عشرات آلاف الأردنيين سيتم الحجز على أموالهم (أسماء)
أخبار الأردن -
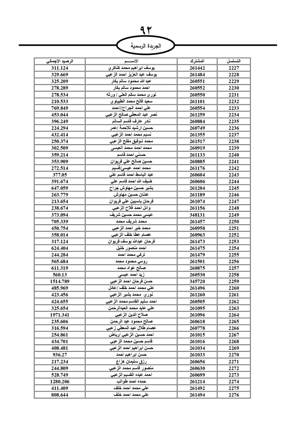
دعت سلطة المياه وبلدية الزرقاء، عشرات آلاف الأردنيين الواردة أسماؤهم بالكشوفات المرفقة، إلى ضرورة مراجعتها لتسوية أوضاعهم المالية كونه ترتب عليهم ذمم مالية، وذلك لتجنب الحجز على الأموال المنقولة وغير المنقولة بعد انقضاء 60 يوما من تاريخ النشر، علما أنه تم نشر هذه الأسماء في الجريدة الرسمية بتاريخ 16/2/2025.
وتاليا الأسماء:







