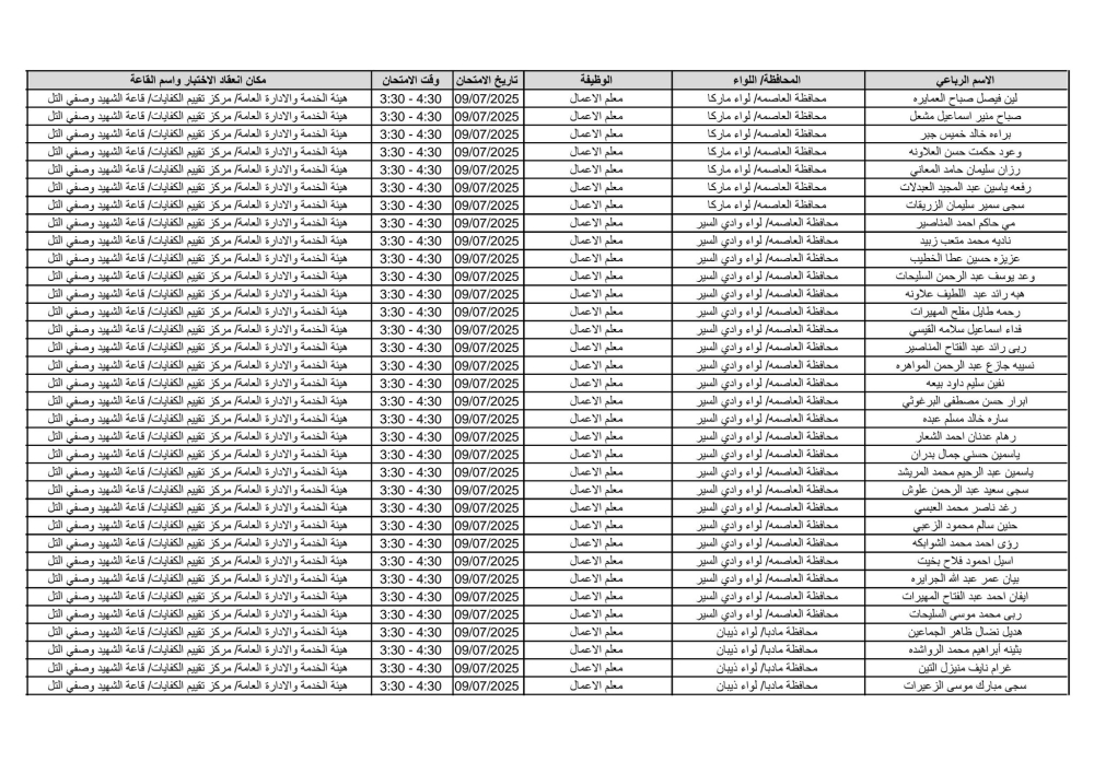
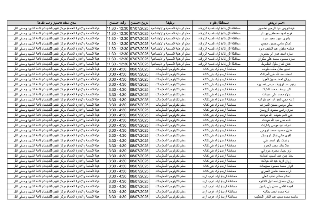
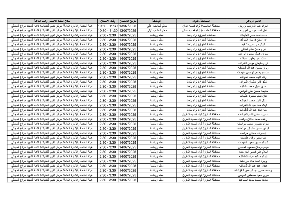
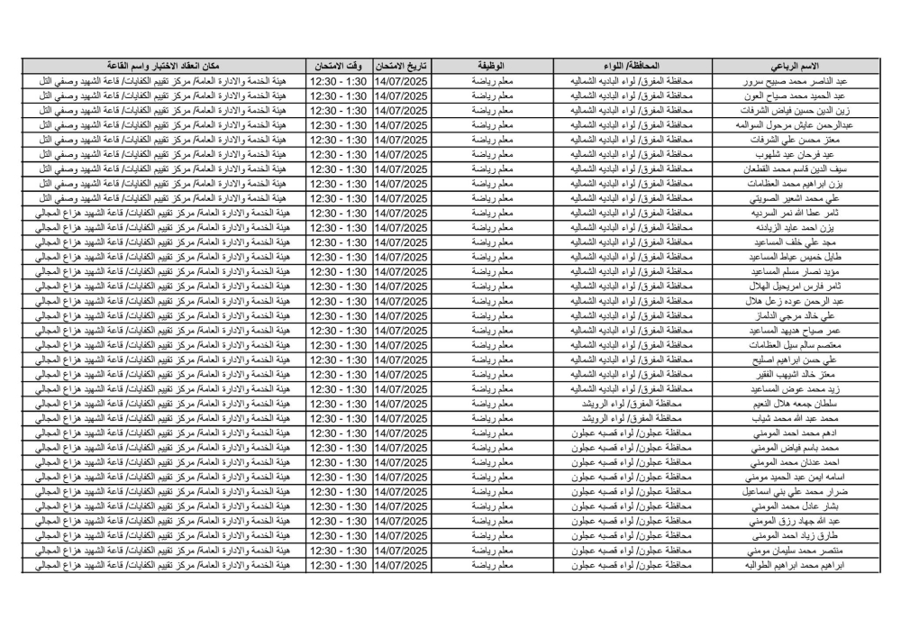
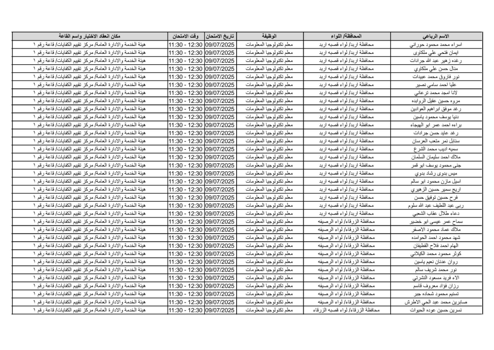
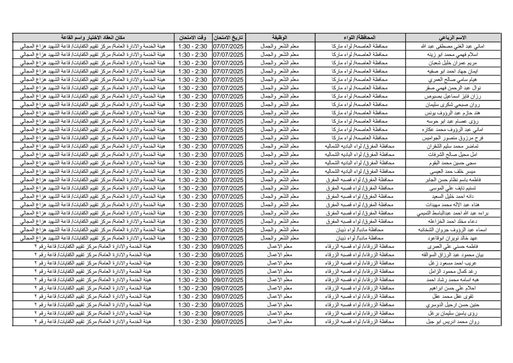
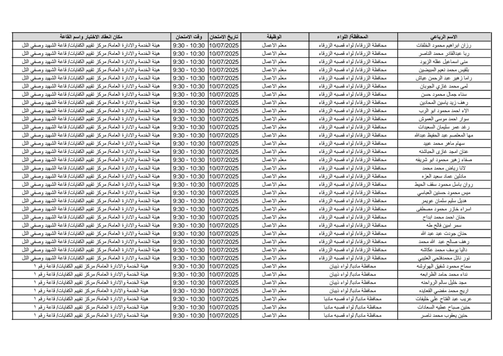
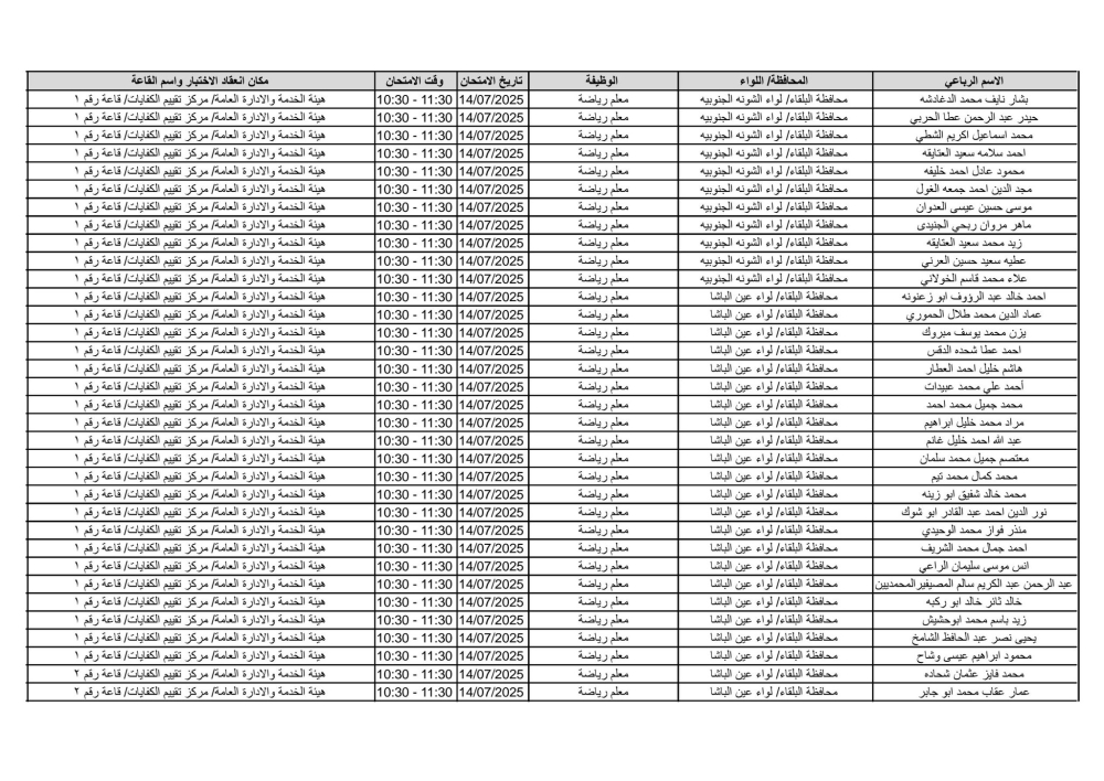
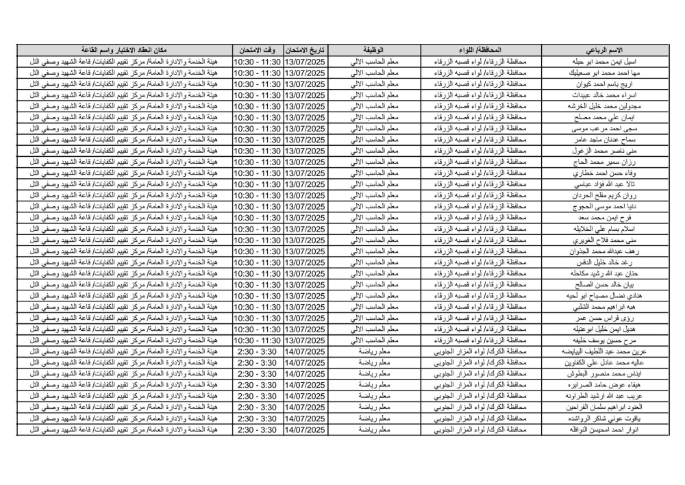
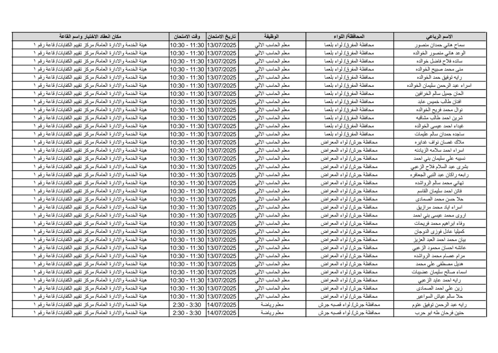
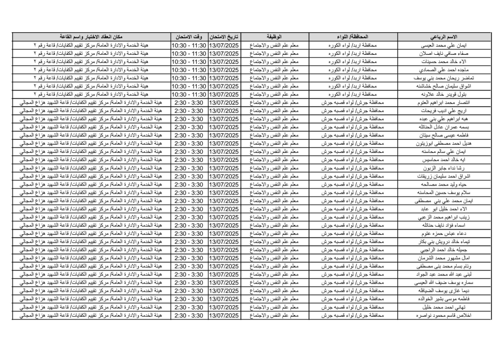
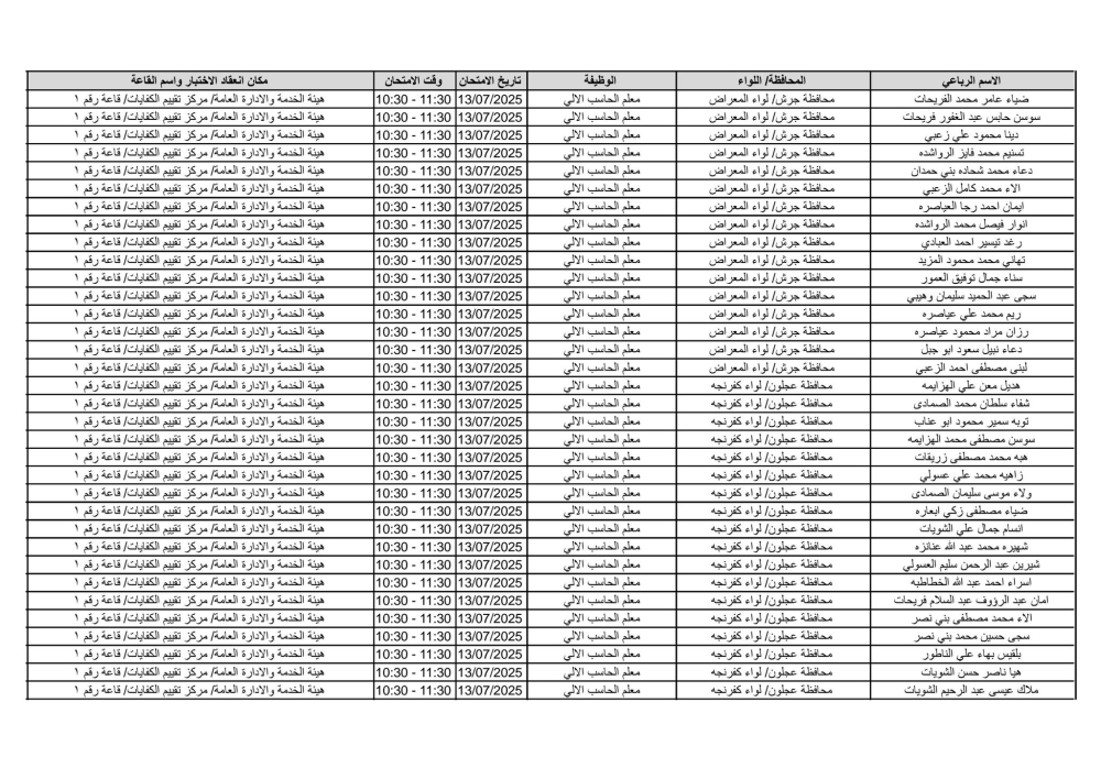
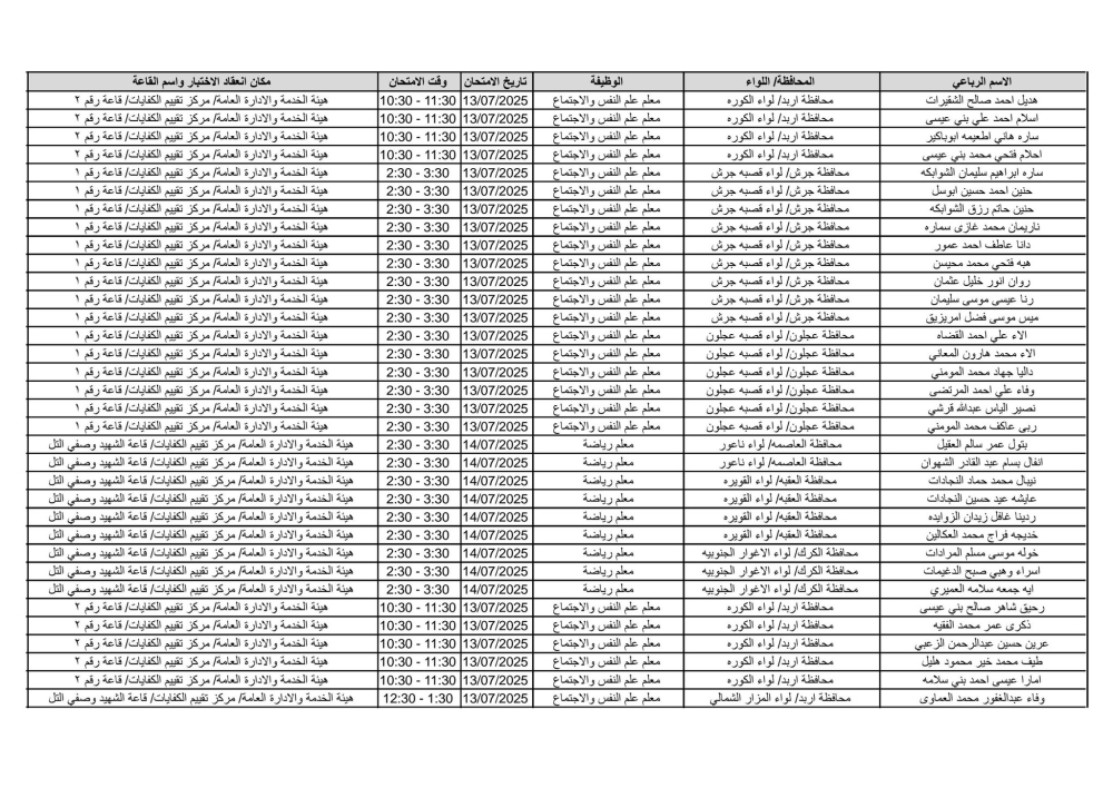
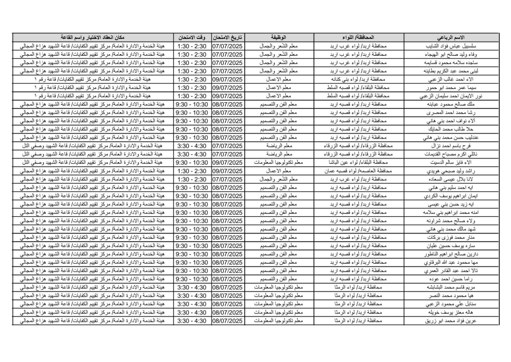
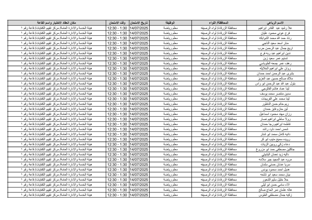
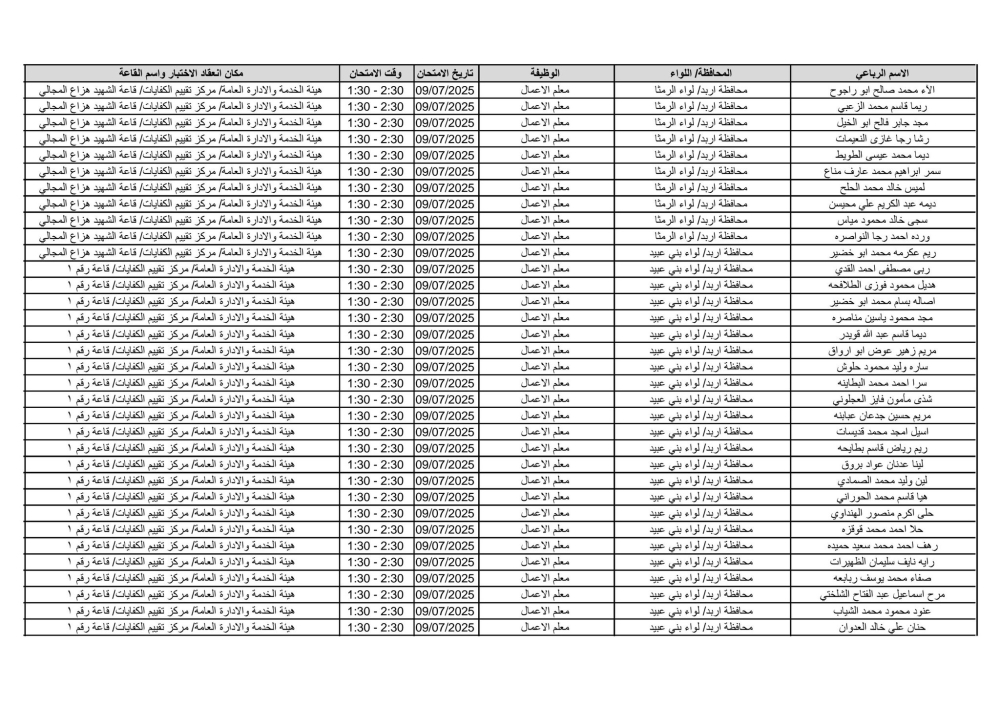
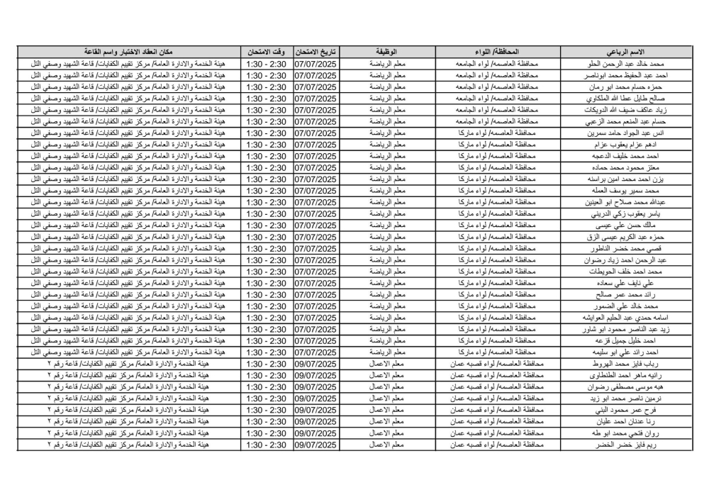
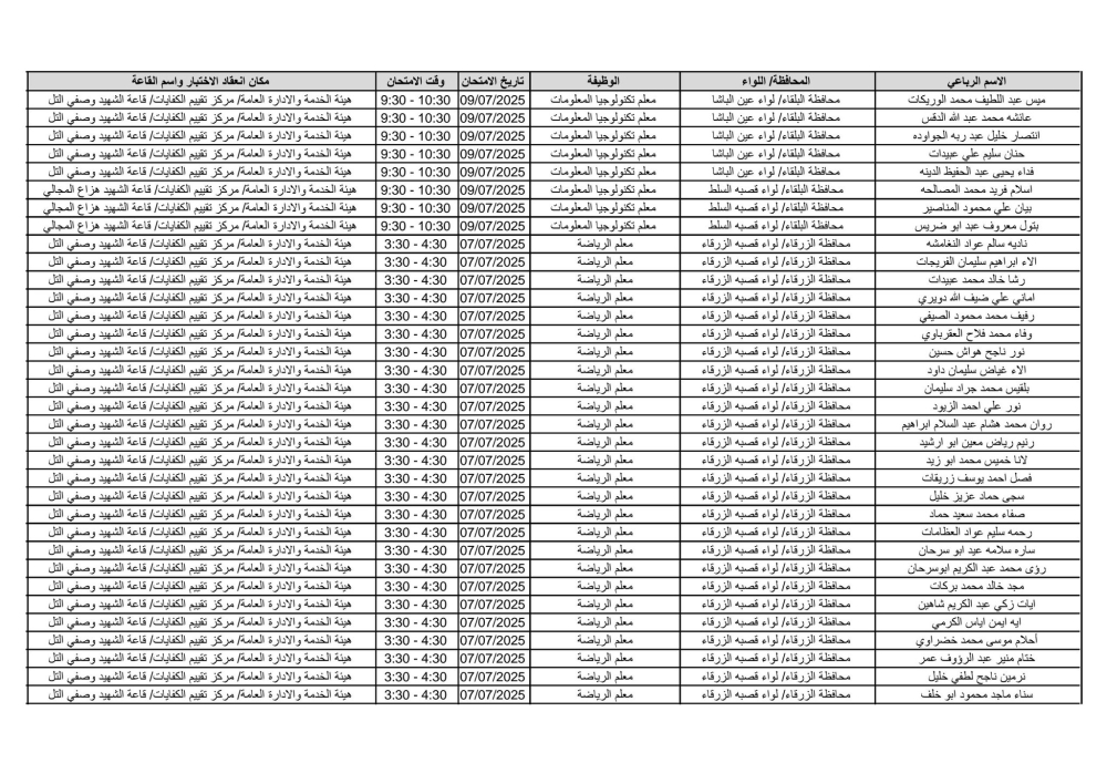
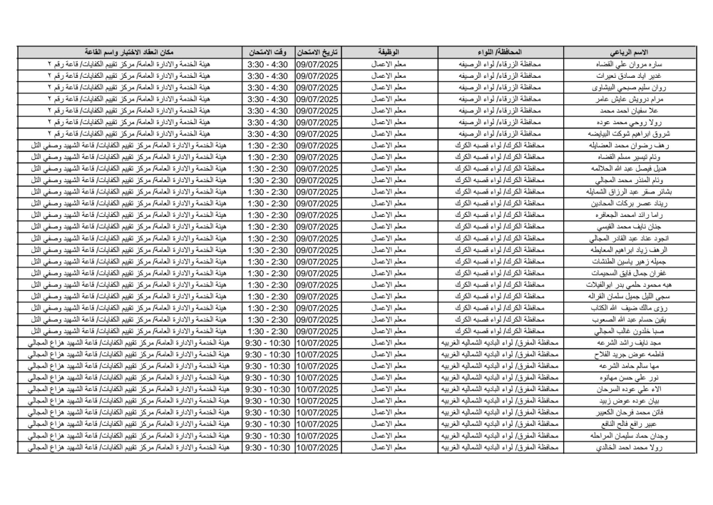
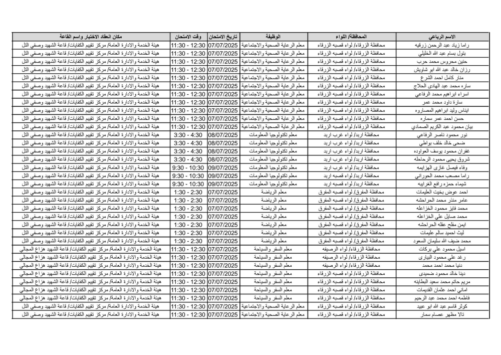
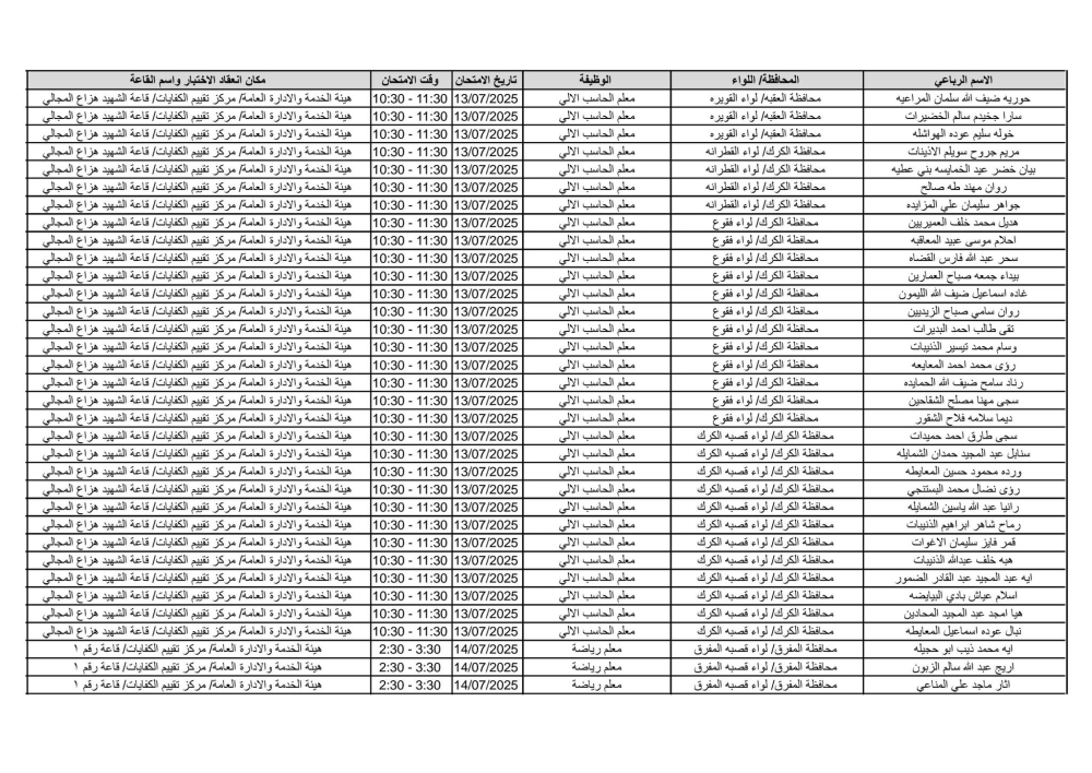
