التربية تنشر أسئلة امتحان اللغة الإنجليزية
أخبار الأردن -
_page-0001.jpg)
_page-0002.jpg)
_page-0003.jpg)
_page-0004.jpg)
_page-0005.jpg)
_page-0006.jpg)
_page-0007.jpg)
_page-0008.jpg)
_page-0009.jpg)
_page-0010.jpg)
_page-0011.jpg)
_page-0012.jpg)
_page-0013.jpg)
_page-0014.jpg)
_page-0015.jpg)
_page-0016.jpg)
_page-0017.jpg)
_page-0018.jpg)
_page-0019.jpg)
_page-0020.jpg)
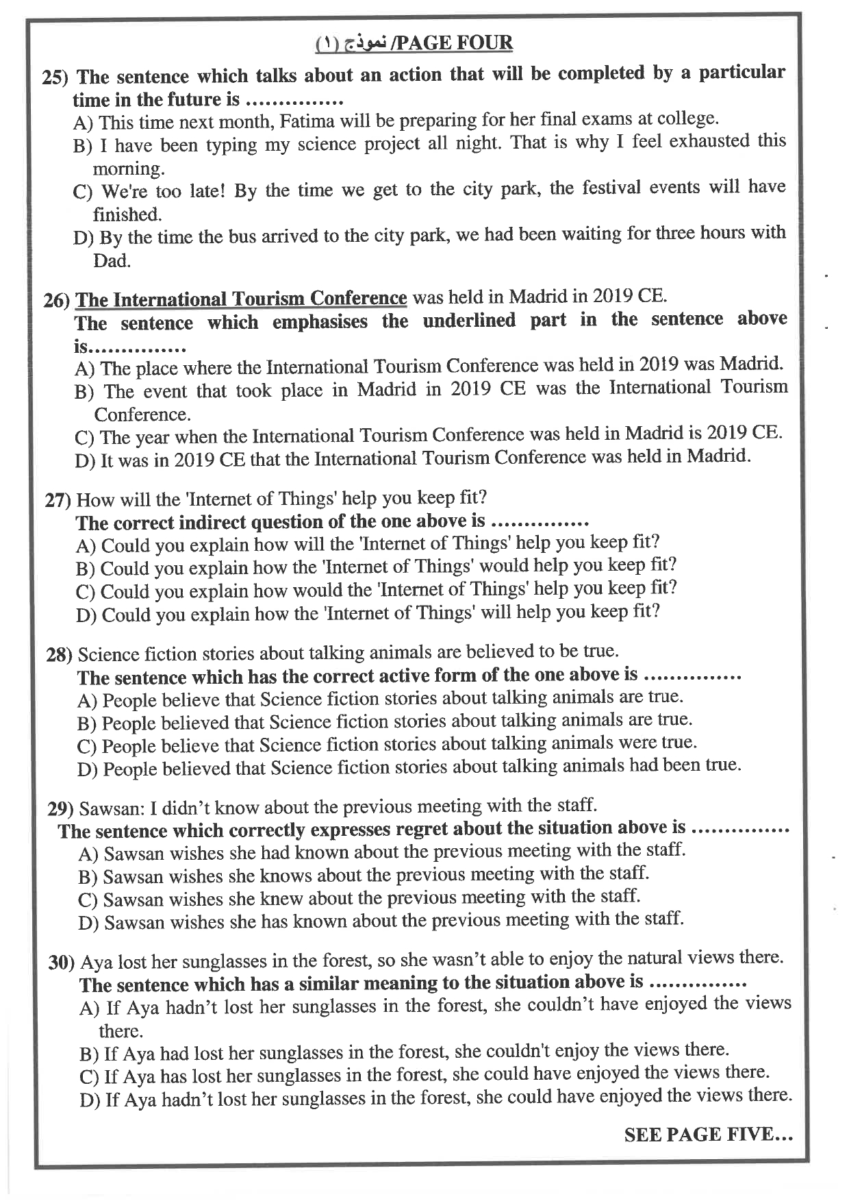
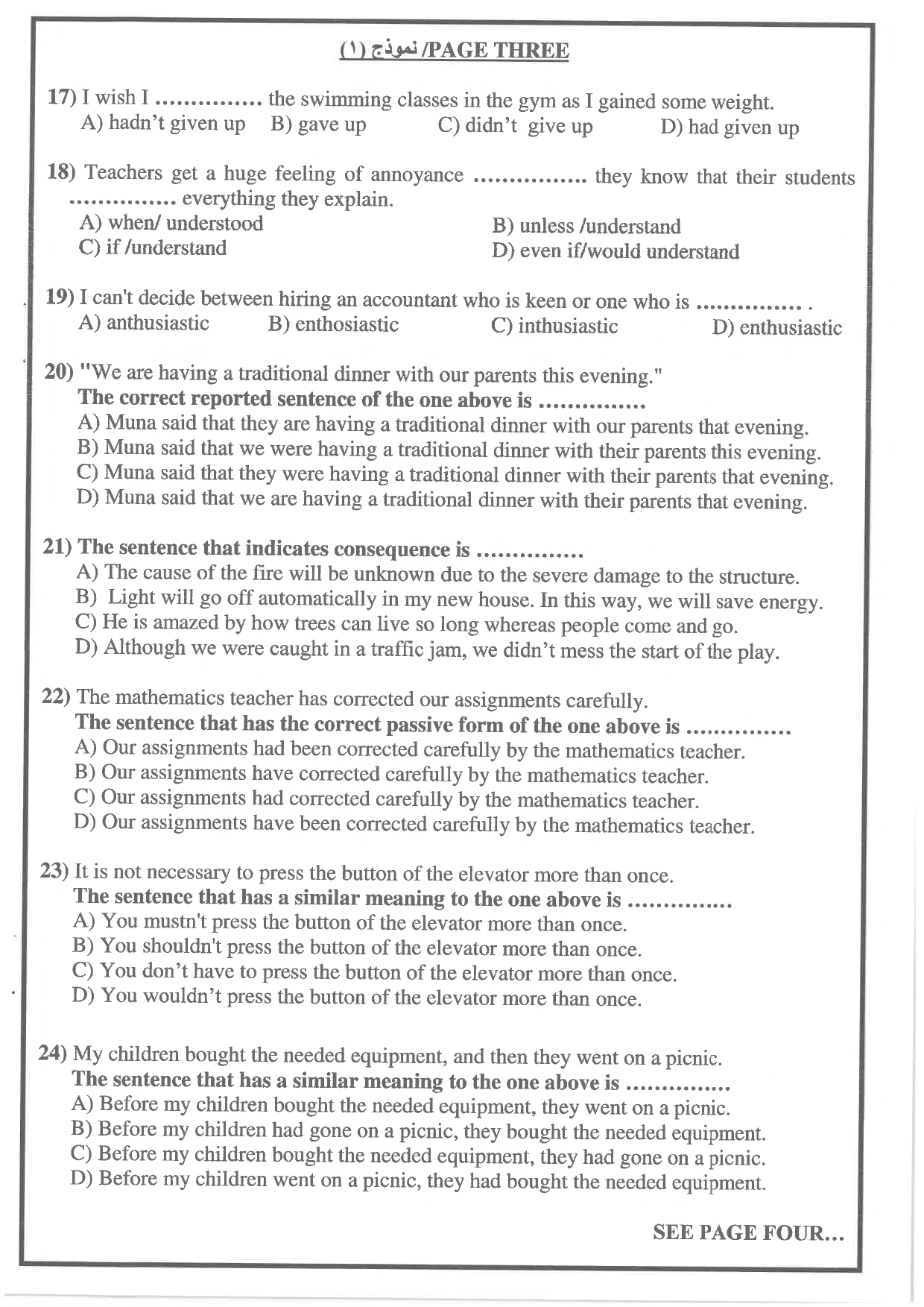
نشرت وزارة التربية والتعليم أسئلة امتحان (اللغة الإنجليزية) لطلبة التوجيهي والذي عقد اليوم الاثنين.
وتاليا نص الامتحان:
_page-0001.jpg)
_page-0002.jpg)
_page-0003.jpg)
_page-0004.jpg)
_page-0005.jpg)
_page-0006.jpg)
_page-0007.jpg)
_page-0008.jpg)
_page-0009.jpg)
_page-0010.jpg)
_page-0011.jpg)
_page-0012.jpg)
_page-0013.jpg)
_page-0014.jpg)
_page-0015.jpg)
_page-0016.jpg)
_page-0017.jpg)
_page-0018.jpg)
_page-0019.jpg)
_page-0020.jpg)