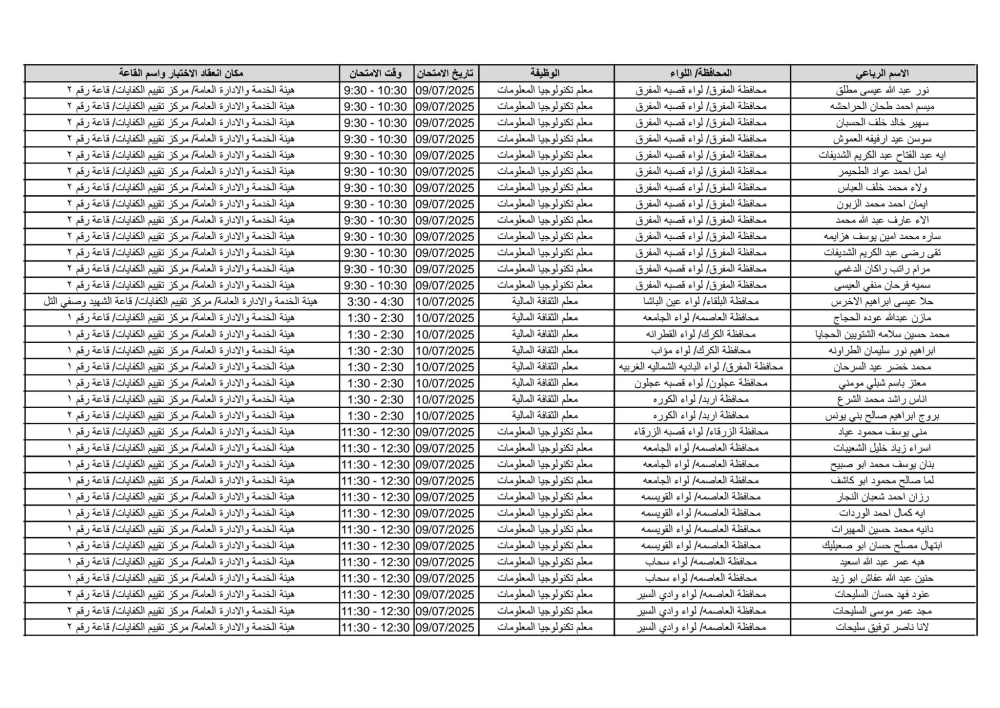
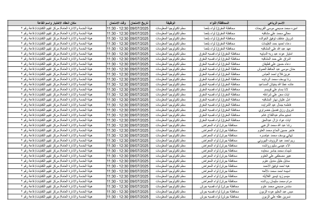
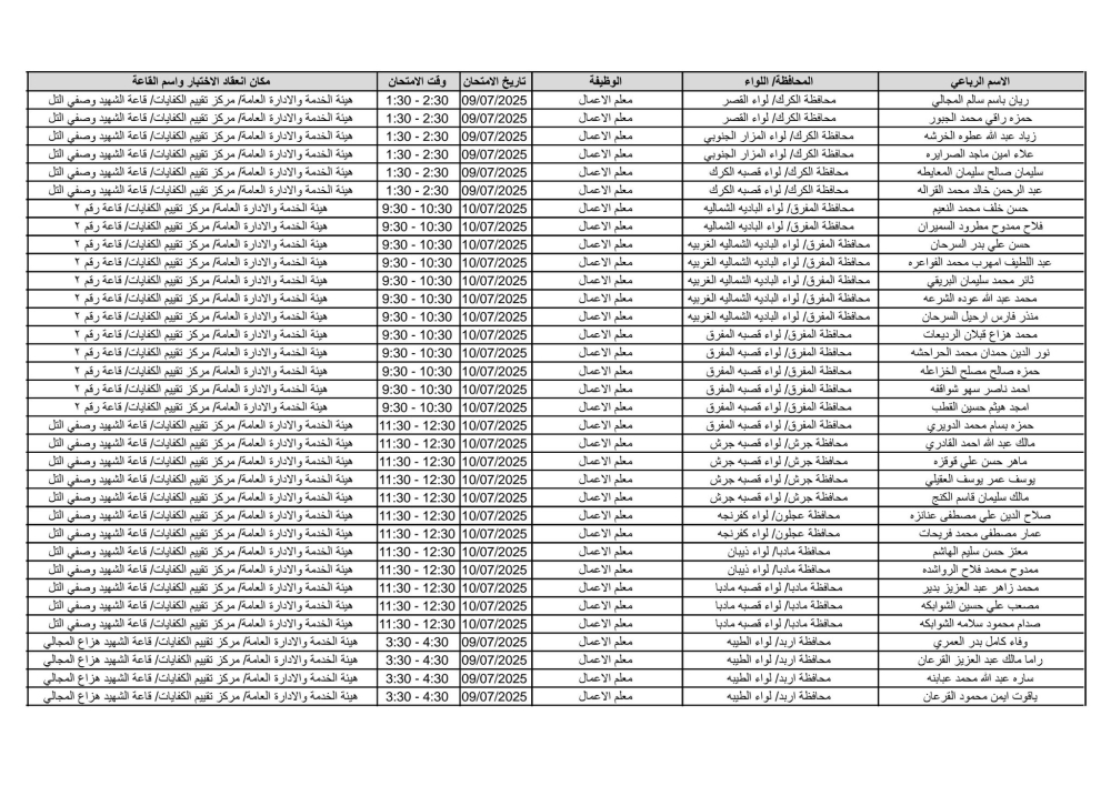
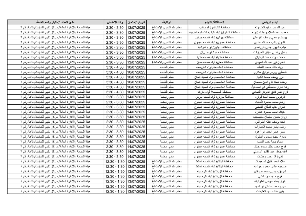
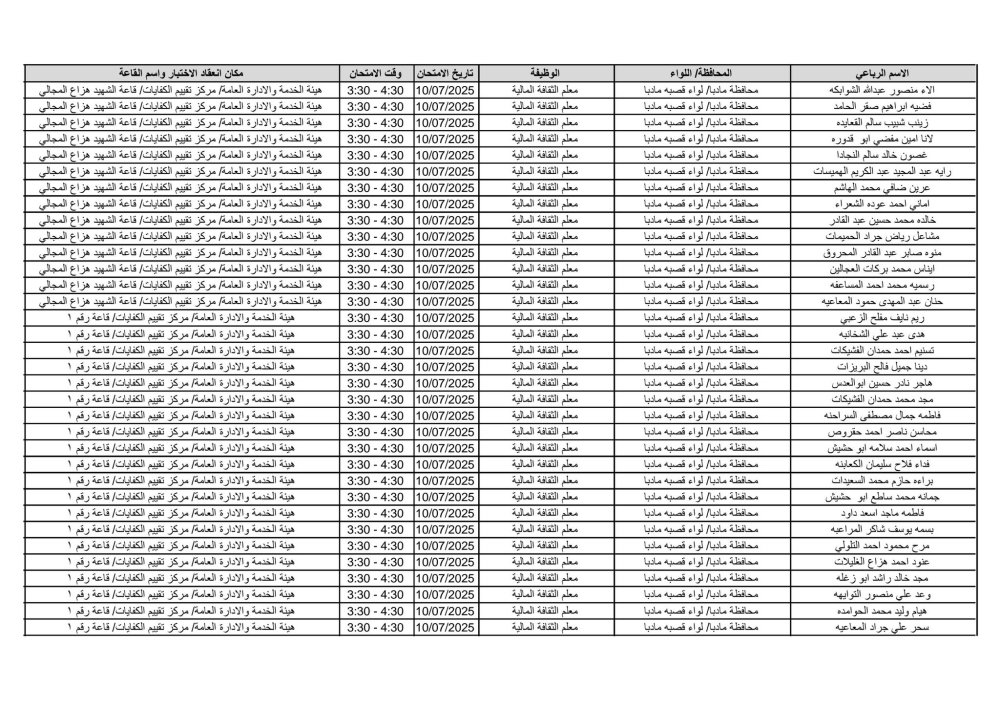
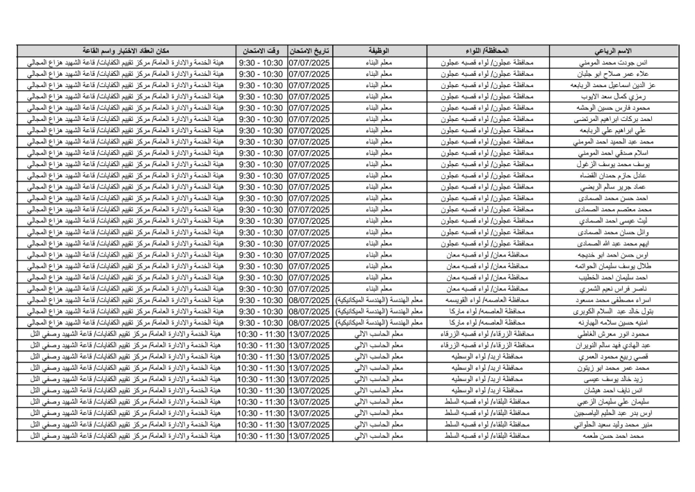
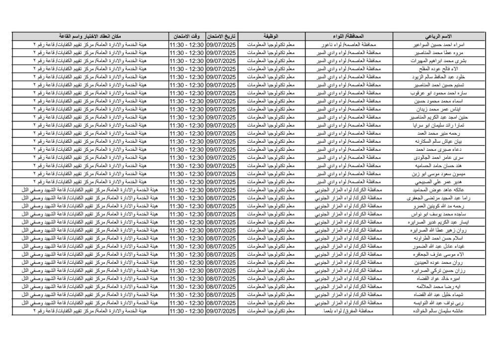
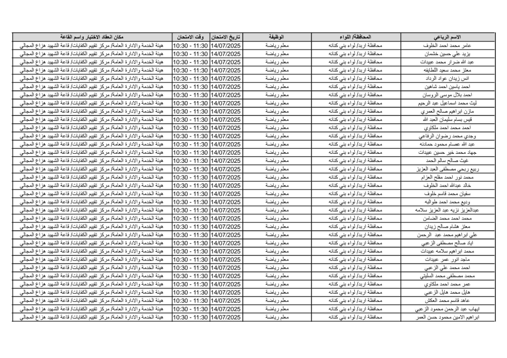
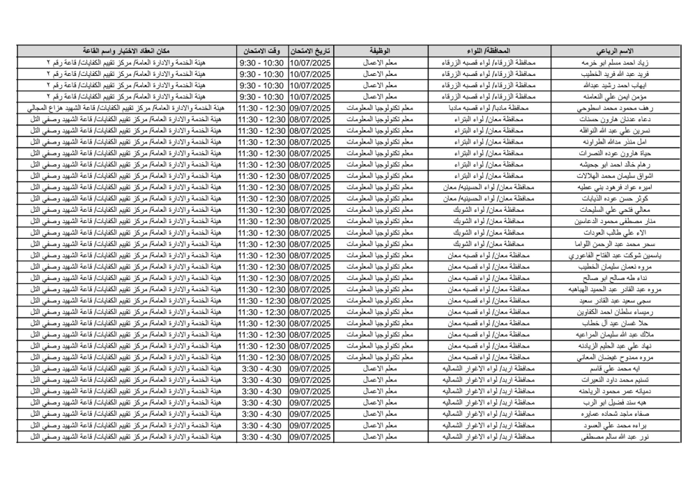
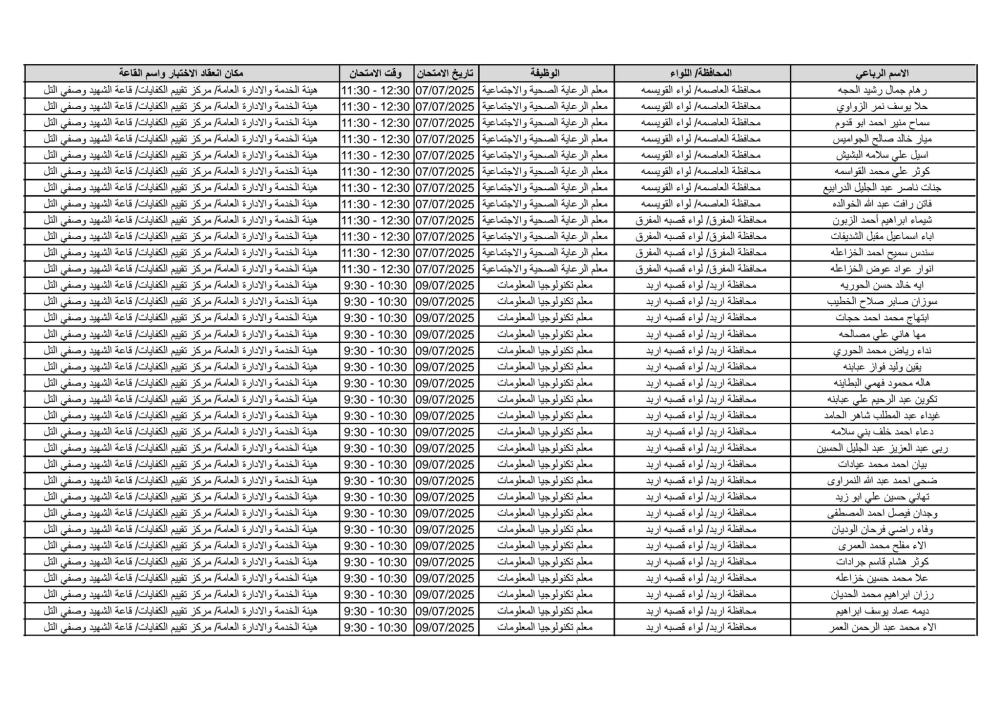
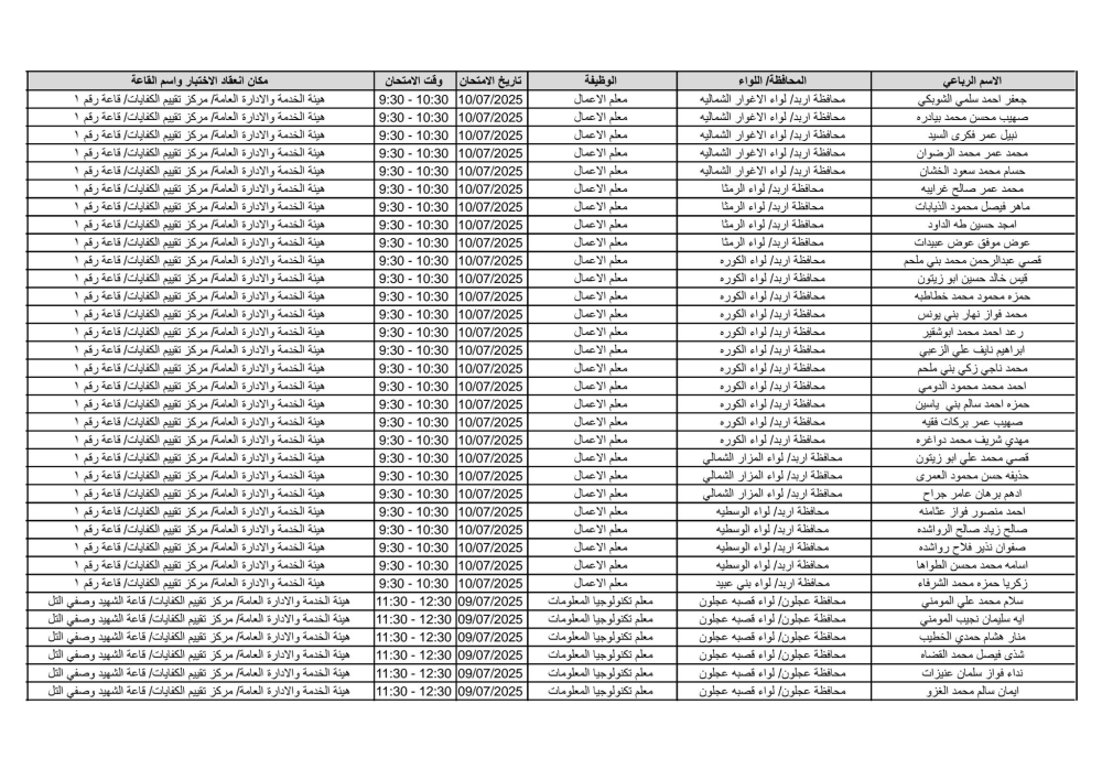
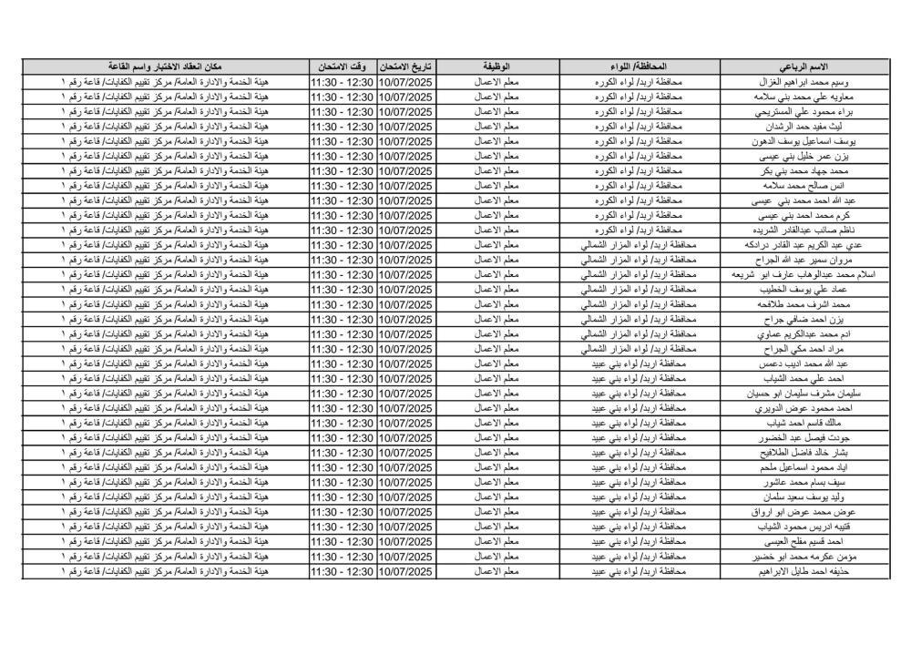
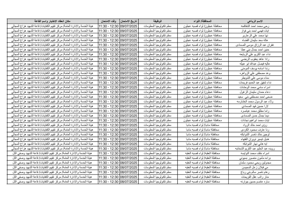
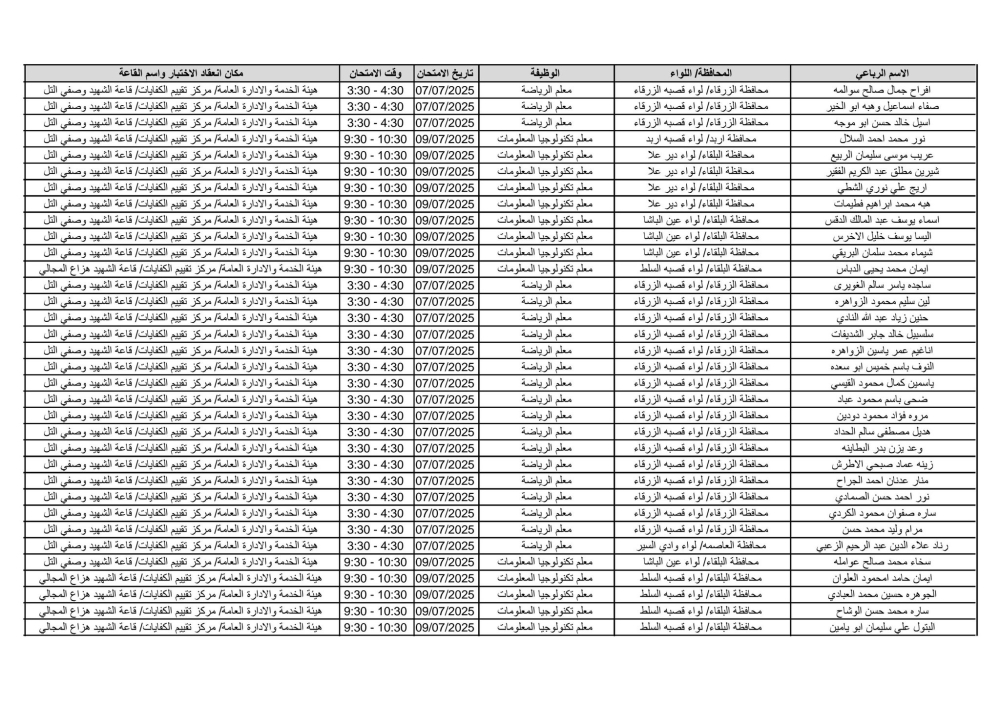
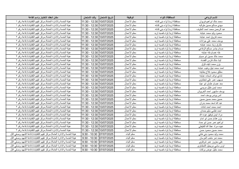
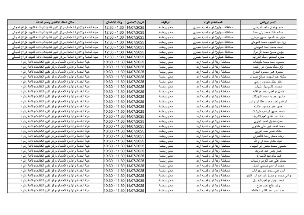
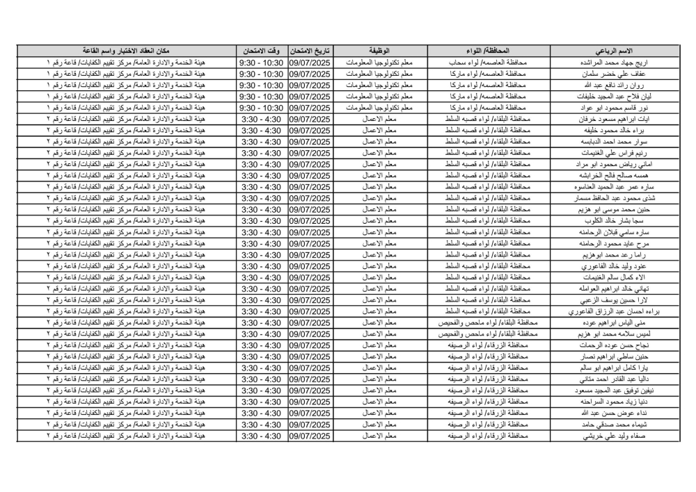
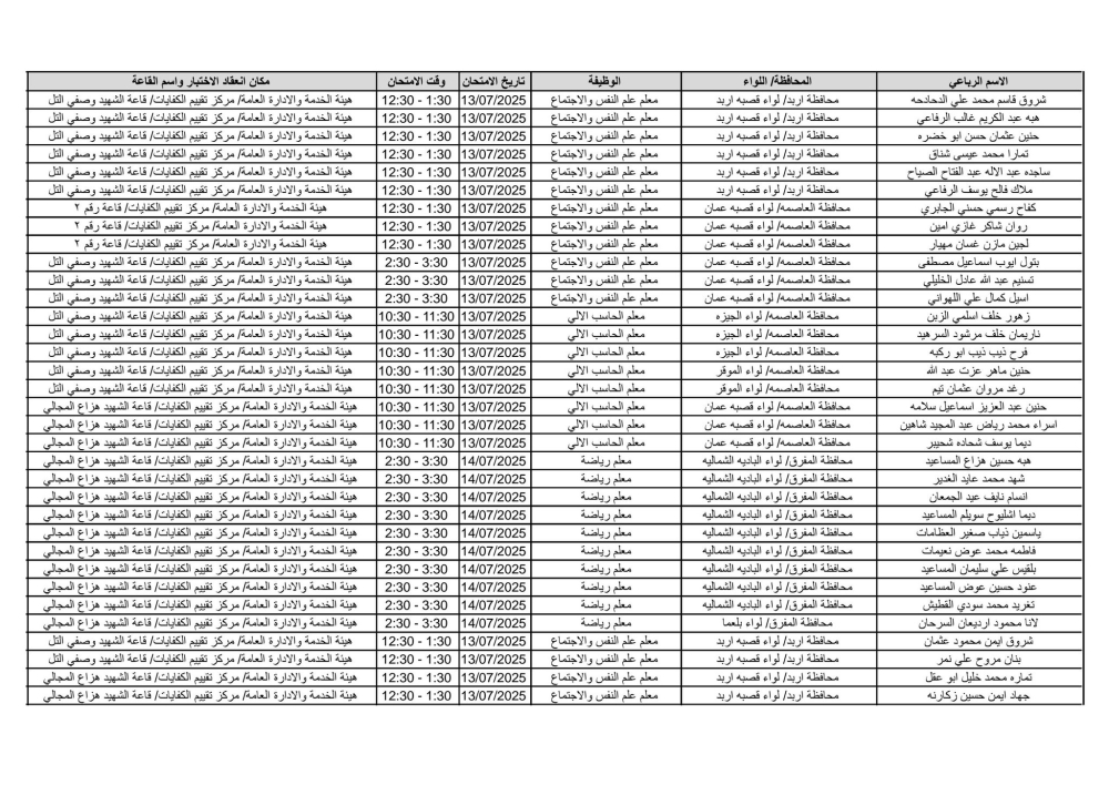
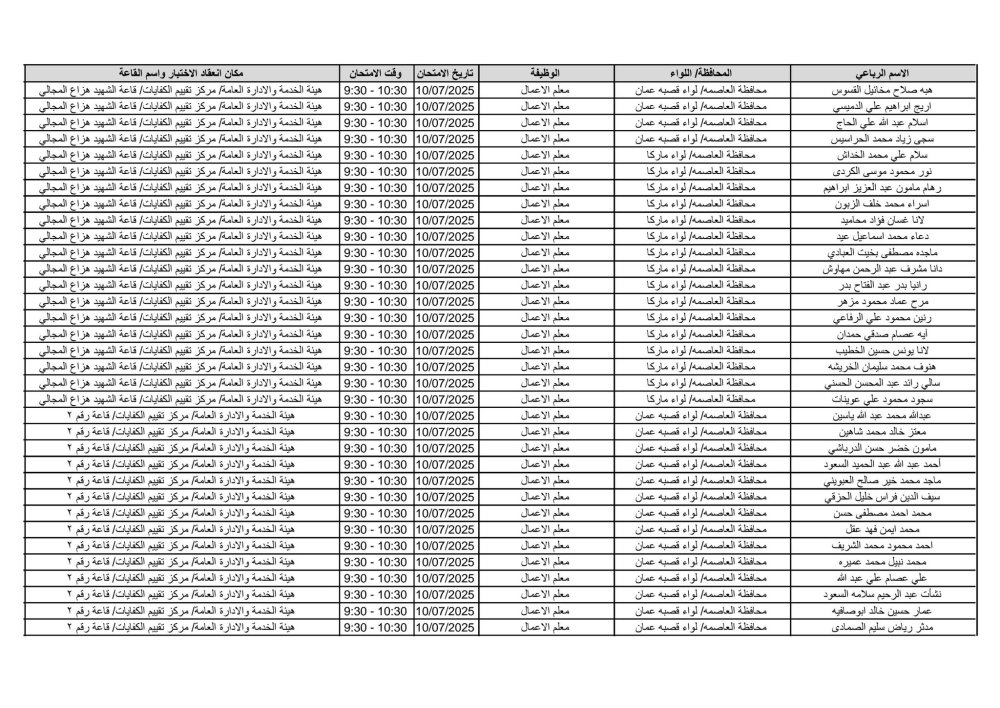
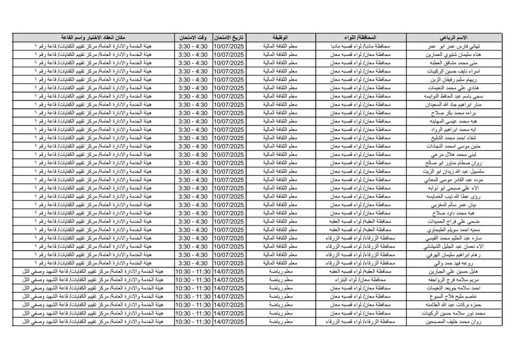
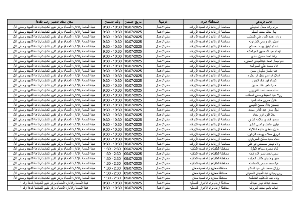
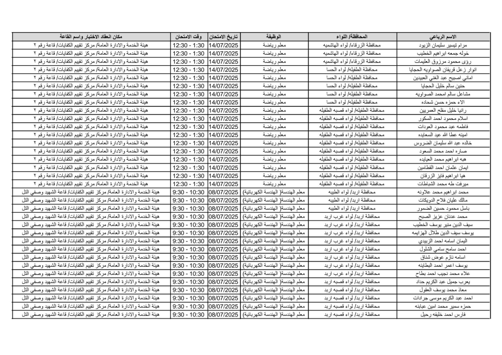
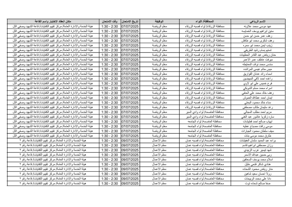
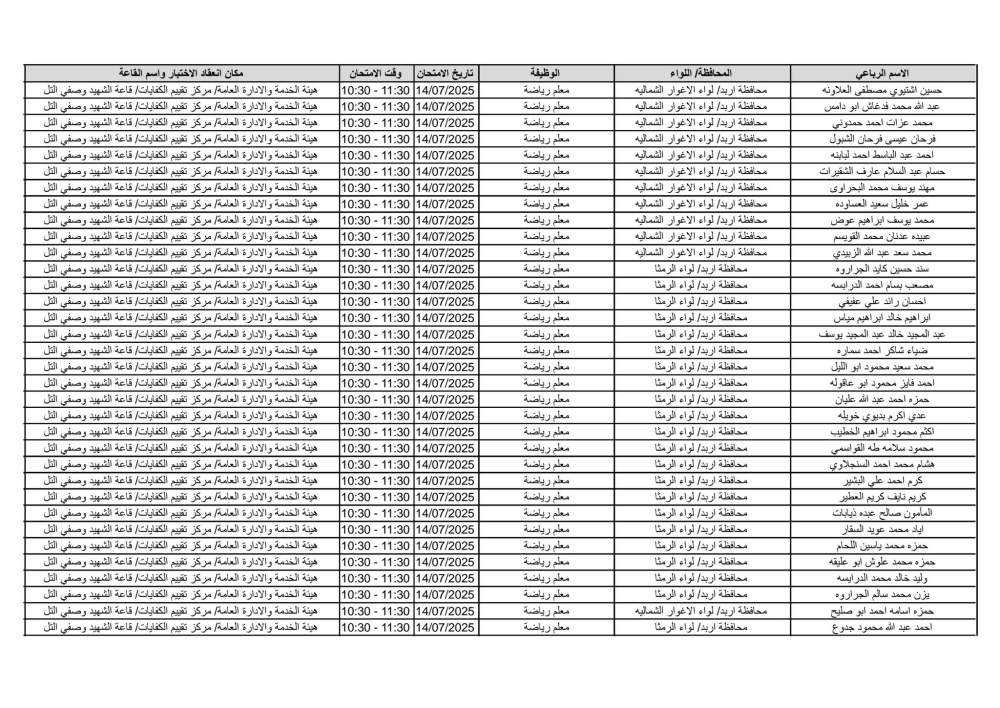
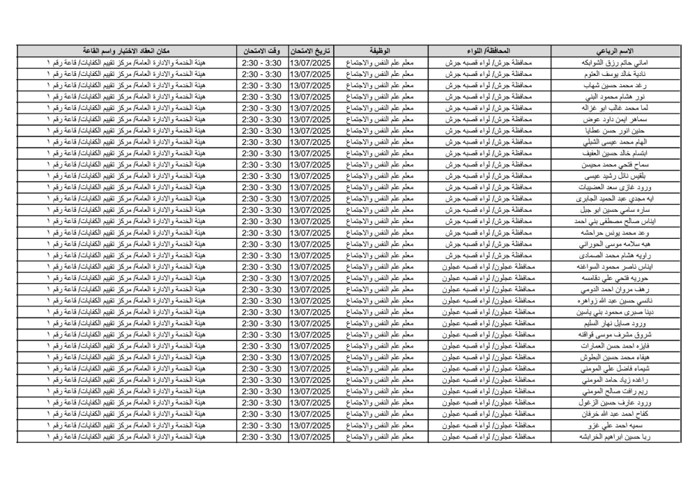
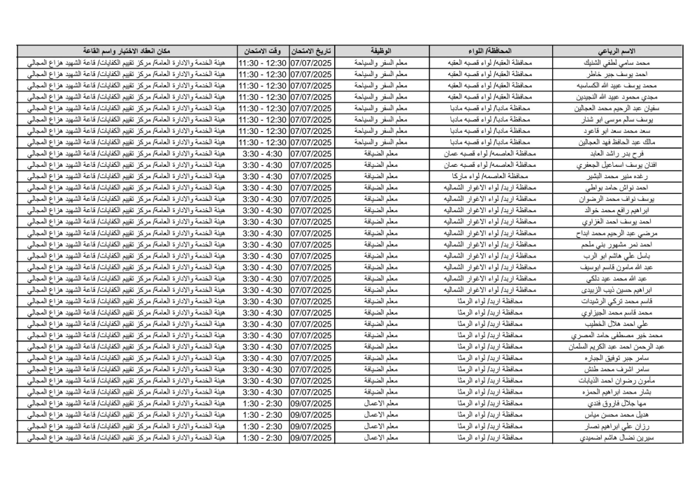
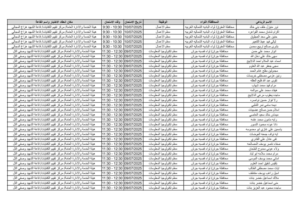
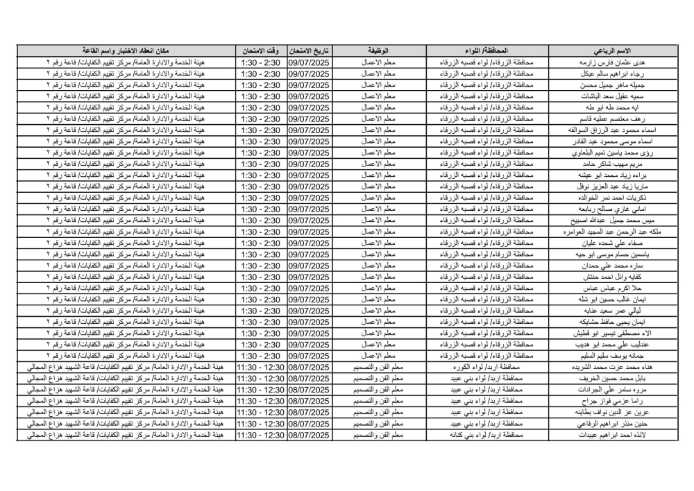
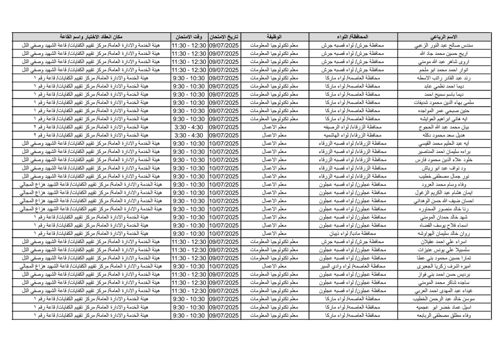
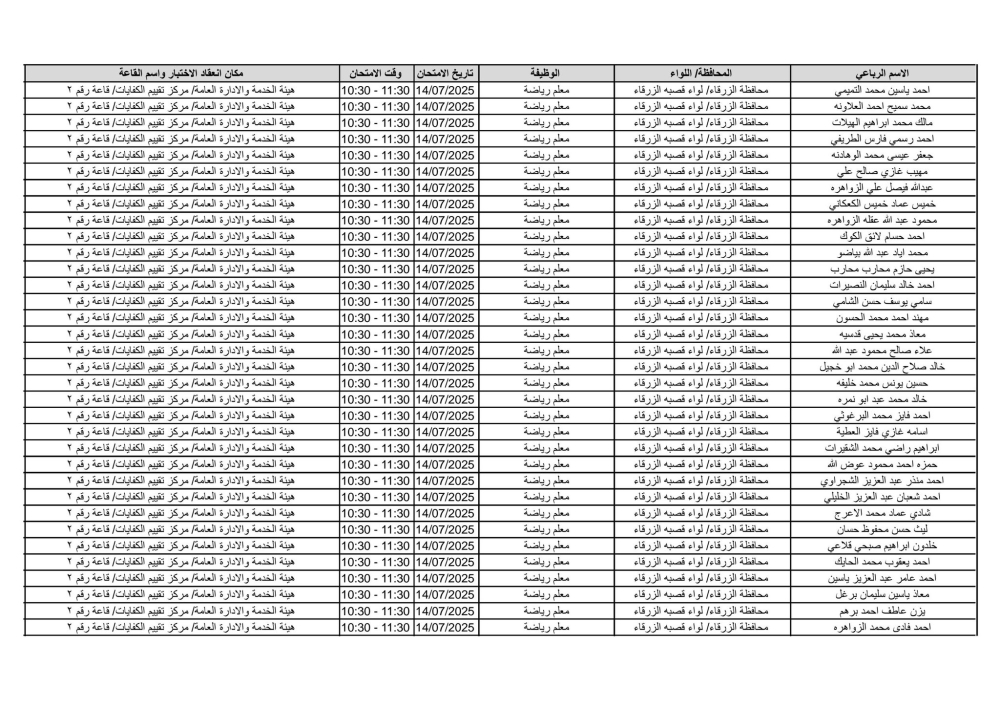
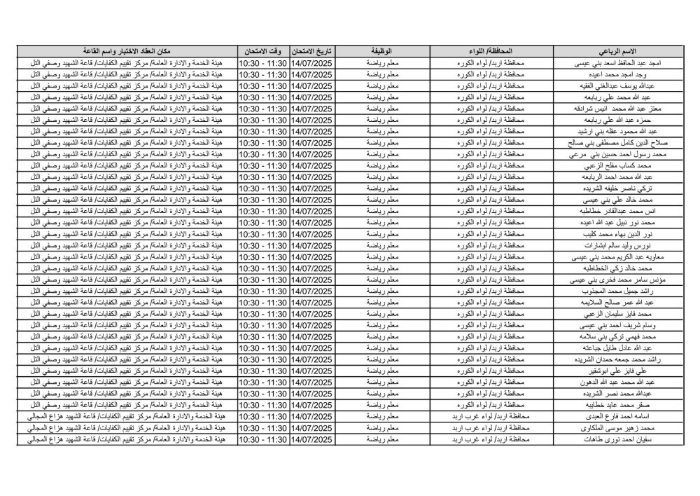
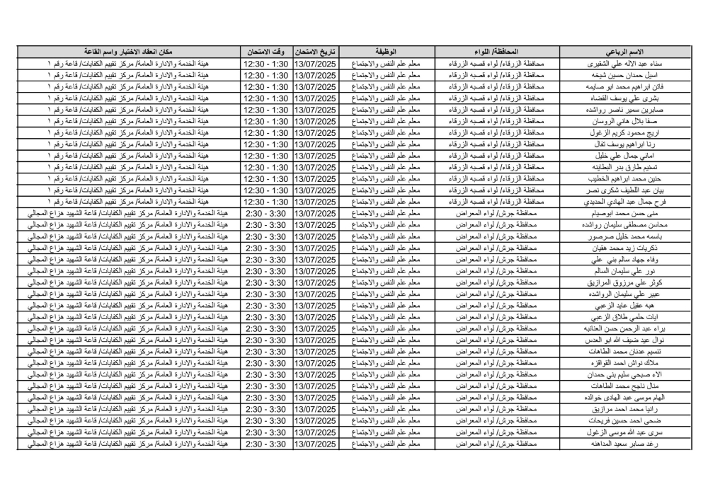
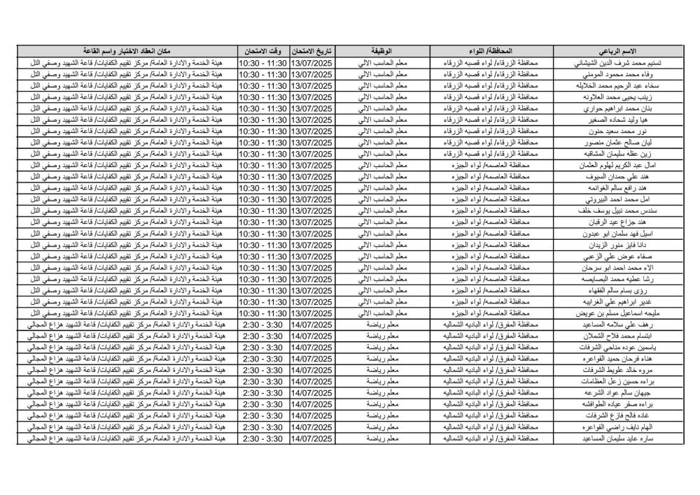
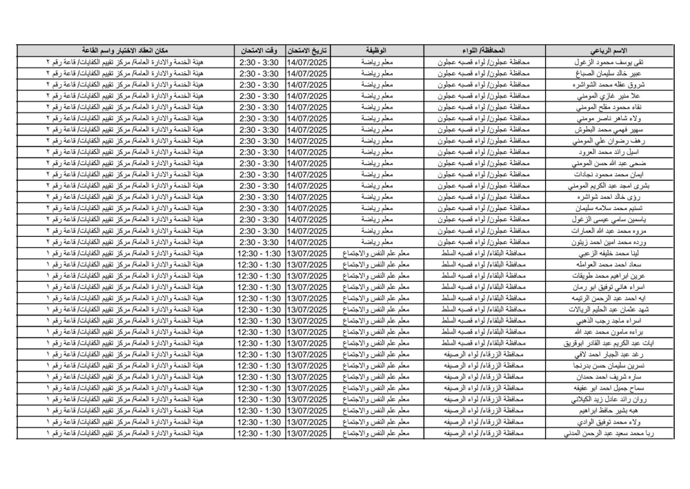
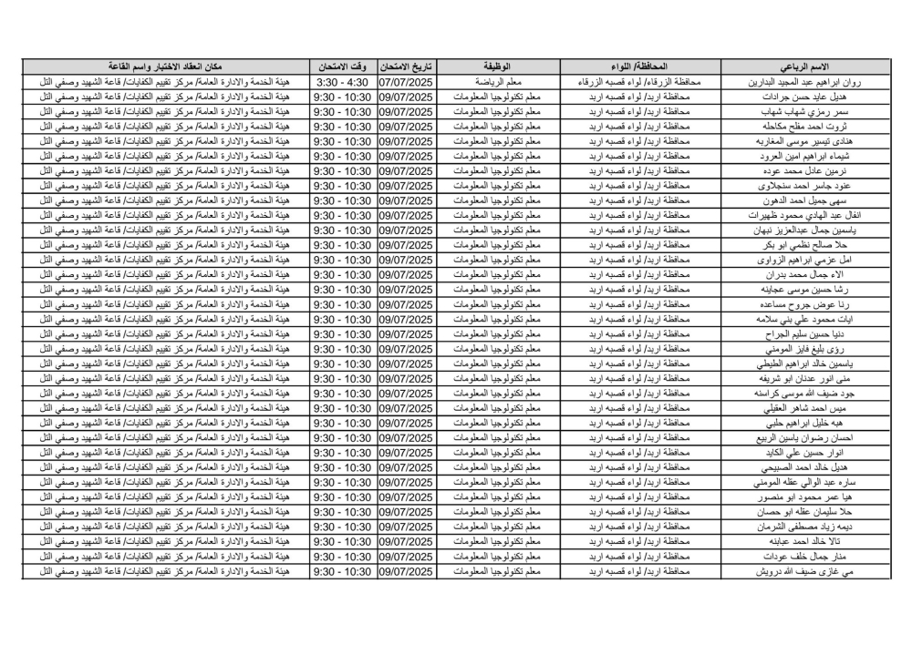
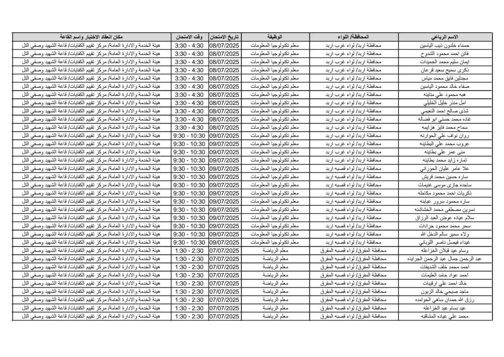
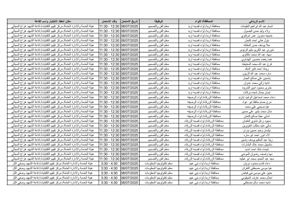
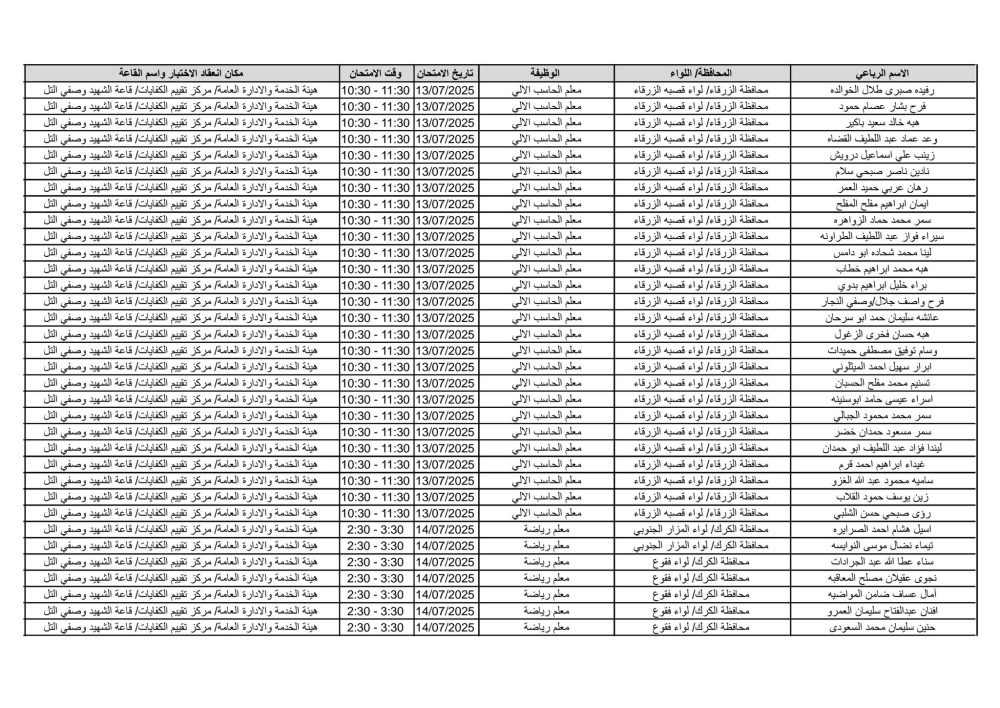
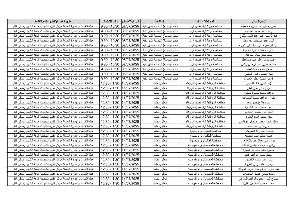
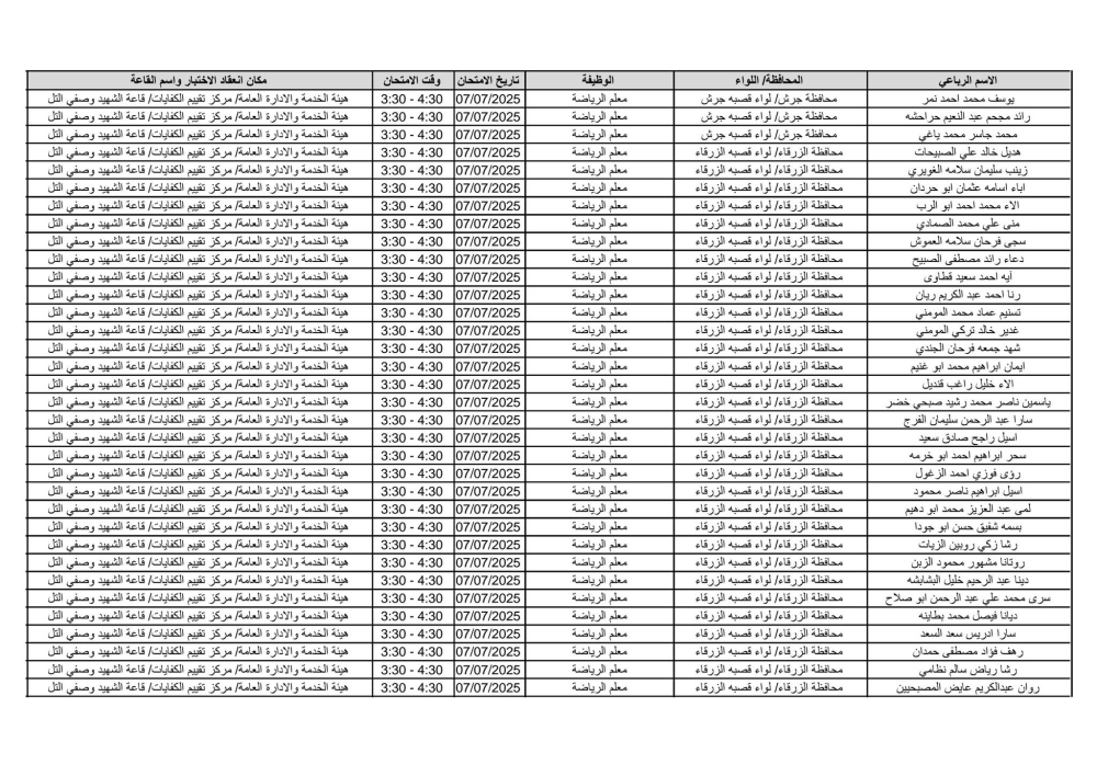
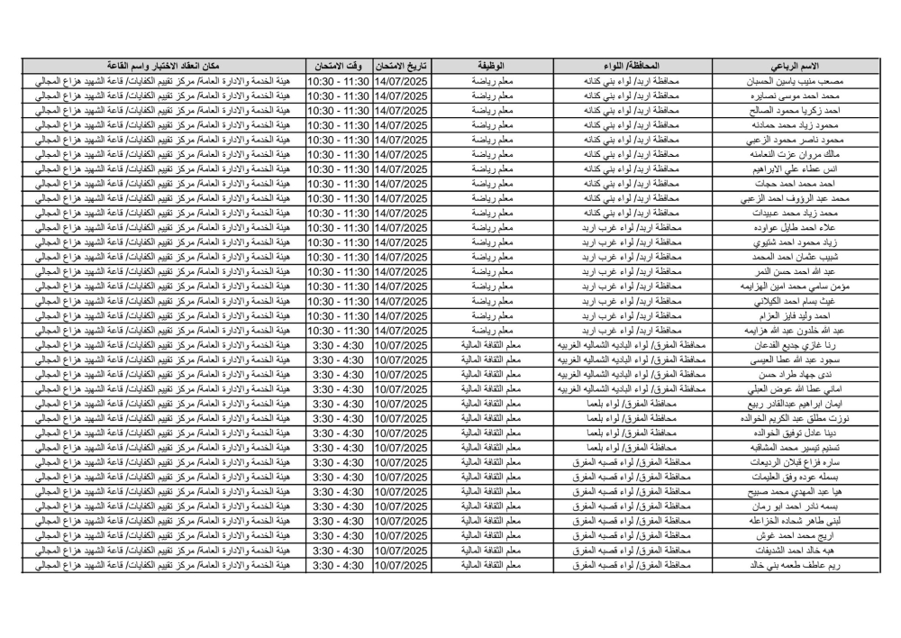
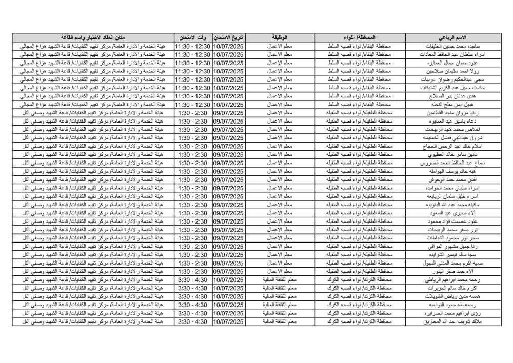
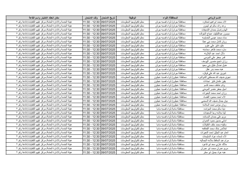
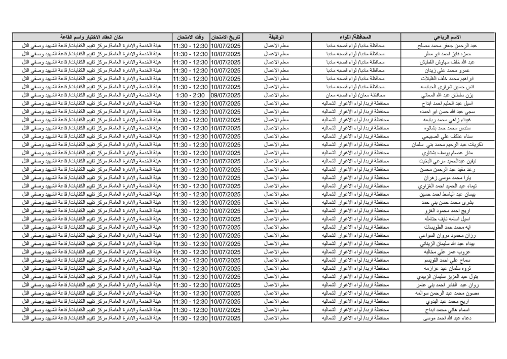
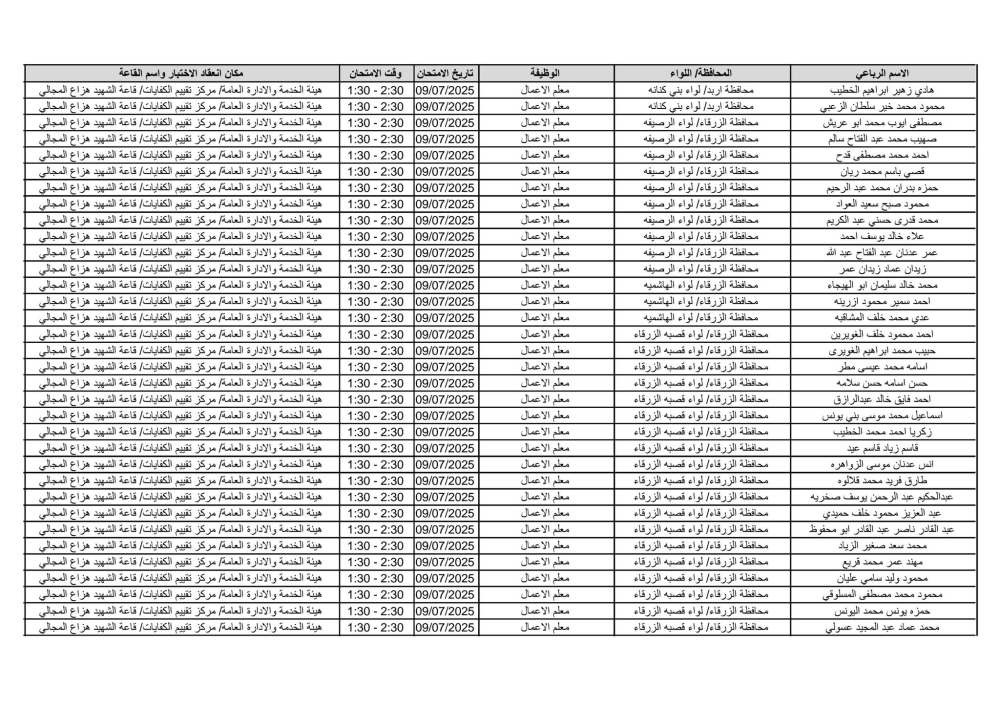
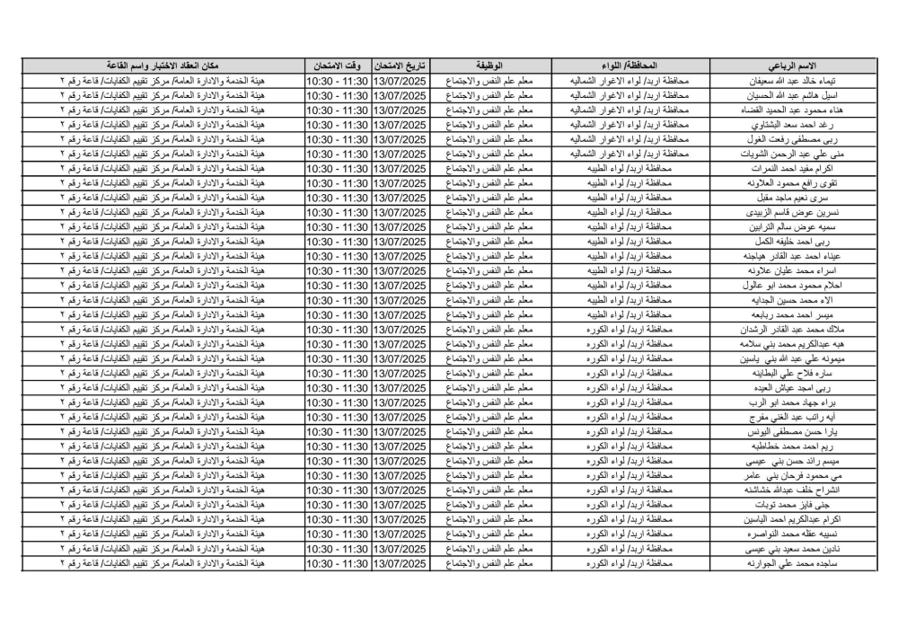
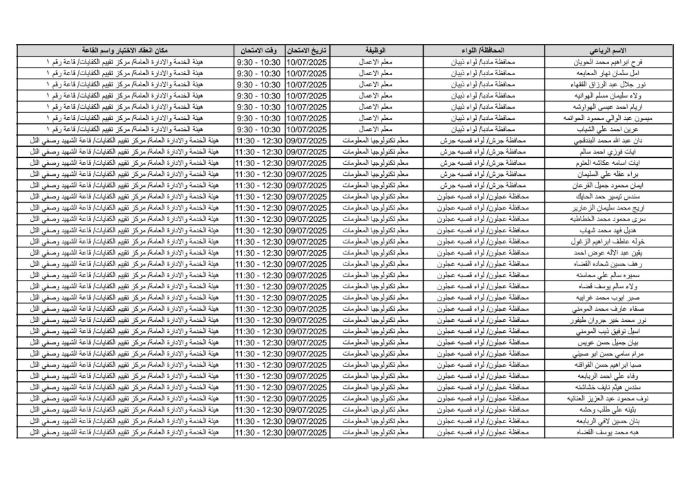
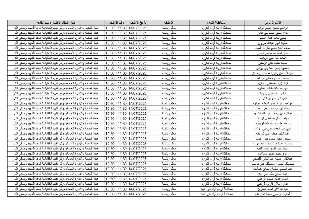
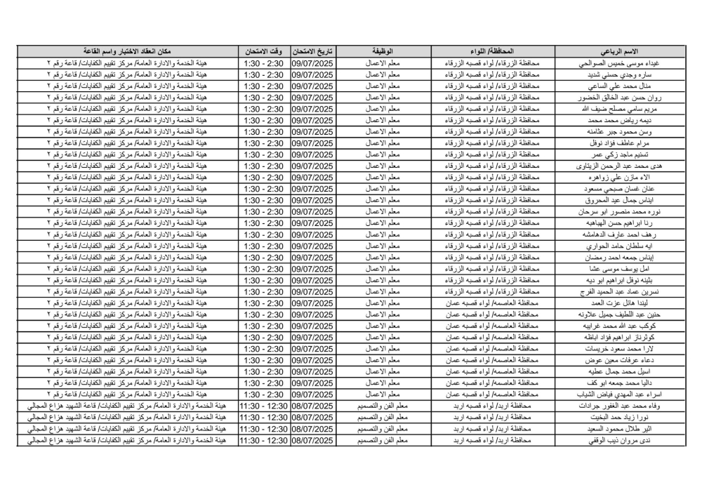
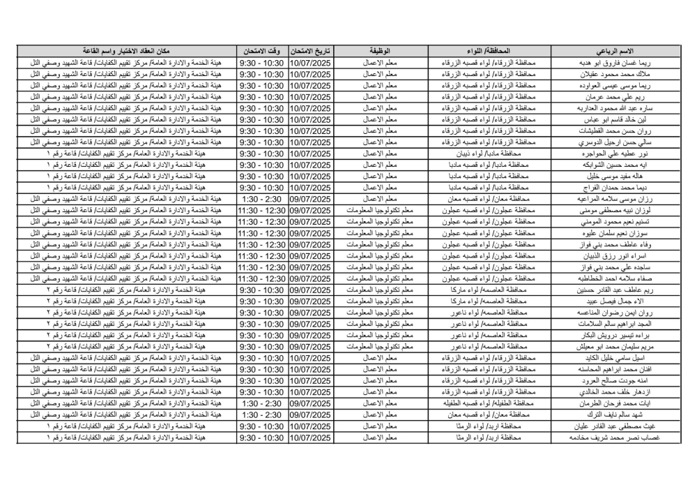
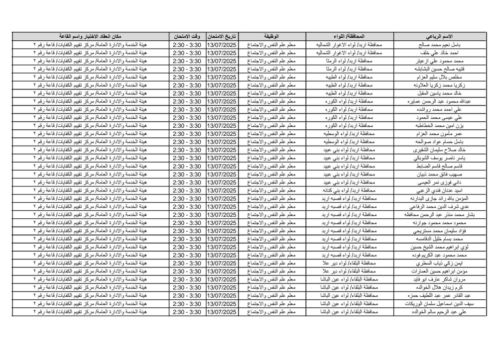
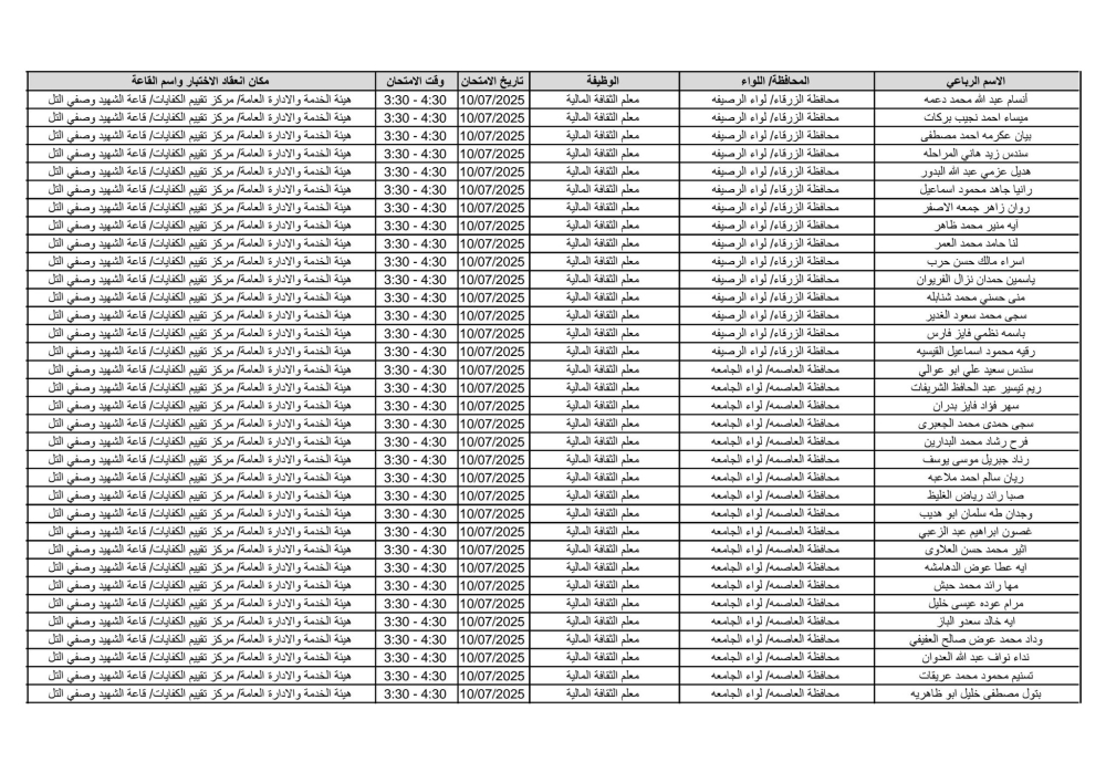
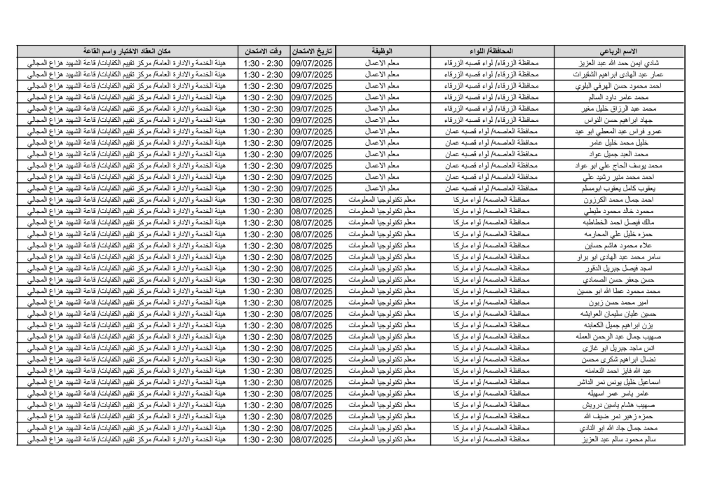
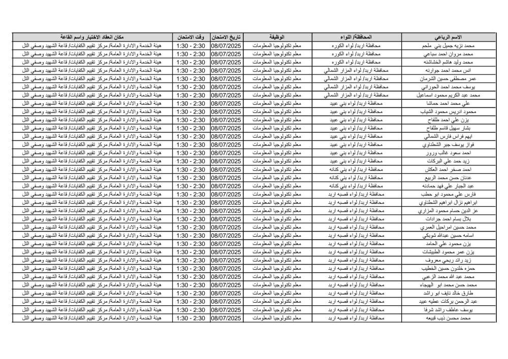
دعوة أعداد كبيرة لوظيفة معلم (أسماء)
أخبار الأردن -
دعت وزارة التربية والتعليم المرشحين الذين انطبقت عليهم الشروط، إلى التقدّم للاختبار التنافسي الإلكتروني، وذلك ضمن إجراءات التعيين على وظيفة معلم/معلمة في تخصصات مسار التعليم التقني المهني (BTEC)، إضافة إلى حقول مسار التعليم الأكاديمي.
الاستعلام عن الاسم ووقت الجلسة واسم القاعة: عبر الرابط https://academy.moe.gov.jo/HR/
تاليا الأسماء:







